Разложим в ряд Маклорена функцию
ƒ (x)=
,
где m- произвольное постоянное число.
Заметим, что функция ƒ(х) является решением дифференциального уравнения:
(1+х)ƒ’(х)=mƒ(х) (21.1)
и удовлетворяет условию
ƒ (0)=1.
Действительно
ƒ’(х)=m
.
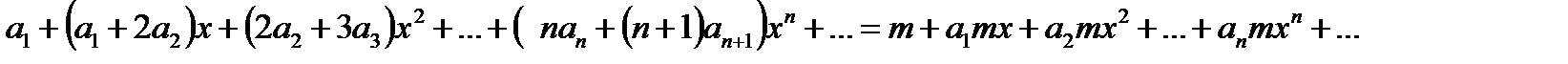
Найдем степенной ряд, сумма которого S(x) удовлетворяет уравнению (21.1) и условию S(0)=1.
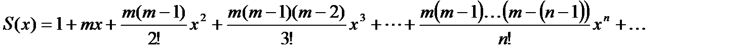
Пусть
S(x)=
(21.2)
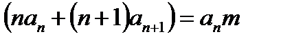
Подставляя в уравнение (21.1), получим:

или

Приравнивая коэффициенты при одинаковых степенях х в разных частях равенства, находим:
,
…
,
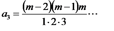
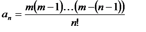
Откуда для коэффициентов ряда получаем выражение
,
,
, 
.
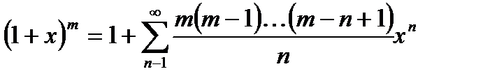
Это биномиальные коэффициенты ряда. Подставляя их в формулу (21.2), получим:
(21.3)
Если m-целое число, то начиная с члена, содержащего
, все коэффициенты равны нулю и ряд превращается в многочлен. При m- дробном отрицательном получаем бесконечный ряд.
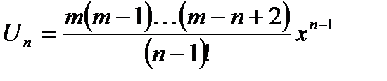
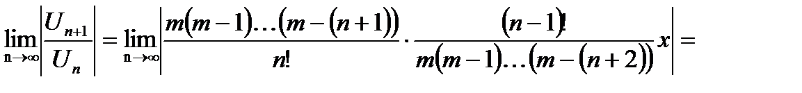
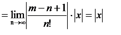
Определим радиус сходимости ряда(21.3)
, 


Таким образом, ряд (21.3) сходится при
<1.
В интервале (-1,1) ряд (21.3) представляет функцию S(x), удовлетворяющую дифференциальному уравнению (21.1) и условию S(0)=1. Так как дифференциальное уравнение (21.1) и условие S(0)=1 удовлетворяет единственная функция, то.. Следовательно, сумма ряда (21.3) тождественно равна функции
, и мы получаем разложение
(-1,+1):
|
|
|

где
,
(21.4)
В частности, при m=-1:

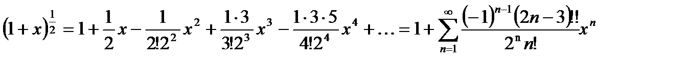
При m=
, получаем
(21.5)
При m= -
, получаем
(21.6)






