Автор: преподаватель, В. И. Сергеев, Преподаватель, Акционерное общество "Научно-исследовательский институт". Тип материала: Научная статья
Производственный процесс должен быть организован в соответствии с определенными принципами, способствующими улучшению экономических показателей работы предприятия.
Основными принципами рациональной организации любых процессов являются:
- специализация;
- непрерывность;
- параллельность;
- прямоточность;
- ритмичность;
- гибкость.

Принцип специализации заключается в повышении производительности на основе закрепления однородных частей производственного процесса за отдельными элементами производственной системы. Принцип позволяет снизить производственные издержки путем повышения производительности работников (эффект кривой обучения) и концентр
Специализация может быть организована на предметном или технологическом принципах (см. схему).
Пропорциональность – принцип, выполнение которого обеспечивает равную пропускную способность различных операций производственного процесса.
Пример. Производственная мощность 4-х операций по изготовлению партии деталей

Мощность определяет пропускную способность каждой операции. При этом пропускная способность всей системы определяется т.н. «узким местом» (Bottle Neck – узкое горлышко), т.е. операцией с наименьшей мощностью. В данном случае это Операция 3, вследствие чего производственная система подобной структуры составляет 6 деталей в смену. Тогда производственные мощности других операций будут использоваться не полностью:
Операции 1 и 4 6 * 100%/10 = 60%
Операция 2 6 * 100%/15 = 40%.
Пропорциональность будет обеспечена в случае, если производительность (производственная мощность) каждой технологической операции будут равны.
Для рассматриваемого примера определим НОК производственной мощности по каждой операции:
НОК (10, 15, 6, 10) = 30 (шт/смена).
Тогда, если на 1-й и 4-й операции организовать по 3 рабочих места, на 2-й операции организовать 2 рабочих места, и на 3-1 операции – 5 рабочих мест, то производительность всей производственной системы возрастет до 30 шт./смена. При этом производственная мощность каждой операции будет полностью использована (при условии наличия потребности в подобном количестве деталей).
Непрерывность – принцип, обеспечивающий непрерывную (без простоев) работу оборудования и рабочих, и непрерывную (без пролеживания) обработку деталей в процессе производства.
Непрерывность обработки деталей можно характеризовать показателем:
Кнепр = Траб/Тц,
Где Траб – продолжительность рабочего времени изготовления детали; Тц - общая продолжительность нахождения детали в производстве, включая пролеживание на отдельных операциях, между рабочими местами и т.п.
Параллельность – принцип, обеспечивающий совмещение операций во времени. Предусматривает одновременность выполнения всех операций по изготовлению изделия одного или нескольких наименований на различных рабочих местах.
Прямоточность – принцип, предусматривающий наикратчайшие маршруты движения предметов труда в процессе производства (по рабочим местам, участкам, цехам).
Ритмичность – принцип, характеризующий равномерность и повторяемость отдельных элементов производственного процесса во времени.
Различают:
- ритмичность выпуска – выпуск равного (или пропорционально меняющегося) количества продукции через равные промежутки времени;
- ритмичность работы - выполнение равного (или пропорционально меняющегося) объема работы в равные промежутки времени.
Гибкость – способность производственной системы быстро и экономично переходить на производство новой продукции.
Надежность – принцип, обеспечивающий бесперебойную работу производственной системы в определенный промежуток времени.
Организация производственных процессов во времени.
Для обеспечения рационального взаимодействия всех элементов производственного процесса и упорядочения выполняемых работ во времени и в пространстве необходимо формирование производственного цикла изделия.
Производственным циклом называется комплекс определенным образом организованных во времени основных, вспомогательных и обслуживающих процессов, необходимых для изготовления определенного вида продукции. Важнейшей характеристикой производственного цикла является его длительность.
Длительность производственного цикла — это календарный период времени, в течение которого материал, заготовка или другой обрабатываемый предмет проходят все операции производственного процесса или определенной его части и превращаются в готовую продукцию. Длительность цикла выражается в календарных днях или часах. Структура производственного цикла включает время рабочего периода и время перерывов.
В течение рабочего периода выполняются собственно технологические операции и работы подготовительно-заключительного характера. К рабочему периоду относятся также продолжительность контрольных и транспортных операций и время естественных процессов. Время перерывов обусловлено режимом труда, межоперационным пролеживанием деталей и недостатками в организации труда и производства.
Время межоперационного пролеживания определяется перерывами партионности, ожидания и комплектования. Перерывы партионности возникают при изготовлении изделий партиями и обусловлены тем, что обработанные изделия пролеживают, пока вся партия не пройдет через данную операцию. При этом исходят из того, что производственной партией называется группа изделий одного и того же наименования и типоразмера, запускаемых в производство в течение определенного времени при одном и том же подготовительно-заключительном периоде.
Перерывы ожидания вызываются несогласованной длительностью двух смежных операций технологического процесса, а перерывы комплектования — необходимостью ожидания того времени, когда будут изготовлены все заготовки, детали или сборочные единицы, входящие в один комплект изделий. Перерывы комплектования возникают при переходе от одной стадии производственного процесса к другой.
В наиболее общем виде длительность производственного цикла Тц выражается формулой
Тц = Тт + Tn–3 + Те + Тк + Ттр + Тмо + Тпр, (3.1)
где Тт — время технологических операций; Tn–3 — время работ подготовительно-заключительного характера; Те — время естественных процессов; Тк — время контрольных операций; Ттр — время транспортирования предметов труда; Тмо — время межоперационного пролеживания (внутрисменные перерывы); Тпр — время перерывов, обусловленных режимом труда.
Длительность технологических операций и подготовительно-заключительных работ в совокупности образует операционный цикл Тц.оп.
Операционный цикл — это продолжительность законченной части технологического процесса, выполняемой на одном рабочем месте.
Методы расчета длительности производственного цикла.
Необходимо различать производственный цикл отдельных деталей и цикл изготовления сборочной единицы или изделия в целом. Производственный цикл детали обычно называют простым, а изделия или сборочной единицы — сложным. Цикл может быть однооперационным и многооперационным. Длительность цикла многооперационного процесса зависит от способа передачи деталей с операции на операцию. Существуют три вида движения предметов труда в процессе их изготовления: последовательный, параллельный и параллельно-последовательный.
При последовательном виде движениявся партия деталей передается на последующую операцию после окончания обработки всех деталей на предыдущей операции. Достоинствами этого метода являются отсутствие перерывов в работе оборудования и рабочего на каждой операции, возможность их высокой загрузки в течение смены. Но производственный цикл при такой организации работ является наибольшим, что отрицательно сказывается на технико-экономических показателях деятельности цеха, предприятия.
При параллельном виде движения детали передаются на следующую операцию транспортной партией сразу после окончания ее обработки на предыдущей операции. В этом случае обеспечивается наиболее короткий цикл. Но возможности применения параллельного вида движения ограничены, так как обязательным условием его реализации является равенство или кратность продолжительности выполнения операций. В противном случае неизбежны перерывы в работе оборудования и рабочих.
При параллельно-последовательном виде движения деталей с операции на операцию они передаются транспортными партиями или поштучно. При этом происходит частичное совмещение времени выполнения смежных операций, а вся партия обрабатывается на каждой операции без перерывов. Рабочие и оборудование работают без перерывов. Производственный цикл длительнее по сравнению с параллельным, но короче, чем при последовательном движении предметов труда.
Расчет цикла простого производственного процесса. Операционный производственный цикл партии деталей при последовательном виде движения рассчитывается так:
(3.2)
где n — количество деталей в производственной партии, шт.; rоп — число операций технологического процесса; tштi — норма времени на выполнение каждой операции, мин; Ср.мi — количество рабочих мест, занятых изготовлением партии деталей на каждой операции.
Схема последовательного вида движения представлена на рис. 3.1, а. По данным, приведенным в схеме, рассчитывается операционный цикл партии, состоящей из трех деталей, обрабатываемых на четырех рабочих местах:
Тц.посл = 3 (tшт1 + tшт2 + tшт3 + tшт4) = 3 (2 + 1 + 4 + 1,5) = 25,5 мин.
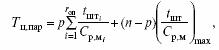
Формула для расчета длительности операционного цикла при параллельном виде движения:
(3.3)
где
— время выполнения операции, самой продолжительной в технологическом процессе, мин.

