В широком смысле понятие метода означает совокупность приемов и способов регулирования отношений, необходимых для достижения цели. Метод конкретной науки представляет собой совокупность приемов теоретического и практического исследования действительности. Статистика населения выступает в качестве отраслевой статистики, и базой ее методологии служит статистическая методология.
Важнейшим методом получения информации об изучаемых процессах и явлениях является статистическое наблюдение. К методам статистики относят и принцип самостоятельности отнесения каждого переписываемого лица к определенной группе – принцип самоопределения. Наиболее распространенный метод – группировка. Применение метода группировок и классификаций, получивших в статистике населения название типологических и структурных, необходимо для познания структуры населения с выделением признаков группировки и классификации, например по атрибутивным, количественным, результативным, факторным признакам. Благодаря данным группировкам появляется возможность построить систему уравнений, которая необходима для нахождения параметров уравнения регрессии и определения, насколько тесны связи, при помощи расчета коэффициентов корреляции. Широко применяются в изучении населения динамика, графики, индексный, выборочный и балансовый методы.
Следовательно, статистика населения применяет для изучения своего объекта все возможные статистические методы и принципы. Помимо этого, используются и методы, разработанные только для изучения населения, т. е. методы реального поколения и условного поколения. Первый дает возможность увидеть изменения в естественном движении ровесников (родившихся в одном году) – продольный анализ; второй производит анализ естественного движения сверстников (живущих в одно и то же время) – поперечный анализ.
При сравнении развития отношений в обществе, особенностей, присущих определенной группе общества, и процессов, происходящих в обществе существуют условия для сравнения данных не одинаковых между собой. Путем реального взвешивания при расчете обобщающих средних величин был разработан метод стандартизации, который позволяет исключать влияние разных возрастных характеристик населения.
Применение абстрактных математических методов в статистике населения дает возможность статистически смоделировать процессы, которые происходят в населении. Надобность в моделировании появляется в случае невозможности исследования самого объекта, в основном используется для характеристики динамики населения. Различают экспоненциальные и логистические модели. Модели стационарного и стабильного населения имеют особое значение в прогнозе населения на периоды в перспективе, которые определяют сложившийся в данных условиях тип населения и строятся на основе характеристик интенсивности его развития.
Многие группировки включают разграничение на городских и сельских жителей. Этот показатель является одним из наиболее динамичных и информационно емких.
Наиболее интересны данные, которые представляет региональная статистика, так как территория России отличается редким разнообразием природно-климатических, географических, этносоциальных, историко-культурных и экономических факторов. Результатом данного многообразия факторов является обширная территориальная дифференциация демографических показателей.
Демографическим определением является возрастно-половая группировка населения. Наиболее характерными бывают возрастные интервалы: одногодичные, пятилетние, десятилетние. Помимо этого, выделяются группы лиц моложе трудоспособного возраста, трудоспособного и старше трудоспособного возраста, к которым строятся специальные графики – возрастно-половые пирамиды (см. табл. 1).
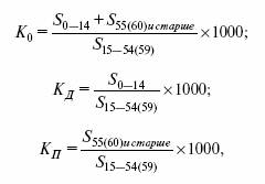
В статистике обобщающие показатели состава населения используются и на уровне высокой степени сложности. Особенно важными являются показатели демографической нагрузки населения трудоспособного возраста.
Расчет данных показателей осуществляется по следующим формулам:

где K0 – общая демографическая нагрузка населения трудоспособного возраста;
S 0-14, S 15-54(59), S 55(60) – численность населения в соответствующих возрастных группах;
KД – демографическая нагрузка детьми;
KП - демографическая нагрузка пожилыми.
Связь между этими показателями может быть выражена следующим образом:

