Если мы дадим х какое-нибудь определенное значение, например
то каждый член последовательности примет определенное числовое значение и мы получим числовую последовательность
или кратко 
Критерий Коши. Последовательность будет сходится, если

Если числовая последовательность
сходится, то говорят, что последовательность функций
сходится в точке
Последовательность
сходящуеся в
называют сходящейся на множестве Е. В этом случае на множестве Е определена функция U(х), значение которой в точке
равно пределу последовательности
. Эту функцию называют предельной функцей последовательности
на множестве Е и пишут:
(18.2)
или
или короче, 
По определению предела запись (18.2) означает, что

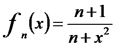
Пример 18.1. Найти предельную функцию
последовательности
на множестве Е, если
а)
E=R
б)
E= 






