Разработка региональных схем развития в отличие от развития отдельного АТП осуществляется на принципах комплексного формирования элементов ПТБ.
комплексный подход к формированию ПТБ предприятий региона на базе специализации и кооперации производства предусматривает решение следующих основных задач:
1. обоснование и выбор организационно – технологических форм рациональных производств для централизованного ТО и ремонта подвижного состава;
2. определение основных видов специализации по каждому элементу ПТБ;
3. установление рациональной структуры и оптимальной мощности предприятий;
4. определение номенклатуры и объемов работ, выполняемых по кооперации;
5. разработка предложений по созданию централизованной системы материально – технического снабжения предприятий региона, организации обслуживания и ремонта технологического и инженерного оборудования, сетей и коммуникаций.
Разработка схем развития ПТБ состоит из следующих этапов.
1. составляется техническое задание на разработку схемы развития и размещения предприятий региона (объединения автомобильного транспорта), в котором приводятся основание для разработки, исходные данные, ресурсное обеспечение, требования к вариантности и др.
2. собираются и анализируются данные о наличии, состоянии и условиях функционирования ПТБ предприятий объединения. оценка производственных мощностей всех предприятий и установление технико – экономической целесообразности их дальнейшего использования.
3. разрабатывается программа специализации и кооперации производства ТО и ремонта подвижного состава в рамках объединения.
Разработка программы заключается в выполнении расчетов и принятии решений.
1. рассчитываются технико – экономические (ТЭП) показатели ПТБ по каждому предприятию исходя из структуры, численности подвижного состава и его годовых пробегов.
2. Производится комплектование предприятий и отдельных структурных составляющих ПТБ региона в кустовые группы. Под кустовой группой понимается определенная группа предприятий и пунктов дислокации подвижного состава, для которых возможны и целесообразны специализация и кооперация производства ТО и ремонта.
3. В разрезе кустовых групп производится выбор производственной ориентации каждого предприятия региона. С учетом наличия производственно – складской площади, рабочих постов, оборудования, персонала, опыта в деятельности каждого элемента ПТБ.
4. Разрабатывается программа кооперации производства работ ТО и ремонта, -перераспределение работ между предприятиями каждой кустовой группы. с учетом технологически совместимых групп подвижного состава и однородных видов работ.
5. увязка программы специализации с предложениями по кооперации производства. повторные расчеты основных ТЭПов по каждому предприятию и каждой составляющей ПТБ региона, определяются необходимые материальные, трудовые и финансовые ресурсы.
Предприятия или часть предприятий кустовой группы могут быть объединены в единый хозяйственный механизм по типу производственного автотранспортного объединения, эксплуатационных и производственных филиалов и т. п.
Формирование структуры ПТБ региона выполняют с учетом следующих положений:
1. определение объемов и видов централизуемых работ в зависимости от целесообразности транспортировки подвижного состава, его агрегатов, узлов и деталей из предприятия, где эксплуатируется подвижной состав, на предприятие, где выполняются эти работы, и обратно;
2. в административном центре региона должны быть предприятия с большой концентрацией подвижного состава, располагающие развитой ПТБ и обладающие возможностями и ресурсами для организации ЦСП;
3. между административным центром региона и периферийными предприятиями должны быть развитая дорожная сеть и устойчивые транспортные связи;
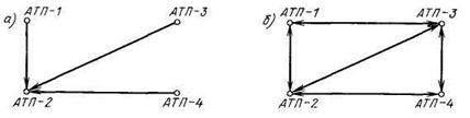
существует возможность взаимной кооперации при выполнении работ ТО и ТР между двумя или несколькими предприятиями в масштабе кустовой группы (рис. 7.1).

Рис. 7.1. Схема централизации производства работ ТО и ТР подвижного состава в одном из АТП „куста" (а) и между АТП „куста" (6)
Важнейшими, определяющими факторами, влияющими на размещение ПТБ, являются экономическая целесообразность централизации ТО (прежде всего ТО – 2) и зоны предпочтительного размещения их производства. Размещение производства других работ подчинено техническим связям с ТО – 2 и ТО – 1.
Территориальное формирование предприятий в рамках региона (объединения) производят по четырем группам в зависимости от расстояний между предприятиями и расстояния от группы до административного центра региона.
В группу А входят предприятия (АТП) при расстоянии между ними до 30 км, в группу В – при расстоянии свыше 30 до 100 км, в группу С – при расстоянии свыше 100 до 250 км и в группу D при расстоянии свыше 250 км.
Если в группу входят несколько предприятий, то они образуют „куст" с расположением его в соответствующей территориальной зоне региона, которая обозначается следующими индексами: А (В), А (С), A (D), B (C), B (D), C (D). Первая буква означает расстояние между АТП „куста", а вторая – расстояние от „куста" до административного центра региона. Например, А (С) – расстояние между АТП группы 30 км, а от „куста" до административного центра – от 100 до 250 км (рис. 7.2).

Рис. 7.2. Схема размещения „кустовых" групп предприятий в регионе
На предприятиях группы А предусматривается централизация 80 % общего объема работ ТО и ТР, в группе. В – 60 %, С – 30 % и в группе D – 10 %. Остальной объем работ выполняется децентрализованно.
Объемы работ ТО и ТР, выполняемые в эксплуатационных и производственных филиалах распределяются следующим образом. В административных центрах, относящихся к группе А, организация производственных филиалов нецелесообразна. В группе В в эксплуатационных филиалах предусматривается выполнение 35 % и в производственных 65 % объема работ, в группе С соответственно 25 и 75 %, в группе D – 20 и 80 %.