С ростом социальной мобильности населения наиболее жизненно важными становятся вопросы систематизирования соответствующих статистических показателей, которые представляют собой матрицы с главных социальных потоков по направленности (вертикальная и горизонтальная, внутрипоколенная и межпоколенная и др.).
Показатели интенсивности социальной мобильности включают:
1) среднее число перемещений на одного человека;
2) вероятность изменения социального статуса.
Данные показатели разумно устанавливать дифференцированно по отдельным демографическим, социально-экономическим, территориальным, этническим группам.
Также вычисляется и средний возраст в момент определенной очередности смены социального статуса[5].
Традиционно в переписях этнические характеристики населения России отображались данными о национальности, родном языке и свободном владении языками народов СССР. От одной переписи до другой происходят изменения в учете этнического состава населения России, что подтверждают Программы микропереписи 1994 г. и переписи 2002 г. Характеризуются эти изменения следующим:
1) кроме национальности теперь принимаются во внимание также народность и этническая группа;
2) расширяются сведения о языках. Например, учитываются и родной язык, и другой язык, которым свободно владеет опрашиваемый.
Национальная принадлежность определяется преимущественно следующими показателями:
1) числом лиц каждой национальности;
2) числом лиц каждой национальности на 100 000 человек населения;
3) долей лиц коренной национальности в регионе;
4) долей лиц коренной национальности, живущих за пределами своего региона.
За 5 лет (1989-1994 гг.) произошли значительные изменения в национальном составе населения России[6]. В составе населения России на 20-30% сократился удельный вес украинцев, белорусов, евреев, и на 10% и более увеличилась доля армян, аварцев, осетин, якутов, лезгин. Данные изменения прежде всего связаны с вынужденной иммиграцией из стран ближнего зарубежья, кроме того, с эмиграцией в государства дальнего зарубежья, процессами ассимиляции и естественной убыли населения.
Регулярно при проведении переписей осуществляется учет данных о родном языке. Эта информация отображает уровень национального самосознания, степень приверженности к национальной культуре. Необходима она также при планировании работы органов народного образования, издательского дела и др.
Между социально-политическими процессами и миграцией населения существует достаточно тесная связь. Следовательно, здесь значителен состав населения по продолжительности проживания в месте постоянного жительства. При переписи населения более детально отображаются миграционные характеристики населения, соответственно в ней учитывались: место рождения, продолжительность непрерывного проживания в месте постоянного жительства, а также указывались все причины последнего переезда на новое место жительства.
В программе микропереписи 1994 г. предлагался следующий перечень возможных причин переезда:
1) в связи с учебой;
2) в связи с переменой места работы;
3) из-за невозможности устроиться на работу;
4) не было возможности заниматься самостоятельно сельским хозяйством;
5) не было возможности заниматься предпринимательством или индивидуальной трудовой деятельностью;
6) из-за межнациональных отношений;
7) в связи с обязательным знанием языка коренной национальности;
8) из-за обострения криминогенной обстановки;
9) из-за неустроенности быта;
10) из-за смены климата в связи с состоянием здоровья;
11) не удовлетворяли экологические условия;
12) в связи с аварией на Чернобыльской АЭС;
13) нежелание жить в селе (городе);
14) по семейным обстоятельствам;
15) иная причина (указать какая).
В данной программе для лиц, не имеющих места жительства между переписями 1989 и 1994 гг., указывался тот год, с которого человек проживает в данном месте; места предыдущего его жительства; тип населенного пункта, откуда прибыл (из городского, сельского); является беженцем или вынужденным переселенцем[7].
В настоящее время учет осуществляется по составу и направленности потоков беженцев и вынужденных переселенцев. В целом по России поток беженцев и вынужденных переселенцев значительно сократился по сравнению с 1990 г.
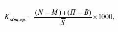
Плотность потоков переселенцев и беженцев определяется с помощью коэффициента интенсивности:

Показатели миграции населения. Выделяют следующие виды миграции:
1) внутренняя – перемена постоянного места жительства в рамках страны;
2) внешняя – перемена постоянного места жительства посредством въезда и выезда из страны;
3) сезонная – численность населения меняется в определенные периоды года;
4) маятниковая – каждодневные перемещения людей от места их жительства к месту работы или обучения и обратно.
Для оценки механического движения применяются относительные и абсолютные показатели миграции.
1) численность прибывших в населенный пункт П;
2) численность выбывших из населенного пункта В;
3) абсолютный миграционный (механический) прирост (П-В)[8].
Относительные показатели, характеризующие интенсивность миграционных процессов:
1) коэффициент прибытия;
3) коэффициент миграционного (механического) прироста.
Распад СССР и происходящие социально-экономические изменения существенно повлияли на расселение людей, спровоцировали интенсивные миграционные потоки, привели к увеличению доли беженцев и вынужденных переселенцев в общем числе мигрантов. Сведения о беженцах и вынужденных переселенцах собирает Федеральная миграционная служба России по представлению органов государственной статистики.
Увеличение численности беженцев и вынужденных переселенцев приводит к большим трудностям по их трудоустройству, обеспечению жильем, организации социальной поддержки и медицинской помощи. По программе произведенной в октябре 2002 г. переписи населения было предусмотрено сделать оценку вынужденных мигрантов с социально-демографической позиции. Это должно было помочь повысить обоснованность мер, принятие которых необходимо для регулирования миграционных процессов.
Для определения изменения численности населения как за счет демографических факторов (рождаемости и смертности), так и за счет миграции исчисляется коэффициент общего прироста населения. Он может быть исчислен несколькими способами:


При изучении различных процессов в обществе статистический анализ социальной структуры и социальной мобильности населения развивается и усложняется, стремительно увеличивается число демографических научно-исследовательских институтов, периодических изданий и международных организаций, занимающихся изучением в сфере данной социальной статистики. Основой исследований в данной области служат данные переписей населения. Поэтому для новой России чрезвычайно важным событием стало проведение переписи населения в октябре 2002 г[9].
Коэффициенты обновления и выбытия населения строятся по аналогии с коэффициентами обновления (выбытия) основных фондов.
Коэффициент обновления (выбытия) состава j-й социальной группы выглядит следующим образом:

где Nj1, Nj0 – численность j-й социальной группы на конец (1) и начало (0) изучаемого периода.
Если Nj1,» Nj0 то Kj» 0, в противном случае Kj « 0. При Kj ≥ 0 значительно изменяется состав данной социальной группы.
Оценку изменения всей социальной структуры можно осуществить с помощью любого из показателей динамики структуры, например такого, как:

где Wj1, Wj0 – удельные веса группы в отчетной и базисной структуре соответственно;
т – число групп.
К» 3 процентных пунктов показывает весомость структурных сдвигов.
В случае нахождения определяющих условий изменения и построения установленной модели, при помощи которой можно дать оценку роли каждого из условий эффекта их взаимосвязи, задача анализа состава населения решена.
Основные демографические показатели приведены в таблице 1.