Рис. 3.1, а. График производственных циклов при последовательном движении партий деталей
График движения партии деталей при параллельном движении приведен на рис. 3.1, б. По графику можно определить длительность операционного цикла при параллельном движении:
Тц.пар = (tшт1 + tшт2 + tшт3 + tшт4)+ (3 – 1) tшт3= 8,5 + (3 – 1) 4 = 16,5 мин.

Рис. 3.1, б. График производственных циклов при параллельно-последовательном движении партий деталей
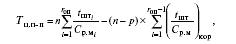
При параллельно-последовательном виде движения происходит частичное совмещение во времени выполнения смежных операций. Существует два вида сочетания смежных операций во времени. Если время выполнения последующей операции больше времени выполнения предыдущей операции, то можно применять параллельный вид движения деталей. Если время выполнения последующей операции меньше времени выполнения предыдущей, то приемлем параллельно-последовательный вид движения с максимально возможным совмещением во времени выполнения обеих операций. Максимально совмещенные операции при этом отличаются друг от друга на время изготовления последней детали (или последней транспортной партии) на последующей операции.
Схема параллельно-последовательного вида движения приведена на рис. 10.4, в. В данном случае операционный цикл будет меньше, чем при последовательном виде движения, на величину совмещения каждой смежной пары операций: первая и вторая операции — АВ – (3 – l) tшт2; вторая и третья операции — ВГ = А¢Б¢ – (3 –1) tшт3; третья и четвертая операции — ДЕ – (3 – 1) tшт4 (где tшт3 и tшт4 имеют более короткое время tшт.кор из каждой пары операций). Формулы для расчета
(3.4)
При выполнении операций на параллельных рабочих местах:

