Рассмотрим матрицу
размерности
:
.
Определение 6.1: Рангом матрицы
по столбцам (
) называется ранг ее системы столбцов как векторов пространства
. Рангом матрицы
по строкам (
) называется ранг ее системы строк как векторов пространства
.
Определение 6.2: Выберем в матрице
произвольные
строк и
столбцов,
. Элементы, стоящие на пересечении этих строк и столбцов, образуют квадратную матрицу
-го порядка, определитель которой называется минором
-го порядка матрицы
.
Лемма: Если все миноры
-го порядка матрицы
равны нулю, то равны нулю все миноры более высоких порядков.
Теорема 6.1: Наивысший порядок отличных от нуля миноров матрицы
равен ее рангу по столбцам.
Следствие 1:
– ранг матрицы.
Следствие 2: Определитель равен нулю тогда и только тогда, когда его строки (столбцы) линейно зависимы.
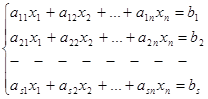
Пусть дана система
линейных уравнений с
неизвестными:
(1)
Составим матрицу системы:
и расширенную матрицу системы: 
Теорема Кронекера-Капелли: Система (1) совместна тогда и только тогда, когда
.