В теории вероятностей и математической статистике, в различных приложениях важную роль играет портальный закон распределения (закон Гаусса). Случайная величина распределена по этому закону, если плотность вероятности ее имеет вид

|
где а = М(Х) — математическое ожидание случайной величины; а — среднее квадратическое отклонение; следовательно, s2 — дисперсия случайной величины.
|
Кривая нормального закона распределения имеет колоколообразную форму (рис. 2.1), симметричную относительно прямой х = а (центр рассеивания). В точке х = а функция достигает максимума:

По мере возрастания ï х - а ïфункция f(x) монотонно убывает, асимптотически приближаясь к нулю. С уменьшением s кривая становится все более и более островершинной. Изменение а при постоянной s не влияет на форму кривой, а лишь сдвигает ее вдоль оси абсцисс. Площадь, заключенная под кривой, согласно условию нормировки, равна единице. На рисунке 2.1 изображены три кривые. Для кривых 1 и 2 а = 0, эти кривые отличаются значением s (s1 < s 2); кривая 3 имеет а ¹ 0 (s = s 2).
Вычислим функцию распределения (2.19) для этого случая:
![]() |
(2.23)
Обычно используют иное выражение функции нормального распределения. Введем новую переменную
, следовательно, dx = sdt. Подставив эти значения в (2,23), получим
![]() |
(2.24)
Значения функции Ф(t) обычно находят в специально составленных таблицах (см. [2]), так как интеграл (2.24) через элементарные функции не выражается. График функции Ф(t) изображен на рисунке 2.2.
На основании (2.17) можно вычислить вероятность того, что случайная величина при нормальном распределении находится в интервале (х1, х2). Без вывода, по аналогии с (2.24), укажем, что эта вероятность равна
(2.25)
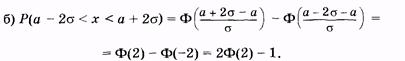
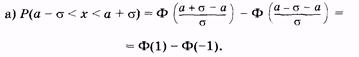
Воспользуемся выражением (2.25) для вычисления следующих вероятностей
|
Отметим, что Ф(-t) = 1 - Ф(t), поэтому Р = 2Ф(1) - 1. По таблице находим Ф(+1) = 0,8413, откуда
Р = 2 • 0,8413-1 = 0,683; (2.26а)

По таблице находим Ф(2) = 0,9772, откуда
Р = 2 • 0,9772 - 1 = 0,954; (2.26б)

По таблице находим Ф(3) = 0,9986, откуда
Р = 2 • 0,9986 - 1 = 0,997. (2.26в)
На рисунке 2.3 приведено нормальное распределение (а = 0) и штриховкой показаны области, площади которых равны вероятностям 0,683 и 0,954.
Допустим, что произвольно из нормального распределения выбираются группы по п значений случайных величин. Для каждой группы можно найти средние значения, соответственно х1, х2,..., xi,.... Эти средние значения сами образуют нормальное распределение (в отличие от изложенного выше нормального распределения здесь каждому среднему значению xi будет соответствовать не вероятность, а относительная частота). Математическое ожидание такого «нового» нормального распределения равно математическому ожиданию исходного нормального распределения, а дисперсия (Dn) и среднее квадратическое отклонение (sп) отличаются соответственно в n в
раз относительно этих характеристик исходного распределения:
|
(2.27)
|
Это положение здесь не доказывается, но его можно проиллюстрировать рисунком 2.4, на котором приведены графики нормальных распределений, полученных для групп со значениями п, равными 1, 4, 16, и п ® ¥. Рассмотрим крайние частные случаи. При /г=1 приходим к исходному нормальному распределению, поэтому оп = о. При п ® ¥ sп ® 0; фактически в этом случае «группа случайных величин» — это все исходное распределение, других групп нет, поэтому среднее значение выражается только одним числом и оно соответствует математическому ожиданию. Все распределение сводится к этому значению математического ожидания (на графике представлено вертикальной линией).








