Репо
РЕПО (франц. report) — 1) биржевая сделка на рынке ценных бумаг, заключающаяся в том, что осуществляется продажа ценных бумаг с одновременным заключением сделки о последующем их выкупе через определенный срок по более высокой цене. Представляет разновидность кредита, плата за который есть разница в ценах; 2) проводимая на валютном рынке страны сделка, заключающаяся в сочетании наличной сделки по продаже иностранной валюты в обмен на национальную, с обратной одновременно заключаемой сделкой о покупке национальной валюты по более высокой цене. Возможное написание термина — репорт.
Сделка РЕПО (от англ. repurchase agreement) — сделка покупки (продажи) ценной бумаги с обязательством обратной продажи (покупки) через определенный срок по заранее определенной цене. Иначе, соглашение РЕПО может рассматриваться как краткосрочный заем под залог ценных бумаг, чаще всего краткосрочных долговых бумаг денежного рынка.
Сделкой прямого РЕПО называется сделка продажи с обязательством обратной покупки.
Сделкой обратного РЕПО (англ. reverse repo) называется сделка покупки с обязательством обратной продажи.
Сделка РЕПО состоит из двух частей — первая и вторая часть (прямая и обратная часть).
Понятия «Сделка прямого РЕПО» и «Прямая часть РЕПО» имеют разное значение.
Как правило, первая часть является наличной (spot) сделкой, вторая часть является срочной (форвард — forward) сделкой.
В случае РЕПО «овернайт» — это сделка РЕПО с совершением обратной сделки на следующий день — обе части являются наличными (первая часть — today, вторая — tomorrow).
Под биржевой сделкой РЕПО понимается сделка РЕПО, заключенная на биржевом рынке. Для заключения такой сделки в заявке на биржевую сделку указывается признак того, что заключается сделка РЕПО.
Сделки РЕПО часто совершаются с целью кредитования участников рынка деньгами либо ценными бумагами. В этом случае доход кредитующей стороны сделки реализуется через разницу цен первой и второй части. Ставка РЕПО — положительная или отрицательная величина, выраженная в процентах, используемая для расчета цены второй части сделки РЕПО. Срок РЕПО — интервал между 1 и 2 частями сделки РЕПО.
[править] Банковский кредит РЕПО (Lombard credit)
Центробанк РФ предоставляет коммерческим банкам однодневные (англ. Overnight) кредиты под залог ценных бумаг (векселей, облигаций и т. п.). Такие кредиты называются РЕПО. Ставка по таким кредитам, выраженная в процентах годовых, фактически является тем, что в других экономиках называется ставкой рефинансирования. В России ставка рефинансирования является не только экономическим регулятором, как во многих других экономиках, но также и фискальной мерой.
Для примера в середине 2007 года минимальная ставка, установленная ЦБ РФ по операциям однодневного прямого РЕПО составляла 6 %.[1] По данным опроса Коммерческих банков, проведенным ЦБ России однодневные РЕПО кредиты являются вторыми по востребованности после внутридневных кредитов. Минимальная ставка, установленная ЦБ по операциям однодневного прямого РЕПО Коммерческие банки также могут предоставлять кредиты РЕПО по аналогичным правилам.
[править] Типовой договор РЕПО
Типовой договор РЕПО (Генеральное соглашение НФА об общих условиях проведения операций РЕПО на рынке ценных бумаг) — разработан СРО Национальная фондовая ассоциация в соответствии с лучшими мировыми стандартами (Генеральное Соглашение ICMA по РЕПО) и российской практикой, адаптированный к российской законодательно-нормативной базе.
В теории портфельного инвестирования исходят из того, что значения доходности отдельной ценной бумаги портфеля являются случайными величинами, распределенными по нормальному (Гауссовскому) закону
Чтобы определить распределение вероятностей случайной величины r необходимо знать, какие фактические значения ri принимает данная величина, и какова вероятность Рi каждого подобного результата. При этом инвестора интересует доходность инвестиций в конце инвестиционного, холдингового периода, то есть будущие значения ri, которые в начальный момент инвестирования неизвестны. Значит, инвестор должен оперировать ожидаемым, будущим распределением случайной величины r.
Существуют два подхода к построению распределения вероятностей – субъективный и объективный, или исторический. При использовании субъективного подхода инвестор должен определить возможные сценарии развития экономической ситуации в течение холдингового периода, оценить вероятность каждого результата и ожидаемую при этом доходность ценной бумаги.
Субъективный подход имеет важное преимущество, поскольку позволяет оценивать сразубудущие значение доходности. Однако, он не находит широкого применения, поскольку для обычного инвестора очень трудно сделать оценку вероятностей экономических сценариев и ожидаемую при этом доходность.
Чаще используетсяобъективный, илиисторический подход. В его основе лежит предложение о том, что распределение вероятностей будущих (ожидаемых) величин практически совпадает с распределением вероятностей уже наблюдавшихся фактических, исторических величин. Значит, чтобы получить представление о распределении случайной величины r в будущем достаточно построить распределение этих величин за какой-то промежуток времени в прошлом.
Как показывают исследования западных экономистов, для рынка акций наиболее приемлемым является промежуток 7-10 шагов расчета. В отличие от субъективного подхода, который предполагает разную вероятность различных значений доходности, при объективном подходе каждый результат имеет одинаковую вероятность, поскольку при N наблюдениях случайной величины вероятность конкретного результата составляет величину 1/N. Например, если исследуется доходность акции за предшествующие 10 лет, то вероятность каждой годовой доходности ri составляет 1/10.
