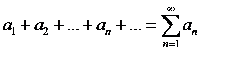
Для того чтобы ряд 
был сходящимся, необходимо и достаточно, чтобы при любом
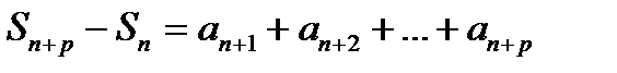
>0 можно было найти такое N, что при n>N и любом целом p>0 выполняется неравенство 
Или иначе

Так как: 
Доказательство этой теоремы очевидно: она просто утверждает, что для того, чтобы ряд сходился, необходимо и лостаточно, чтобы последовательность его частных сумм была фундаментальной, то есть сходилась. А это и есть определение сходимости ряда.
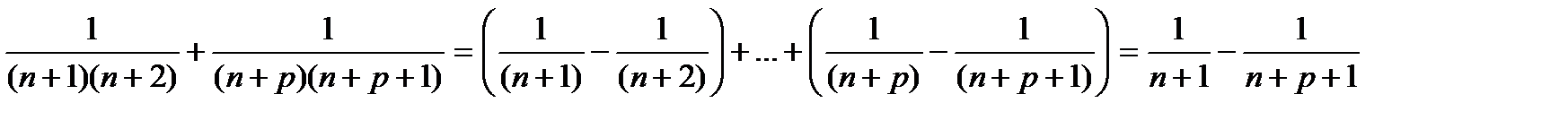
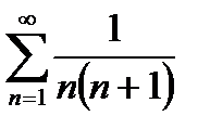
Рассмотрим ряд:
и докажем что он сходится. Для этого заметим, что:
=
<
<
,
А поэтому, взяв для
>0 число N такое, что
>
, будет для n>N иметь
<
и
a
+a
+…+a
< 






