Теоремы z-преобразования
Обратное z-преобразование
Определение и вычисление z-преобразования
Сведения из теории Z - преобразования
1. Z-преобразование (Z.п.) является одним из математических методов, разработанных для анализа и проектирования дискретных систем. Аппарат Z.п.играет для цифровых систем ту же роль, что и преобразование Лапласа для непрерывных систем.
Процедура нахождения Z.п. непрерывной функции f(t) включает следующие 3 этапа:
1) определение
,как выходного сигнала идеального квантователя с периодом квантования Т;
2) определение дискретного преобразрвания Лапласа

где p = a + jw, при этом a- характеризует степень затухания составляющих функции f*(t), а w- характеризует частотные свойства составляющих функции f*(t);
3) замена еpt на z в выражении L[f*(t)], чтобы получить:

Выражение (1) используется для нахожденияZ.п. функции f(t) или f(kT). Приведем примеры нахожденияZ.п. для некоторых часто встречающихся на практике функций.
Пример 1. Найти Z -преобразование единичной ступенчатой функции:

1) Единичная ступенчатая функция Up(t) квантуется идеальным квантователем, на выходе которого образуется последовательность единичных импульсов:

2) Преобразование Лапласа к выражению (2) дает:

где ряд (3) сходится для |e-Tp|<1, а чтобы выразить U*(p) в компактной форме умножим обе части выражения (3) на e-Tp и вычтем результат из (3), тогда:



в самом деле

3) Замена z = eTp в выражении (4) дает:

Пример 2. Найти Z.п. экспоненциальной функции f(t) = e-at, где а – действительное постоянное число.
1) Находим выходную последовательность f*(t) идеального квантователя, на вход которого подается функция f(t) = e-at:

2) Дискретное преобразование Лапласа от f*(t):

Умножим обе части выражения (5) на e-(a+p)T и результат вычтем из выражения (5)

если | e-(a+p)T |<1,

3) Замена z = e-pT в выражении (6) дает:

В инженерной практике используются таблицы Z.п., которые можно найти в справочниках и учебниках.
Пример 3. Пусть f(0)=2, f(T)=-1, f(2T)=3, f(3T)=1,5, f(nT)=0, при n ³ 4, т.е. имеем:

тогда:
F(z) = 2 - z-1 + 3z-2 + 1,5z-3
2. Преобразование Лапласа и его обратное преобразование являются однозначными, т.е. если F(d) преобразование Лапласа для функции f(t), то f(t) является обратным преобразованием Лапласа для функции F(p). Для Z.п. обратное Z.п. не является однозначным. Z.п. f(t) является функцией F(z), а обратноеZ.п.не обязательно равно f(t). Корректный результат обратного Z.п. функции F(z) есть f(кТ), который равен f(t) только в моменты квантования t = kT.
Из примера 1 видно, что Z.п. для единичной ступенчатой функции.

Обратное преобразование F(z) может быть представлено любой функцией f(t), например, изображенной на рис. 1.

Рис. 1. Неоднозначность обратного Z – преобразования.
Неоднозначность обратного Z.п. является одним из ограничений, о котором нужно помнить при применении Z-преобразования.
В общем случае обратное Z.п. может быть определено различными методами.
1. Метод разложения на простые дроби.
Пусть задано Z.п. F(z) Некоторой функции f(t).Найти обратное Z.п. f(kT).
1) Необходимо разложить F(z)/z на простые дроби

где
а, b, с - отрицательные полюсы f(z),
A,B,C - вычеты F(z) в этих полюсах.
2) Находим

3) Используя таблицы Z.п. определяем f(kT).
Пример. Дано:

где a - положительное постоянное число,
T-период квантования.
1) Разлагаем F(z)/z на простые дроби

2) Находим

3) Из таблицы Z.п. может быть найдено обратное Z.п. (z) в виде временной функции, значения которой в моменты квантования определяются как
f(kT) = 1 – e-aT.
Следовательно, дискретная функция времени может быть записана как

2. Метод разложения в степенной ряд. Из выражения (1) следует
F(z) = f(0) + f(T)z-1 + f(2T)z-2 + … + f(kT)z-k + …
Следовательно, коэффициенты ряда соответствуютзначениям f(T)в моменты квантования. Основные различие между рассмотренными двумя методами состоит в том, что метод разложения на простые дроби дает решение для f(kT) компактной форме, в то время как решением второго метода является последовательность чисел. Разумееется оба метода эквивалентны, т.к. и для последовательности чисел может быть найдено выражение в компактной форме.
Пример. Определить обратное Z.п. функции:

Последовательное деление числителя на знаменатель дает
F(z) = (1-e-aT)z-1 + (1-e-2aT)z-2 + …
Видно, что
f(kT) = 1-e-akT, k = 0,1,2, …
Следовательно

3. Использование Z.п. - облегчается применением теорем Z.п. Ниже приводятся основные теоремы Z.п. без доказательств.
1. Суммирование и вычитание.
Если f1(t) и f2(t) имеют Z.п.:

то Z[f1(t) ± f2(t)] = F1(z) ± F2(z).
2. Умножениена константу.
Если F(z) есть Z.п. f(t), то Z[af(t)] = aZ[f(t)] = aF(z).
3. Сдвиг во временной области
Если f(t) имеет Z.п.F(z), то
Z[f(t-nT)] = Z-nF(z),

где n - положительное целое число.
4. Теорема о свертке во временной области.
Если функции f1(t) и f2(t) имеют Z.п., F1(z), f2(z) соответственно и f1(t)=f2(t)=0 для t<0, то

4. Передаточной функцией дискретной системы называют отношение Z-образов её выходного U(z) и входного Dx(z) сигналов при нулевых начальных условиях

Пример. Пусть дискретная система описывается разностным уравнением
U(nT) = 0,4U[(n-1)T] – 0,1U[(n-2)T] + Dx(nT) - 3Dx[(n-1)T].
Тогда передаточная функция для этой системы будет

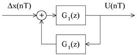
Пусть G1(z) и G2(z) импульсные передаточные функции двух дискретных звеньев, составляющих дискретную систему. Тогда в зависимости от способа соединений этих звеньев импульсная передаточная функция системы будет иметь следующий вид.
1) Последовательное (каскадное) соединение звеньев:
G(z) = G1(z)G2(z)

2) Параллельное соединение звеньев с суммированием на выходе:
G(z) = G1(z) + G2(z)

3) Соединение с включением одного звена в цепь обратной связи:


Пример. Пусть
G1(z)=1/(1-0,3z-1), G2(z)=0,2+z-1+z-2.