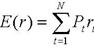
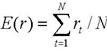
Наиболее часто в теории инвестиционного портфеля используется среднее арифметическое значение доходности отдельной ценной бумаги. Напомним, что если rt (t = 1,2,…,N) представляют собой значения доходности в конце t – го периода, а Pt – вероятности данных значений доходности, то:
, (5)
где E (r) – среднее арифметическое значение доходности;
N – количество лет, в течение которых велись наблюдения.
В случае объективного подхода Pt = 1/N, поэтому формула примет вид:
(6)
Наиболее часто риск ценной бумаги измеряют с помощью дисперсии σ2 и стандартного отклоненияσ.
(4.7)
σ = √σ2
Под ожидаемой доходностью портфеля понимается средневзвешенное значение ожидаемых значений доходности ценных бумаг, входящих в портфель. При этом «вес» каждой ценной бумаги определяется относительным количеством денег, направленных инвестором на покупку этой ценной бумаги. Ожидаемая доходность инвестиционного портфеля равна:
, (8)
где E(rp) – ожидаемая доходность портфеля;
Wi – доля в общих инвестиционных расходах, идущая на приобретение i-ой ценной бумаги (“вес” i-ой ценной бумаги в портфеле);
E(ri) – ожидаемая доходность i-ой ценной бумаги;
n – число ценных бумаг в портфеле.
Измерение риска портфеля. При определении риска портфеля следует учитывать, что дисперсию портфеля нельзянайти как средневзвешенную величин дисперсий входящих в портфель ценных бумаг. Это объясняется тем, что дисперсия портфеля зависит не только от дисперсий входящих в портфель ценных бумаг, но также и от взаимосвязи доходностей ценных бумаг портфеля друг с другом. Иными словами, риск портфеля объясняется не только индивидуальным риском каждой отдельно взятой ценной бумаги портфеля, но и тем, что существует риск воздействия изменений наблюдаемых ежегодных величин доходности одной акции на изменения доходности других акций, включаемых в инвестиционный портфель.
Меру взаимозависимости двух случайных величин измеряют с помощью ковариации и коэффициента корреляции. Положительная ковариация означает, что в движении доходности двух ценных бумаг имеется тенденция изменяться в одних и тех же направлениях: если доходность одной акции возрастает (уменьшается), то и доходность другой акции также возрастет (уменьшится). Если же просматривается обратная тенденция, то есть увеличению (уменьшению) доходности акций одной компании соответствует снижение (увеличение) доходности акций другой компании, то считается, что между доходностями акций этих двух компаний существует отрицательная ковариация.
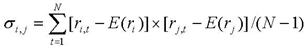
Когда рассматриваются величины доходности ценных бумаг за прошедшие периоды, то ковариация подсчитывается по формуле:
, (9)
где: σ i,j – ковариация между величинами доходности ценной бумаги i и ценной бумаги j;
ri,t и r j,t – доходность ценных бумаг i и j в момент времени t;
E(ri), E(rj) – ожидаемая (средняя арифметическая) доходность ценных бумаг i и j;
N – общее количество лет наблюдения.
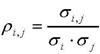
Часто при определении степени взаимосвязи двух случайных величин используют относительнуювеличину – коэффициент корреляции ρij:
(10)
Коэффициент корреляции между доходностью ценных бумаг i и j равен отношению ковариации доходности этих ценных бумаг к произведению их стандартных отклонений.
Значения ρij изменяются в пределах: - 1 ≤ ρij ≤ +1 и не зависят от способов подсчета величин σij и σi, σj. Это позволяет более точно оценивать степень взаимосвязи доходности двух ценных бумаг: если ρij > 0, то доходность ценных бумаг i и j имеет тенденцию изменяться в одних и тех же направлениях, то есть, когда доходность i -ой ценной бумаги возрастает (снижается), то и доходность j -ой ценной бумаги также возрастает (снижается).
Чем ближе значение ρij к величине +1, тем сильнее эта взаимосвязь. Когда ρij = +1, то считается, что ценные бумаги i и j имеют абсолютную положительную корреляцию: в этом случае значение годовой доходности ri,t и r j,t связаны положительной линейной зависимостью, то есть любым изменениям ri,t всегда соответствуют пропорциональные изменения r j,t в тех же направлениях.
Если ρij отрицательны, то ri,t и r j,t имеют тенденцию изменяться в разных направлениях: когда ri,t возрастает (снижается), r j,t уменьшается (повышается).
Чем ближе в этом случае ρij к величине (- 1), тем выше степень отрицательной взаимосвязи. При ρij = - 1 наблюдается абсолютная отрицательная корреляция, когда ri,t и r j,t связаны отрицательной линейной зависимостью. При ρij = 0 отсутствует какая-либо взаимосвязь между величинами доходности двух ценных бумаг.
Коэффициент корреляции очень важен для формирования портфеля. Чем ниже коэффициент корреляции ценных бумаг, составляющих портфель, тем ниже и риск инвестиционного портфеля.
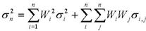
Итак, риск инвестиционного портфеля надо определять с помощью дисперсии. Пусть в исследуемый портфель входят n ценных бумаг; тогда дисперсию портфеля необходимо вычислять по формуле:
(11)
Если вспомнить, что коэффициент корреляции ρij = σ i,j / σi σj, то эту формулу можно представить в виде:
(12)