Рис. 3.1, в. График производственных циклов при параллельном движении партий деталей
При передаче изделий транспортными партиями:
(3.5)
где — время на выполнение наиболее короткой операции.
Пример расчета длительности цикла по формуле (3.5):
Тц.п-п = 25,5 – 2 (1 + 1 + 1,5) = 18,5 мин.
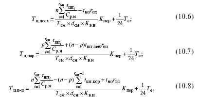
Производственный цикл изготовления партии деталей включает не только операционный цикл, но и естественные процессы и перерывы, связанные с режимом работы, и другие составляющие. В этом случае длительность цикла для рассмотренных видов движения определяется по формулам:

где rоп — количество технологических операций; Ср.м — количество параллельных рабочих мест, занятых изготовлением партии деталей на каждой операции; tмо — время межоперационного пролеживания между двумя операциями, ч; Тсм — длительность одной рабочей смены, ч; dсм — число смен; Кв.н — планируемый коэффициент выполнения норм на операциях; Кпер — коэффициент перевода рабочего времени в календарное; Те — длительность естественных процессов.
Расчет длительности цикла сложного процесса.
Производственный цикл изделия включает циклы изготовления деталей, сборки узлов и готовых изделий, испытательных операций. При этом принято считать, что различные детали изготавливаются одновременно. Поэтому в производственный цикл изделия включается цикл наиболее трудоемкой (ведущей) детали из числа тех, которые подаются на первые операции сборочного цеха. Длительность производственного цикла изделия может быть рассчитана по формуле
Тц.п = Тц.д + Тц.б, (3.9)
где Тц.д — длительность производственного цикла изготовления ведущей детали, календ. дн.; Тц.б — длительность производственного цикла сборочных и испытательных работ, календ. дн.

Рис. 3.2. Цикл сложного процесса
Для определения длительности цикла сложного производственного процесса может быть использован графический метод. Для этого составляется цикловой график. Предварительно устанавливаются производственные циклы простых процессов, входящих в сложный. По цикловому графику анализируется срок опережения одних процессов другими и определяется общая продолжительность цикла сложного процесса производства изделия или партии изделий как наибольшая сумма циклов связанных между собой простых процессов и межоперационных перерывов. На рис. 3.2 приведен цикловой график сложного процесса. На графике справа налево в масштабе времени откладываются циклы частичных процессов, начиная от испытаний и кончая изготовлением деталей.
Пути и значение обеспечения непрерывности производственного процесса и сокращения длительности цикла.
Высокая степень непрерывности процессов производства и сокращение длительности производственного цикла имеет большое экономическое значение: снижаются размеры незавершенного производства и ускоряется оборачиваемость оборотных средств, улучшается использование оборудования и производственных площадей, снижается себестоимость продукции. Исследования, выполненные на ряде предприятий г. Харькова, показали, что там, где средняя длительность производственного цикла не превышает 18 дней, каждый затрачиваемый рубль обеспечивает получение продукции на 12% больше, чем на заводах, где длительность цикла равна 19–36 дням, и на 61% больше, чем на заводе, где продукция имеет цикл выше 36 дней.
Повышение уровня непрерывности производственного процесса и сокращение длительности цикла достигаются, во-первых, повышением технического уровня производства, во-вторых — мерами организационного характера. Оба пути взаимосвязаны и дополняют друг друга.
Техническое совершенствование производства идет в направлении внедрения новой технологии, прогрессивного оборудования и новых транспортных средств. Это ведет к сокращению производственного цикла за счет снижения трудоемкости собственно технологических и контрольных операций, уменьшения времени на перемещение предметов труда.
Организационные мероприятия должны предусматривать:
- сведение до минимума перерывов, вызванных межоперационным пролеживанием, и перерывов партионности за счет применения параллельного и параллельно-последовательного методов движения предметов труда и улучшения системы планирования;
- построение графиков комбинирования различных производственных процессов, обеспечивающих частичное совмещение во времени выполнения смежных работ и операций;
- сокращение перерывов ожидания на основе построения оптимизированных планов-графиков изготовления продукции и рационального запуска деталей в производство;
- внедрение предметно-замкнутых и подетально-специализированных цехов и участков, создание которых уменьшает длину внутрицеховых и межцеховых маршрутов, сокращает затраты времени на транспортировку.