Решение.
Пример.
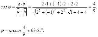
Решение.

Найти угол
между векторами
,
.

Векторным произведением двух векторов
и
, называется вектор
=
×
, удовлетворяющий трем условиям:
1. |

| =
∙
∙sinφ, где φ – угол между векторами
и
в промежутке [0;1800];
2. 

, 

;
3. если смотреть с конца вектора
на плоскость, в которой лежат векторы
и
, то кратчайший поворот от вектора
до
будет виден совершающимся против часовой стрелки (правило правого винта).
Применяется векторное произведение для вычисления площадей многоугольников. С помощью векторного произведения можно установить признак параллельности векторов, а именно, два вектора тогда и только тогда взаимно параллельны, когда их векторное произведение равно нулевому вектору. Отметим, что в этом случае удобнее пользоваться признаком: два вектора взаимно параллельны тогда и только тогда, когда их координаты пропорциональны. Оно имеет и другие применения, но в основном в физико-технических задачах.
Из первого пункта определения векторного произведения следуют формулы:
|
|
|
│

│ = S – площадь параллелограмма ABCD;
│
│ = S – площадь треугольника ABC.
Векторное произведение обладает свойствами:
1) 

= – (

); 2) 
(
+
) = (

) + (

);
3) m
n
= (m n) (

), где m,n
R.
Применяется векторное произведение для вычисления площадей многоугольников. С помощью векторного произведения можно установить признак параллельности векторов, а именно, два вектора тогда и только тогда взаимно параллельны, когда их векторное произведение равно нулевому вектору. Отметим, что в этом случае удобнее пользоваться признаком: два вектора взаимно параллельны тогда и только тогда, когда их координаты пропорциональны. Оно имеет и другие применения, но в основном в физико-технических задачах.
Из первого пункта определения векторного произведения следуют формулы:
│

│ = S – площадь параллелограмма ABCD;
│
│ = S – площадь треугольника ABC.
Векторное произведение обладает свойствами:
1) 

= – (

); 2) 
(
+
) = (

) + (

);
3) m 
n
= (m n) (

), где m, n
R.
Пользуясь свойствами векторного произведения и его определением, можно получить формулу:


=
,
где
=
.
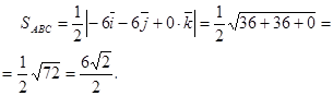
Пример. Вычислить площадь треугольника с вершинами А(1,1,2), В(0;2;4),С(-1;3;0).
Решение.
=(0-1; 2-1; 4-2)= (-1; 1; 2),
= (-1-1; 3-1; 0-2)= =(-2;2;-2).
│

│=
│

Пример. Вычислить площадь треугольника с вершинами
.
Решение. Будем считать, что третья координата вершин треугольника равна нулю. Тогда:
=(
;
;0),
= (
;
; 0).
│

│=
│
│.
Получили формулу площади параллелограмма со смежными сторонами
и
. Формула площади треугольника АВС имеет вид:
│
│.