Если функция f(x):
— непрерывна на отрезке [a, b],
— дифференцируема на интервале (a, b),
тогда найдётся такая точка ξ
(а,b), в которой выполняется соотношение

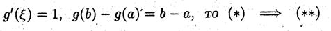
Вопрос: Как с помощью соотношения (*) получить (**)?
Ответ: Ввести функцию g(x) = х. Поскольку

З адача 1

Задача 2
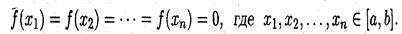
Пусть функция f(x) дифференцируема на отрезке [а, b] и имеет на этом отрезке n нулей. Показать, что f'(x) имеет на этом отрезке нулей не меньше чем n -1.
По условию

Тогда на отрезках

выполнены условия теоремы Ролля, а значит найдутся точки

З адача 3 (метод Ньютона)
Пусть монотонная функция f(x) дифференцируема на отрезке [а, b] и имеет на этом отрезке нуль. Получить с помощью уравнения касательной алгоритм нахождения нуля функции

Теперь проведём касательную через точку х 1, которая пересечет ось абсцисс в точке х 2

Продолжая этот процесс, получим искомый алгоритм:







