Определение случайной величины. Многие случайные события могут быть оценены количественно случайными величинами,
Случайной называют такую величину, которая принимает значения в зависимости от стечения случайных обстоятельств.
Случайными величинами являются: число больных на приеме у врача, число студентов в аудитории, число рождений в городе, продолжительность жизни отдельного человека, скорость молекулы, температура воздуха, погрешность в измерении какой-либо величины и др. Если пронумеровать шары в урне примерно так, как это делают при разыгрывании тиража лото, то произвольное вынимание шара из урны покажет число, являющееся случайной величиной.
Различают дискретные и непрерывные случайные величины.
Случайная величина называется дискретной, если она принимает счетное множество значений: число букв на произвольной странице книги, энергия электрона в атоме, число волос на голове человека, число зерен в колосьях, число молекул в выделенном объеме газа и т. п.
Непрерывная случайная величина принимает любые значения внутри некоторого интервала: температура тела, масса зерен в колосьях пшеницы, координата места попадания пули в цель (принимаем пулю за материальную точку) и др.
Распределение дискретной случайной величины. Дискретная случайная величина считается заданной, если указаны ее возможные значения и соответствующие им вероятности. Обозначим дискретную случайную величину X, ее значения хг х2,..., а вероятности Р(х1) — p1, Р(х2) = р2 и т. д. Совокупность X и Р называется распределением дискретной случайной величины (табл. 1).
Таблица 1
| X | Х1 | Х2 | Х3 | Х4 | Х5 | … |
| Р | p1 | p2 | рз | р4 | р5 | … |
(2.9) |
Так как все возможные значения дискретной случайной величины представляют полную систему (см. § 2.1), то сумма вероятностей равна единице:
Здесь предполагается, что дискретная случайная величина имеет п значений. Выражение (2.9) называется условием нормировки.
* Случайной величиной является число очков, выпадающих на верхней грани игральной кости. Указать распределение этой случайной величины (табл. 2).
Таблица 2
| X | ||||||
| Р | 1/6 | 1/6 | 1/6 | 1/6 | 1/6 | 1/6 |
* Случайной величиной является номер вида спорта в игре «Спортлото». Общее число видов равно 49. Указать распределение этой случайной величины (табл. 3).
Таблица 3
| X | … | ||||
| р | 1/49 | 1/49 | 1/49 | … | 1/49 |
Биномиальное распределение. Пусть некоторое испытание проводится трижды и при этом событие А происходит l раз (l — случайная величина, которая при тройном испытании может принимать значения 0, 1, 2 и 3). Вероятность наступления события А равна Р(А); вероятность того, что событие А не происходит, т. е. имеет место противоположное событие
, равна [1 - Р(А)].
Значение l = 0 соответствует такому случаю, при котором трижды подряд событие А не происходило. Вероятность этого сложного события, по теореме умножения вероятностей (2.6), равна
Р(
и
и
) = [1 - Р(А) ] [1 - Р(А) ][1 - Р(А)] = [1 - Р(А)]3.
Значение l = 1 относится к случаю, при котором событие А произошло в одном из трех испытаний. По формуле (2.6) получаем
Р(А и
и
) = Р(А) [1 - Р(А) ][1 - Р(А)] = Р(А) [1 - Р(А)]2.
Так как при l = 1 происходят также и два других сложных события: (
и А и
) и (
и
и А), то необходимо, воспользовавшись теоремой сложения вероятностей (2.4), получить полную вероятность для l = 1, сложив трижды предыдущее выражение:
Р(А и
и
, или
и А и
, или
и
и А) = З Р(А) [1 - Р(А) ]2.
Значение l = 2 соответствует случаю, при котором событие А произошло в двух из трех испытаний. Рассуждениями, подобными приведенным выше, получим полную вероятность для этого случая:
Р(
и А и А, или А и
и А, или А и А и
) = З Р2(А) [1 - Р(А) ].
При l = 3 событие А появляется во всех трех испытаниях. Используя теорему умножения вероятностей, находим
Р(А и А и А) = Р3(А).
В итоге получаем биномиальное распределение, содержащее четыре члена (табл. 4).
Таблица 4
| l | 2 | |||
| Р | [1- Р(А) ]3 | З Р(А) • [1 - Р(А) ] 2 | З Р2(А) • [1 - Р(А) ] | Р3(А) |
В общем случае биномиальное распределение позволяет определить вероятность того, что событие А произойдет l раз при п испытаниях:
(2/10)
где р = Р(А);
- число сочетаний из п элементов по l, равное
|
* На основе многолетних наблюдений вызов врача в данный дом оценивается вероятностью 0,5. Найти вероятность того, что в течение шести дней произойдет четыре вызова врача; Р(А) = 0,5, п = 6, l = 4.
Воспользуемся формулой (2.10):

Числовые характеристики дискретной случайной величины. Во многих случаях, наряду с распределением случайной величины или вместо него, информацию об этих величинах могут дать числовые параметры, получившие название числовых характеристик случайной величины. Рассмотрим наиболее употребительные из них.
Математическое ожидание (среднее значение) случайной величины есть сумма произведений всех возможных ее значений на вероятности этих значений:
(2.11)
|
Пусть при большом числе испытаний п дискретная случайная величина X принимает значения x1, x2,..., хп соответственно т1, т2, …, тп раз. Среднее значение равно
Если n велико, то относительные частоты т1/п, т2/п,... будут стремиться к вероятностям, а средняя величина — к математическому ожиданию. Именно поэтому математическое ожидание часто отождествляют со средним значением.
*Найти математическое ожидание для дискретной случайной величины, которая задается цифрой на грани при бросании игральной кости
(см. табл. 2).
Используем формулу (2.11):
М(Х) = 1 • 1/6 + 2 • 1/6 + 3 • 1/6 + 4 • 1/6 + 5 • 1/6 + 6 • 1/6 = 7/2 = 3,5.
* Найти математическое ожидание для дискретной случайной вели
чины, которая определяется тиражом «Спортлото» (см. табл. 3).
Согласно формуле (2.11), находим
М(Х) = 1 • 1/49 + 2 • 1/49 +... + 49 • 1/49 = 25.
Возможные значения дискретной случайной величины рассеяны вокруг ее математического ожидания, часть из них превышает М(Х), часть — меньше М(Х). Как оценить степень разброса случайной величины относительно ее среднего значения? Может показаться, что для решения такой задачи следует вычислить отклонения всех случайных величин от ее математического ожидания X - М(Х), а затем найти математическое ожидание (среднее значение) этих отклонений: М [ Х - М(Х) ]. Без доказательства отметим, что эта величина равна нулю, так как отклонения случайных величин от математического ожидания имеют как положительные, так и отрицательные значения. Поэтому целесообразно учитывать либо абсолютные значения отклонений М [ Х - М(Х) ], либо их квадраты М [ Х - М(Х) ]2. Второй вариант оказывается предпочтительнее, так приходят к понятию дисперсии случайной величины.
Дисперсией случайной величины называют математическое ожидание квадрата отклонения случайной величины от ее математического ожидания:
D(X) = М [ Х - М(Х) ]2 (2.12)
Без вывода приведем удобную для вычисления дисперсии формулу
D(X) = М(Х2) - [ М(Х) ]2. (2.13)
Она означает, что дисперсия равна разности между математическим ожиданием квадрата случайной величины X и квадратом ее математического ожидания.
*Найти дисперсию случайной величины, которая задается цифрой на
грани при бросании игральной кости (см. табл. 2).
Математическое ожидание этого распределения равно 3,5. Запишем значения квадратов отклонения случайных величин от математического ожидания: (1 - 3,5)2 = 6,25; (2 - 3,5)2 = 2,25; (3 - 3,5)2 = 0,25; (4 - 3,5)2 = 0,25; (5 - 3,5)2 = 2,25; (6 - 3,5)2 = 6,25. По формуле (2.12) с учетом (2.11) находим дисперсию:
D(X) = 6,25 • 1/6 + 2,25 • 1/6 + 0,25 • 1/6 + 0,25 • 1/6 + + 2,25 • 1/6 + 6,25 • 1/6 = 2,9167. Вычислим дисперсию, воспользовавшись формулой (2.13):
[ М(Х) ]2 = 3,52 = 12,25; М(Х2) = I2 • 1/6 + 22 • 1/6 + З2 • 1/6 + 42 • 1/6 + 52 • 1/6 +
+ 62 • 1/6 = 15,1667;
D(X) = 15,1667 - 12,25 = 2,9167.
Как следует из (2.12), дисперсия имеет размерность квадрата размерности случайной величины. Для того чтобы оценивать рассеяние случайной величины в единицах той же размерности, вводят понятие среднего квадратического отклонения, под которым понимают квадратный корень из дисперсии:
(2.14)
Распределение и характеристики непрерывной случайной величины. Непрерывную случайную величину нельзя задать тем же законом распределения, что и дискретную. В этом случае поступают следующим образом.
Пусть dP — вероятность того, что непрерывная случайная величина X принимает значения между х и х + dx. Очевидно, что чем больше интервал dx, тем больше и вероятность dP: dP ¥ dx. Кроме того, вероятность должна зависеть и от самой случайной величины, вблизи которой расположен интервал, поэтому
dP = f(x)dx, (2.15)
где f(x) — плотность вероятности, или функция распределения вероятностей. Она показывает, как изменяется вероятность, отнесенная к интервалу dx случайной величины, в зависимости от значения самой этой величины:
f(x) = dP/dx. (2.16)
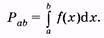
Интегрируя выражение (2.15) в соответствующих пределах, находим вероятность того, что случайная величина принимает какое-либо значение в интервале (ab):
(2.17)
Условие нормировки для непрерывной случайной величины имеет вид
(2.18)
Наряду с плотностью вероятности в математике используют также и функцию распределения непрерывной случайной величины:
(2.19)
Как видно из (2.19), эта функция равна вероятности того, что случайная величина принимает значения, меньшие х:

|
Для непрерывной случайной величины математическое ожидание и дисперсия записываются соответственно в виде
(2.20)
(2.21) (2.21)
(2.9)