
=
,
,


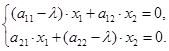
Получили однородную систему уравнений.Нас интересует только не нулевое решение, а оно существует только тогда, когда определитель системы равен нулю. Решая уравнение
= 0,
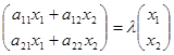
которое называется характеристическим уравнением матрицы, находим собственные числа. А по собственным числам находим собственные векторы. Если преобразование задается матрицей

,
тохарактеристическое уравнение имеет вид
= 0.
Его корни:
Если
, то система равносильна уравнению 3 х
- 3 х
= 0 и тогда: х
= х
= t, t
Если
, то система равносильна уравнению 3 х
+ 3 х
= 0 и тогда: х
= - х
= t,t
Ответ: t
, t
– собственные векторы, t
.






