Волатильность и дюрация облигаций

Рассмотрим основные факторы, влияющие на колебания цен облигаций.

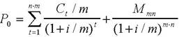
Текущая рыночная цена P0 облигации, имеющей m купонных выплат в год, определяется по формуле:

(1)

где - i/m величина доходности к погашению; Ct/m - купонные выплаты; Mmn - номинал; n - число лет до погашения облигации.

Однако, номинал облигаций одного класса, как правило, неизменен, поэтому его воздействием на изменение цены облигации можно пренебречь. Влияние же купонных выплат и срока погашения на цену облигации можно в конечном счете свести к исследованию воздействия доходности к погашению.

В таком случае, под волатильностью (изменчивостью) цены облигациипонимается реакция цены облигации на мгновенное, скачкообразное изменение ее доходности к погашению при прочих равных условиях.

Реакция цены облигации на изменение требуемой доходности имеет ряд характерных черт:

1) Зависимость между доходностью к погашению i и рыночной ценой облигации носит обратный характер. При этом, с понижением величины i приращения P0 при одних и тех же снижениях доходности к погашению i увеличиваются.

2) Для одного и того же срока погашения облигации, чем выше купонная ставка, тем слабее реагирует цена облигации на одни и те же изменения доходности к погашению. Соответственно, чем ниже купонная ставка, тем сильнее реакция цены P0 на одни и те же изменения доходности к погашению.

3) Если купонная ставка процента не меняется, то увеличение срока погашения облигации вызывает более сильную реакцию цены P0 облигации на одни и те же изменения ее доходности к погашению i.

4) Небольшие изменения доходности к погашению приводят к одинаковым изменениям цены облигации в обоих направлениях. Иными словами, если доходность i возрастаетна незначительную величину, то это приводит к такому процентному уменьшениюцены P0, которое приблизительно будет равно процентному повышению P0 при таком же незначительном снижении i.

5) Значительные изменения доходности к погашению i вызывают асимметрическую реакцию цен облигации: если доходность к погашению возрастаетна несколько процентов (например, 2%), то вызванное этим снижениецены облигации будет в процентном отношении меньшепо абсолютной величине процентного приращенияцены облигации при снижениидоходности к погашению на те же 2%.

6) При заданном уровне изменения доходности к погашению i, чем ниже исходная доходность к погашению, тем выше реакция цены на изменения i.

Суммируя все шесть свойств волатильности цены облигации, можно заметить, что на нее большое влияние оказывают пять факторов:

а) уровень доходности к погашению;

б) размах изменений доходности к погашению;

в) направления этих изменений;

г) величина купонной ставки;

д) срок погашения.

При построении портфеля из облигаций инвестор может воздействовать только на последние два фактора, поскольку первые три формируются рыночными условиями и определяются на макроэкономическом уровне. В этой связи важным становится найти способ, с помощью которого можно было оценить влияние купонной ставки и срока погашения облигации на изменения ее цены. Подобные оценки удается сделать с использованием категории дюрации (длительности) облигаций.

Дюрация Маколея - средневзвешенный срок до погашения потоков наличности от облигации, в котором в качестве весов выступают текущие стоимости потоков наличности, деленные на цену.

Категория дюрации (длительности) была введена в экономическую теорию и практику в 1938 году американским экономистом Ф. Маколи (Frederick R. Macauley). Он показал, что длительность является более приемлемой мерой временного элемента облигации, чем срок ее погашения, ибо длительность учитывает не только полное возмещение инвестиционных затрат в срок погашения, но также размеры поступления купонных выплат, происходящих до погашения.

Принято считать, что дюрация характеризует «средний срок погашения» всего потока денежных выплат, обеспечиваемых облигацией. Если известны временные моменты t1, t2, t3,... tn, после которых инвестор получает купонные выплаты С1, С2, С3,... Сn и номинал Mn, то дюрация - это средневзвешенная величина этих промежутков времени по долям цены Pi, которую вносит соответствующий денежный поток (купонная выплата и номинал) в начальную стоимость P0 облигации.

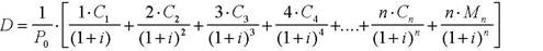
Дюрация любой облигации высчитывается по формуле:

, (2)

где: P0 - рыночная цена облигации;

t - период времени, в течение которого поступает денежный поток, t =1, 2,.., n лет; денежный поток в момент t составляют купонные выплаты Ct и номинал Mn;

n - количество лет, в течение которых поступают купонные выплаты;

i - годовая доходность к погашению.

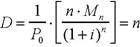
Иными словами,

(3)

Если начисление купонных выплат производится раз в полгода, то в этом случае величина длительности удваивается. Оценим длительность бескупонных облигаций. Поскольку для этих облигаций все величины Сt =0, то:

(4)

Следовательно, длительность бескупонных облигаций всегда равняется сроку погашения этой облигации - n лет.

Модифицированная дюрация. Категория дюрации D используется в оценке волатильности цены облигации. Эмпирически связь между изменениями доходности к погашению i облигации и изменениями ее цены P0 можно представить в виде следующего равенства: P0≈ -D/(1+i) (% изменения i).

Величину [(D)/(1+i)] принято называть модифицированной дюрацией (МД). Тогда процентное изменение P0 ≈ - МД.

Знак «-» свидетельствует, что величины i и P0 находятся в обратной зависимости.

Метод использования модифицированной дюрации МД для оценки процентного изменения цены облигаций при колебаниях рыночной процентной ставки (что найдет отражение в изменениях доходности к погашению) дает более точные результаты в случае его применения для относительно краткосрочных облигаций с высокими ставками купонных выплат, чем для долгосрочных облигаций с низкими купонными выплатами.

Считается, что при формировании и управлении портфелем облигаций инвестор может преследовать три стратегические цели:

1) добиться высокого уровня постоянного дохода, получаемого через определенные промежутки времени;

2) аккумулировать деньги, чтобы достичь запланированной суммы к оп-ределенной дате;

3) повысить отдачу портфеля либо за счет удачного прогноза движения процентной ставки, либо путем получения прибыли за счет изменения соотношения цен и доходности к погашению облигации.

Облигации служат удобным средством для тех инвесторов, которые желают обеспечить себе постоянный поток высокого дохода за счет регулярных купонных выплат и получения начальной стоимости (номинала) облигации при ее погашении. Наиболее удачным способом достижения этой цели служит простая покупка надежных (в смысле кредитного риска) и относительно высокодоходных облигаций и сохранение вплоть до погашения (или до окончания более короткого запланированного инвестором срока). Имея поставленную цель - получать желаемый годовой доход - инвестор должен скомпоновать в портфеле такое количество облигаций, чтобы их суммарные купонные выплаты равнялись необходимому доходу.

Эта стратегия несет определенный риск, вызываемый рядом обстоятельств. Во-первых, удерживая облигации вплоть до их погашения, инвестор избегает ценового риска (риска ликвидности), но одновременно значительно повышается кредитный риск, связанный с возможностью несоблюдения обязательств эмитентом. Во-вторых, желание обеспечить максимальный доход будет подталкивать инвестора на приобретение высокодоходных облигаций, которые имеют, как правило, и меньшую надежность. В-третьих, инвестор должен сформировать портфель таким образом, чтобы ежегодно в нем заменялась новыми облигациями после погашения старых небольшая часть ценных бумаг, то есть процесс погашения облигаций шел последовательно, невысокими порциями.





Подборка статей по вашей теме: