Тема 4. Типы и методы организации производства
Тип производства определяется комплексной характеристикой технических, организационных и экономических особенностей производства, обусловленных широтой номенклатуры, регулярностью, стабильностью и объемом выпуска продукции. Основным показателем, характеризующим тип производства, является коэффициент закрепления операций Кз. Коэффициент закрепления операций для группы рабочих мест определяется как отношение числа всех различных технологических операций, выполненных или подлежащих выполнению в течение месяца, к числу рабочих мест:

(4.1)
где Копi - число операций, выполняемых на i-м рабочем месте;
Кр.м - количество рабочих мест на участке или в цехе.
Различают три типа производства: единичное, серийное, массовое.
Единичное производство характеризуется малым объемом выпуска одинаковых изделий, повторное изготовление и ремонт которых, как правило, не предусматриваются. Коэффициент закрепления операций для единичного производства обычно выше 40.
|
|
|
Серийное производство характеризуется изготовлением или ремонтом изделий периодически повторяющимися партиями. В зависимости от количества изделий в партии или серии и значения коэффициента закрепления операций различают мелкосерийное, среднесерийное и крупносерийное производство.
Для мелкосерийного производства коэффициент закрепления операций от 21 до 40 (включительно), для среднесерийного производства - от 11 до 20 (включительно), для крупносерийного производства - от 1 до 10 (включительно).
Массовое производство характеризуется большим объемом выпуска изделий, непрерывно изготовляемых или ремонтируемых продолжительное время, в течение которого на большинстве рабочих мест выполняется одна рабочая операция. Коэффициент закрепления операций для массового производства принимается равным 1.
Рассмотрим технико-экономические характеристики каждого из типов производства.
Единичное и близкое к нему мелкосерийное производства характеризуются изготовлением деталей большой номенклатуры на рабочих местах, не имеющих определенной специализации. Это производство должно быть достаточно гибким и приспособленным к выполнению различных производственных заказов.
Технологические процессы в условиях единичного производства разрабатываются укрупненно в виде маршрутных карт на обработку деталей по каждому заказу; участки оснащаются универсальным оборудованием и оснасткой, обеспечивающей изготовление деталей широкой номенклатуры. Большое разнообразие работ, которые приходится выполнять многим рабочим, требует от них различных профессиональных навыков, поэтому на операциях используются рабочие-универсалы высокой квалификации. На многих участках, особенно в опытном производстве, практикуется совмещение профессий.
|
|
|
Организация производства в условиях единичного производства имеет свои особенности. Ввиду разнообразия деталей, порядка и способов их обработки производственные участки строятся по технологическому принципу с расстановкой оборудования по однородным группам. При такой организации производства детали в процессе изготовления проходят через различные участки. Поэтому при передаче их на каждую последующую операцию (участок) необходимо тщательно проработать вопросы контроля качества обработки, транспортирования, определения рабочих мест для выполнения следующей операции. Особенности оперативного планирования и управления заключаются в своевременных комплектации и выполнении заказов, контроле за продвижением каждой детали по операциям, обеспечении планомерной загрузки участков и рабочих мест. Большие сложности возникают в организации материально-технического снабжения. Широкая номенклатура изготовляемой продукции, применение укрупненных норм расхода материалов создают трудности в бесперебойном снабжении, из-за чего на предприятиях накапливаются большие запасы материалов, а это ведет, в свою очередь, к омертвлению оборотных средств.
Особенности организации единичного производства сказываются на экономических показателях. Для предприятий с преобладанием единичного типа производства характерны относительно высокая трудоемкость изделий и большой объем незавершенного производства вследствие длительного пролеживания деталей между операциями. Структура себестоимости изделий отличается высокой долей затрат на заработную плату. Эта доля, как правило, составляет 20-25 %.
Основные возможности улучшения технико-экономических показателей единичного производства связаны с приближением его по технико-организационному уровню к серийному. Применение серийных методов производства возможно при сужении номенклатуры изготовляемых деталей общемашиностроительного применения, унификации деталей и узлов, что позволяет перейти к организации предметных участков; расширении конструктивной преемственности для увеличения партий запуска деталей; группировании близких по конструкции и порядку изготовления деталей для сокращения времени на подготовку производства и улучшения использования оборудования.
Серийное производство характеризуется изготовлением ограниченной номенклатуры деталей партиями, повторяющимися через определенные промежутки времени. Это позволяет использовать наряду с универсальным специальное оборудование. При проектировании технологических процессов предусматривают порядок выполнения и оснастку каждой операции.
Для организации серийного производства характерны следующие черты. Цехи, как правило, имеют в своем составе предметнозамкнутые участки, оборудование на которых расставляется по ходу типового технологического процесса. В результате возникают сравнительно простые связи между рабочими местами и создаются предпосылки для организации прямоточного перемещения деталей в процессе их изготовления.
Предметная специализация участков делает целесообразной обработку партии деталей параллельно на нескольких станках, выполняющих следующие друг за другом операции. Как только на предыдущей операции заканчивается обработка нескольких первых деталей, они передаются на следующую операцию до окончания обработки всей партии. Таким образом, в условиях серийного производства становится возможной параллельно-последовательная организация производственного процесса. Это его отличительная особенность.
|
|
|
Применение той или иной формы организации в условиях серийного производства зависит от трудоемкости и объема выпуска закрепленных за участком изделий. Так, крупные, трудоемкие детали, изготовляемые в большом количестве и имеющие сходный технологический процесс, закрепляют за одним участком с организацией на нем переменно-поточного производства. Детали средних размеров, многооперационные и менее трудоемкие объединяют в партии. Если запуск их в производство регулярно повторяется, организуются участки групповой обработки. Мелкие, малотрудоемкие детали, например нормализованные шпильки, болты, закрепляют за одним специализированным участком. В этом случае возможна организация прямоточного производства.
Для предприятий серийного производства характерны значительно меньшие, чем в единичном, трудоемкость и себестоимость изготовления изделий. В серийном производстве, по сравнению с единичным, изделия обрабатываются с меньшими перерывами, что снижает объемы незавершенного производства.
С точки зрения организации основным резервом роста производительности труда в серийном производстве является внедрение методов поточного производства.
Массовое производство отличается наибольшей специализацией и характеризуется изготовлением ограниченной номенклатуры деталей в больших количествах. Цехи массового производства оснащаются наиболее совершенным оборудованием, позволяющим почти полностью автоматизировать изготовление деталей. Большое распространение получили здесь автоматические поточные линии.
Технологические процессы механической обработки разрабатываются более тщательно, по переходам. За каждым станком закрепляется относительно небольшое количество операций, что обеспечивает наиболее полную загрузку рабочих мест. Оборудование располагается цепочкой по ходу технологического процесса отдельных деталей. Рабочие специализируются на выполнении одной двух операций. Детали с операции на операцию передаются поштучно. В условиях массового производства возрастает значение организации межоперационной транспортировки, технического обслуживания рабочих мест. Постоянный контроль за состоянием режущего инструмента, приспособлений, оборудования - одно из условий обеспечения непрерывности процесса производства, без которого неизбежно нарушается ритмичность работы на участках и в цехах. Необходимость поддержания заданного ритма во всех звеньях производства становится отличительной особенностью организации процессов при массовом производстве.
|
|
|
Массовое производство обеспечивает наиболее полное использование оборудования, высокий общий уровень производительности труда, самую низкую себестоимость изготовления продукции. В табл. 4.1 представлены данные по сравнительной характеристике различных типов производства.
Таблица 4.1Сравнительная характеристика различных типов производства

Формы организации производства. Форма организации производства представляет собой определенное сочетание во времени и в пространстве элементов производственного процесса при соответствующем уровне его интеграции, выраженное системой устойчивых связей.
Различные временные и пространственные структурные построения образуют совокупность основных форм организации производства. Временная структура организации производства определяется составом элементов производственного процесса и порядком их взаимодействия во времени. По виду временной структуры различают формы организации с последовательной, параллельной и параллельно-последовательной передачей предметов труда в производстве.
Форма организации производства с последовательной передачей предметов труда представляет собой такое сочетание элементов производственного процесса, при котором обеспечивается движение обрабатываемых изделий по всем производственным участкам партиями произвольной величины. Предметы труда на каждую последующую операцию передаются лишь после окончания обработки всей партии на предшествующей операции. Данная форма является наиболее гибкой по отношению к изменениям, возникающим в производственной программе, позволяет достаточно полно использовать оборудование, что дает возможность снизить затраты на его приобретение. Недостаток такой формы организации производства заключается в относительно большой длительности производственного цикла, так как каждая деталь перед выполнением последующей операции пролеживает в ожидании обработки всей партии.
Форма организации производства с параллельной передачей предметов труда основана на таком сочетании элементов производственного процесса, которое позволяет запускать, обрабатывать и передавать предметы труда с операции на операцию поштучно и без ожидания. Такая организация производственного процесса приводит к уменьшению количества деталей, находящихся в обработке, сокращению потребностей в площадях, необходимых для складирования и проходов. Ее недостаток - в возможных простоях оборудования (рабочих мест) вследствие различий в длительности операций.
Форма организации производства с параллельно-последовательной передачей предметов труда является промежуточной между последовательной и параллельной формами и частично устраняет присущие им недостатки. Изделия с операции на операцию передаются транспортными партиями. При этом обеспечивается непрерывность использования оборудования и рабочей силы, возможно частично параллельное прохождение партии деталей по операциям технологического процесса.
Пространственная структура организации производства определяется количеством технологического оборудования, сосредоточенного на рабочей площадке (числом рабочих мест), и расположением его относительно направления движения предметов труда в окружающем пространстве. В зависимости от количества технологического оборудования (рабочих мест) различают однозвенную производственную систему и соответствующую ей структуру обособленного рабочего места и многозвенную систему с цеховой, линейной или ячеистой структурой. Возможные варианты пространственной структуры организации производства представлены на рис. 4.1. Цеховая структура характеризуется созданием участков, на которых оборудование (рабочие места) расположено параллельно потоку заготовок, что предполагает их специализацию по признаку технологической однородности. В этом случае партия деталей, поступающая на участок, направляется на одно из свободных рабочих мест, где проходит необходимый цикл обработки, после чего передается на другой участок (в цех).
На участке с линейной пространственной структурой оборудование (рабочие места) располагается по ходу технологического процесса и партия деталей, обрабатываемая на участке, передается с одного рабочего места на другое последовательно.
Ячеистая структура организации производства объединяет признаки линейной и цеховой. Комбинация пространственной и временной структур производственного процесса при определенном уровне интеграции частичных процессов обусловливает различные формы организации производства: технологическую, предметную, прямоточную, точечную, интегрированную (рис.4.2). Рассмотрим характерные черты каждой из них.
Технологическая форма организации производственного процесса характеризуется цеховой структурой с последовательной передачей предметов труда. Такая форма организации широко распространена на машиностроительных заводах, поскольку обеспечивает максимальную загрузку оборудования в условиях мелкосерийного производства и приспособлена к частым изменениям в технологическом процессе. В то же время применение технологической формы организации производственного процесса имеет ряд отрицательных последствий. Большое количество деталей и их многократное перемещение в процессе обработки приводят к росту объема незавершенного производства и увеличению числа пунктов промежуточного складирования. Значительную часть производственного цикла составляют потери времени, обусловленные сложной межучастковой связью.

Рис. 4.1. Варианты пространственной структуры производственного процесса
Предметная форма организации производства имеет ячеистую структуру с параллельно-последовательной (последовательной) передачей предметов труда в производстве. На предметном участке устанавливается, как правило, все оборудование, необходимое для обработки группы деталей с начала и до конца технологического процесса. Если технологический цикл обработки замыкается в пределах участка, он называется предметно-замкнутым.
Предметное построение участков обеспечивает прямоточность и уменьшает длительность производственного цикла изготовления деталей. В сравнении с технологической формой предметная позволяет снизить общие расходы на транспортировку деталей, потребность в производственных площадях на единицу продукции. Вместе с тем данная форма организации производства имеет и недостатки. Главный из них в том, что при определении состава оборудования, устанавливаемого на участке, на первый план выдвигается необходимость проведения определенных видов обработки деталей, что не всегда обеспечивает полную загрузку оборудования.
Кроме того, расширение номенклатуры выпускаемой продукции, ее обновление требуют периодической перепланировки производственных участков, изменения структуры парка оборудования. Прямоточная форма организации производства характеризуется линейной структурой с поштучной передачей предметов труда. Такая форма обеспечивает реализацию ряда принципов организации: специализации, прямоточности, непрерывности, параллельности. Ее применение приводит к сокращению длительности производственного цикла, более эффективному использованию рабочей силы за счет большей специализации труда, уменьшению объема незавершенного производства.

Рис. 4.2. Формы организации производства
При точечной форме организации производства работа полностью выполняется на одном рабочем месте. Изделие изготовляется там, где находится его основная часть. Примером служит сборка изделия с перемещением рабочего вокруг него. Организация точечного производства имеет ряд достоинств: обеспечивается возможность частых изменений конструкции изделий и последовательности обработки, изготовления изделий разнообразной номенклатуры в количестве, определяемом потребностями производства; снижаются затраты, связанные с изменением расположения оборудования, повышается гибкость производства.
Интегрированная форма организации производства предполагает объединение основных и вспомогательных операций в единый интегрированный производственный процесс с ячеистой или линейной структурой при последовательной, параллельной или параллельно-последовательной передаче предметов труда в производстве. В отличие от существующей практики раздельного проектирования процессов складирования, транспортировки, управления, обработки на участках с интегрированной формой организации требуется увязать эти частичные процессы в единый производственный процесс. Это достигается путем объединения всех рабочих мест с помощью автоматического транспортно-складского комплекса, который представляет собой совокупность взаимосвязанных, автоматических и складских устройств, средств вычислительной техники, предназначенных для организации хранения и перемещения предметов труда между отдельными рабочими местами.
Управление ходом производственного процесса здесь осуществляется с помощью ЭВМ, что обеспечивает функционирование всех элементов производственного процесса на участке по следующей схеме: поиск необходимой заготовки на складе - транспортировка заготовки к станку - обработка - возвращение детали на склад. Для компенсации отклонений во времени при транспортировке и обработке деталей на отдельных рабочих местах создаются буферные склады межоперационного и страхового заделов. Создание интегрированных производственных участков связано с относительно высокими единовременными затратами, вызванными интеграцией и автоматизацией производственного процесса.
Экономический эффект при переходе к интегрированной форме организации производства достигается за счет сокращения длительности производственного цикла изготовления деталей, увеличения времени загрузки станков, улучшения регулирования и контроля процессов производства. На рис. 4.3 изображены схемы расположения оборудования на участках с различной формой организации производства.

Рис. 4.3. Схемы расположения оборудования (рабочих мест) на участках с различной формой организации производства: а) технологическая; б) предметная; в) прямоточная: г) точечная (для случая сборки); д) интегрированная
В зависимости от способности к переналадке на выпуск новых изделий перечисленные выше формы организации производства условно можно разделить на гибкие (переналаживаемые) и жесткие (непереналаживаемые). Жесткие формы организации производства предполагают обработку деталей одного наименования.
Изменение в номенклатуре выпускаемой продукции и переход на выпуск конструктивно новой серии изделий требуют перепланировки участка, замены оборудования и оснастки. К числу жестких относится поточная форма организации производственного процесса.
Гибкие формы позволяют обеспечить переход на выпуск новых изделий без изменения состава компонентов производственного процесса при незначительных затратах времени и труда.
Наибольшее распространение на машиностроительных предприятиях в настоящее время получили такие формы организации производства, как гибкое точечное производство, гибкие предметная и поточная формы.
Гибкое точечное производство предполагает пространственную структуру обособленного рабочего места без дальнейшей передачи предметов труда в процессе производства. Деталь полностью обрабатывается на одной позиции. Приспособленность к выпуску новых изделий осуществляется за счет изменения рабочего состояния системы. Гибкая предметная форма организации производства характеризуется возможностью автоматической обработки деталей в пределах определенной номенклатуры без прерывания на переналадку. Переход к выпуску новых изделий осуществляется путем переналаживания технических средств, перепрограммирования системы управления. Гибкая предметная форма охватывает область последовательной и параллельно-последовательной передачи предметов труда в сочетании с комбинированной пространственной структурой.
Гибкая прямолинейная форма организации производства характеризуется быстрой переналадкой на обработку новых деталей в пределах заданной номенклатуры путем замены инструментальной оснастки и приспособлений, перепрограммирования системы управления. Она основана на рядном расположении оборудования, строго соответствующем технологическому процессу с поштучной передачей предметов труда.
Развитие форм организации производства в современных условиях Под влиянием научно-технического прогресса в технике и технологии машиностроения происходят существенные изменения, обусловленные механизацией и автоматизацией производственных процессов. Это создает объективные предпосылки развития новых форм организации производства. Одной из таких форм, получившей применение при внедрении средств гибкой автоматизации в производственный процесс, является блочно-модульная форма.
Создание производств с блочно-модульной формой организации производства осуществляется путем концентрации на участке всего комплекса технологического оборудования, необходимого для непрерывного производства ограниченной номенклатуры изделий, и объединения группы рабочих на выпуске конечной продукции с передачей им части функций по планированию и управлению производством на участке. Экономической основой создания таких производств являются коллективные формы организации труда. Работа в этом случае строится на принципах самоуправления и коллективной ответственности за результаты труда. Основными требованиями, предъявляемыми к организации процесса производства и труда в этом случае, являются: создание автономной системы технического и инструментального обслуживания производства; достижение непрерывности процесса производства на основе расчета рациональной потребности в ресурсах с указанием интервалов и сроков поставок; обеспечение сопряженности по мощности механообрабатывающих и сборочных подразделений; учет установленных норм управляемости при определении количества работающих; подбор группы работающих с учетом полной взаимозаменяемости. Реализация указанных требований возможна только при комплексном решении вопросов организации труда, производства и управления. Переход к блочно-модульной форме организации производства проводится в несколько этапов. На этапе предпроектного обследования принимается решение о целесообразности создания таких подразделений в данных производственных условиях. Проводится анализ конструктивно-технологической однородности продукции и дается оценка возможности комплектации "семейств" деталей для обработки в рамках производственной ячейки. Затем определяется возможность концентрации всего комплекса технологических операций по выпуску группы деталей на одном участке; устанавливается число рабочих мест, приспособленных для внедрения групповой обработки деталей; определяются состав и содержание основных требований к организации процесса производства и труда, исходя из намеченного уровня автоматизации.
На стадии структурного проектирования определяются состав и взаимосвязи основных компонентов производственного процесса.
На стадии организационно-экономического проектирования объединяются технические и организационные решения, намечаются пути реализации принципов коллективного подряда и самоуправления в автономных бригадах. Вторым направлением развития форм организации производства является переход на сборку сложных агрегатов стендовым методом, отказ от конвейерной сборки за счет организации мини-потока. Впервые мини-поток был внедрен шведской автомобильной фирмой "Вольво".
Производство здесь организовано следующим образом. Весь процесс сборки разделен на несколько крупных этапов. На каждом этапе действуют рабочие группы по 15-25 сборщиков. Бригада располагается вдоль внешних стен четырех- или пятиугольника, внутри которого расположены кассы с необходимыми на данном этапе сборки деталями. Машины собираются на самодвижущихся платформах, передвигаясь по укрупненным операциям в пределах заданного этапа. Каждый рабочий полностью завершает свою операцию. Принцип потока при такой системе сборки полностью сохраняется, так как общее число одинаковых параллельно работающих стендов такое, что выдерживается средний заданный такт потока. За движением платформ с собираемыми машинами с одного этапа сборки на другой следит диспетчерская служба с помощью четырех ЭВМ.
Другим решением организации поточного производства является сохранение конвейерной системы с включением в нее и подготовительных операций. В таком случае сборщики по собственному усмотрению работают то на основных, то на подготовительных операциях. Указанные подходы в развитии поточной формы организации производства не только обеспечивают рост производительности труда и повышение качества, но и дают сборщикам чувство удовлетворения от работы, исключают монотонность труда.
Методы организации производства. Методы организации производства представляют собой совокупность способов, приемов и правил рационального сочетания основных элементов производственного процесса в пространстве и во времени на стадиях функционирования, проектирования и совершенствования организации производства.
Метод организации индивидуального производства используется в условиях единичного выпуска продукции или ее производства малыми сериями и предполагает: отсутствие специализации на рабочих местах; применение широкоуниверсального оборудования, расположение его группами по функциональному назначению; последовательное перемещение деталей с операции на операцию партиями. Условия обслуживания рабочих мест отличаются тем, что рабочие почти постоянно пользуются одним набором инструментов и небольшим количеством универсальных приспособлений, требуется лишь периодическая замена затупившегося или изношенного инструмента. В противоположность этому подвозка деталей к рабочим местам и оправка деталей при выдаче новой и приемке законченной работы происходят несколько раз в течение смены. Поэтому возникает необходимость в гибкой организации транспортного обслуживания рабочих мест.
Рассмотрим основные стадии организации индивидуального производства.
Определение типов и количества станков, необходимых для выполнения заданной производственной программы. При организации индивидуального производства точно установить номенклатуру выпускаемой продукции трудно, поэтому допустимы приближенные расчеты потребного количества станков. В основу расчета закладываются следующие показатели: съем продукции с единицы оборудования q; число станко-часов, необходимое для обработки комплекта деталей на одно изделие h. Точность укрупненных расчетов зависит от того, насколько верно определены значения указанных показателей. Расчетное количество станков Sр определяется по формуле

(4.2)
где Sp j - расчетное количество станков по j-й группе оборудования;
Q - годовой объем выпуска продукции, шт.; Kсм j - коэффициент сменности работы по j-й группе оборудования; Fэ j - эффективный фонд рабочего времени одного станка j-й группы.

(4.3)
где tp - нормативные затраты времени на ремонт данного оборудования, % к номинальному фонду; tп - нормативные затраты времени на наладку, переналадку, передислокацию этого оборудования, % к номинальному фонду.
Номинальный фонд времени работы станка зависит от числа календарных дней Д к и нерабочих дней в году Д н, принятого режима сменности работы в сутки и определяется по формуле

(4.4)
где Тчс - среднее число часов работы станка в сутки по принятому режиму сменности.
Принятое количество станков по каждой группе оборудования устанавливается путем округления полученного значения до целого так, чтобы общее количество станков не выходило за пределы принятого их числа.
Коэффициент загрузки оборудования определяется отношением расчетного количества станков к принятому.
Согласование пропускной способности отдельных участков по мощности. Производственная мощность участка, оснащенного однотипным оборудованием, определяется следующим образом:

(4.5)
где Sпр - принятое количество оборудования; Кн.см - нормативный коэффициент сменности работы оборудования; К - коэффициент выполнения норм, достигнутый в базисном году по участку (цеху); Стр - плановое задание по снижению трудоемкости, нормо-ч.
Нормативный коэффициент сменности работы оборудования определяется исходя из загрузки установленного оборудования, как правило, при двухсменном режиме работы с учетом нормативного коэффициента, учитывающего время пребывания станков в ремонте.
Сопряженность отдельных участков по мощности определяется по формуле

(4.6)
где Км - коэффициент сопряженности участков по мощности; Му1, Му2 - мощности сравниваемых участков (продукция 1-го участка используется для изготовления единицы продукции 2-го участка); У1 - удельный расход продукции 1-го подразделения.
Организация рабочего места. Особенности организации и обслуживания рабочих мест заключаются в следующем: наладка станка перед началом работы, а также установка инструмента на рабочих местах осуществляется самими рабочими, при этом рабочие места должны быть оснащены всем необходимым для обеспечения непрерывной работы; транспортировка деталей должна осуществляться без задержек, на рабочих местах не должно быть излишнего запаса заготовок.
Разработка планировки участков. Для индивидуального производства характерна планировка участков по видам работ. В этом случае создаются участки однородных станков: токарные, фрезерные и др. Последовательность расположения участков на площади цеха определяется маршрутом обработки большинства типов деталей. Планировка должна обеспечивать перемещение деталей на малые расстояния и только в направлении, которое ведет к завершению изготовления изделия.
Метод организации поточного производства используется при изготовлении изделий одного наименования или конструктивного ряда и предполагает совокупность следующих специальных приемов организационного построения производственного процесса: расположение рабочих мест по ходу технологического процесса; специализацию каждого рабочего места на выполнении одной из операций; передачу предметов труда с операции на операцию поштучно или мелкими партиями сразу же после окончания обработки; ритмичность выпуска, синхронность операций; детальную проработку организации технического обслуживания рабочих мест.
Поточный метод организации можно применять при соблюдении следующих условий:
- объем выпуска продукции достаточно большой и не изменяется в течение длительного периода времени;
- конструкция изделия технологична, отдельные узлы и детали транспортабельны, изделия можно делить на конструктивносборочные единицы, что особенно важно для организации потока на сборке;
- затраты времени по операциям могут быть установлены с достаточной точностью, синхронизированы и сведены к единой величине; обеспечивается непрерывная подача к рабочим местам материалов, деталей, сборочных узлов; возможна полная загрузка оборудования.
Организация поточного производства связана с проведением ряда расчетов и подготовительных работ. Исходным моментом при проектировании поточного производства является определение объема выпуска продукции и такта потока. Такт - это промежуток времени между запуском (или выпуском) двух смежных изделий на линии. Он определяется по формуле

(4.7)
где Fд - действительный фонд времени работы линии за определенный период (месяц, сутки, смену) с учетом потерь на ремонт оборудования и регламентированных перерывов, мин; N3 - программа запуска за тот же период времени, шт.
Величина, обратная такту, называется темпом работы линии. При организации поточного производства необходимо обеспечить такой темп, чтобы выполнить план по выпуску продукции.
Следующим этапом в организации поточного производства является определение потребности в оборудовании. Расчет количества оборудования осуществляется исходя из числа рабочих мест по операциям процесса:

(4.8)
где Сpi - расчетное число рабочих мест на одной операции процесса; ti - норма времени на операцию с учетом установки, транспортировки и снятия деталей, мин.
Принятое число рабочих мест Спрi определяется округлением расчетного количества до ближайшего целого числа. При этом учитывается, что на стадии проектирования допускается перегрузка в пределах 10-12% на каждое рабочее место.
Коэффициент загрузки рабочих мест Кз определяется по формуле

(4.9)
Для обеспечения полной загрузки оборудования и непрерывности производственного процесса при поточном производстве осуществляется синхронизация (выравнивание) операций во времени.
Способы синхронизации операций на металлорежущих станках
Рационализация метода обработки. Во многих случаях можно повысить производительность станка за счет: изменения режимов резания, направленного на уменьшение машинного времени; одновременной обработки нескольких деталей; устранения дополнительных затрат времени на вспомогательные перемещения рабочих органов станка и др.
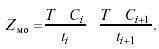
Создание межоперационных заделов и использование малопроизводительного оборудования в дополнительную смену. Данный способ синхронизации связан с поиском дополнительных площадей и увеличением размера незавершенного производства. Величина межоперационного задела Zмо равняется разности выработки на смежных операциях за период времени Т, его максимальная величина может быть рассчитана по формуле

(4.10)
где Т - период работы на смежных операциях при неизменном числе работающих станков, мин; Ci, Ci +1 - число единиц оборудования, занятого на смежных операциях в течение периода T; ti, ti +1 - нормы времени на смежных операциях.
Переброска части обрабатываемых деталей на другие станки, не входящие в состав линии. Если на поточной линии возможно скопление деталей из-за превышения длительности такта, их целесообразно обрабатывать на другом станке за пределами данного участка. Этот станок следует расположить таким образом, чтобы он обслуживал не одну, а две или три поточные линии. Такая организация поточного производства целесообразна при условии, что станок достаточно производительный и время, затрачиваемое на его переналадку, невелико.
Способы синхронизации сборочных операций. Дифференциацияопераций. Если операционная норма времени больше и не кратна такту и процесс сборки легко поддается дифференциации, выравнивать время, затрачиваемое на каждую операцию, можно путем разбиения ее на более мелкие части (переходы).
Концентрация операций. Если операция по длительности меньше такта, мелкие операции или переходы, запроектированные в других операциях, группируются в одну.
Комбинирование операций. Если время выполнения двух смежных операций меньше такта работы сборочной линии, можно организовать передвижение рабочего вместе с собираемым им изделием, поручив ему выполнение нескольких операций. После того как достигнута синхронизация операций на поточной линии, составляется план-график ее работы, облегчающий контроль за использованием оборудования и рабочих. Правила построения плана-графика работы линии изложены в 12.6.
Одно из основных условий непрерывной и ритмичной работы поточных линий - организация межоперационного транспорта.
В поточном производстве транспортные средства не только используются для перемещения изделий, но и служат для регулирования такта работы и распределения предметов труда между параллельными рабочими местами на линии.
Применяемые в поточном производстве транспортные средства можно разделить на приводные и бесприводные непрерывного и прерывного действия.
Наиболее часто в условиях потока применяются разнообразные приводные транспортные средства-конвейеры.
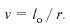
Скорость ленты конвейера при непрерывном движении рассчитывается в соответствии с тактом поточной линии:

(4.11)
В случае прерывного движения скорость конвейера определяется по формуле

(4.12)
где lo - расстояние между центрами двух смежных рабочих мест (шаг конвейера), м; tтр - время транспортирования изделия с одной операций на другую, мин.
Выбор транспортных средств зависит от габаритных размеров, веса обрабатываемых деталей, типа и числа оборудования, величины такта и степени синхронизации операций.
Проектирование потока завершается разработкой рациональной планировки линии. При планировке необходимо соблюдать следующие требования: предусмотреть удобные подходы к рабочим местам для ремонта и обслуживания линии; обеспечить непрерывную транспортировку деталей к различным рабочим местам на линии; выделить площадки для накопления задела и подходы к ним; предусмотреть на линии рабочие места для выполнения контрольных операций.
Метод групповой организации производства применяется в случае ограниченной номенклатуры конструктивно и технологически однородных изделий, изготовляемых повторяющимися партиями. Суть метода состоит в сосредоточении на участке различных видов технологического оборудования для обработки группы деталей по унифицированному технологическому процессу.
Характерными признаками такой организации производства являются: подетальная специализация производственных подразделений; запуск деталей в производство партиями по специально разрабатываемым графикам; параллельно-последовательное прохождение партий деталей по операциям; выполнение на участках (в цехах) технологически завершенного комплекса работ.
Рассмотрим основные этапы организации группового производства. Конструктивно-технологическая классификация деталей. Несмотря на многообразие и различие конструкций, детали машин имеют много сходных конструктивных, размерных и технологических признаков. Пользуясь определенной системой, можно выявить эти общие признаки и объединить детали в определенные группы. Объединяющими качествами в группе могут быть общность применяемого оборудования и технологического процесса, однотипность оснастки.
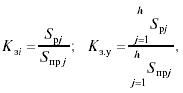
Окончательное комплектование групп деталей, закрепленных за данным участком, осуществляется с учетом трудоемкости и объема их выпуска по показателю относительной трудоемкости Кд:

(4.13)
где Ni - объем выпуска i-й детали в плановом периоде, шт.; koi число операций по технологическому процессу обработки 1-й детали; tшт ij - штучное время обработки i-й детали по j-й операции, мин; Квj - средний коэффициент выполнения норм времени.
Указанный показатель рассчитывается по каждой детали анализируемой совокупности. Установление суммарных показателей для деталей последней ступени классификации обеспечивает синтез их в группы по принятому признаку.
Определение потребности в оборудовании. Необходимо оценить требуемое число единиц оборудования по каждой группе на годовую программу выпуска по формуле (4.1).
Принятое количество станков устанавливают путем округления полученного значения Spi до целого. При этом допускается 10%-ная перегрузка в расчете на один станок.
Рассчитывают средние коэффициенты загрузки оборудования по группам Кзj и участку в целом Кз.у:

(4.14)
где Sпрj - принятое число станков; h - число групп оборудования на участке.
Для обеспечения экономически целесообразной загрузки ее устанавливают с учетом внутриучастковой, а по уникальным и специальным станкам межучастковой кооперации - путем передачи некоторой части работ с недогруженных станков на станки смежных групп.
Определение числа производственных участков. В соответствии с количеством станков в цехе определяется число создаваемых в нем участков исходя из нормы управляемости для мастеров.
При реорганизации действующих цехов количество организуемых участков можно определить по формуле

(4.15)

(4.16)
где Ря - явочное число основных рабочих, чел.; См - режим сменности работы; Ну - норма управляемости для мастера, выражаемая числом обслуживаемых им рабочих мест; Ср - средний разряд работ на участке; Кз.о - среднее число операций, закрепленных за одним рабочим местом участка в течение месяца.
При проектировании новых цехов в связи с отсутствием данных о явочном числе основных рабочих количество участков определяется следующим образом:

(4.17)
Определение степени замкнутости производственных участков. На основе анализа конструктивно-технологической классификации и показателей Кд осуществляют отбор и закрепление деталей за участками. Эффективность группового производства определяется степенью замкнутости производственных участков.
Участок является замкнутым, если на нем выполняются все операции по обработке групп деталей (технологическая замкнутость) и станки не загружены выполнением работ по кооперации с других участков (производственная замкнутость).
Количественная оценка степени замкнутости определяется с помощью показателей:

(4.18)

(4.19)
где Кт.з - коэффициент технологической замкнутости; ТS - трудоемкость изготовления деталей, закрепленных за участком, ч; Твi - время обработки i-й детали за пределами участка, ч;
k - число деталей, цикл обработки которых не завершаетсяна данном участке; Кп.з - коэффициент производственной замкнутости; Tni - время обработки i-й детали, изготовляемой на участке по кооперации; m - количество деталей, переданных для обработки на данный участок по межучастковой кооперации.
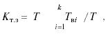
Интегральный показатель степени замкнутости Кинт рассчитывается по формуле

(4.20)
При Кинт = 1 применение методов группового производства наиболее эффективно.
Разработка маршрутной карты производственного процесса. Маршрутная карта представляет собой графическое изображение последовательности всех операций, включая перемещение материалов и их ожидание.
Разработка планировки цеха (участка). Планировка цеха (участка) составляется с учетом общего направления движения материалов. Необходимые данные берут из маршрутной карты производственного процесса. Расстановка оборудования производится по существующим нормативам с максимальным соблюдением прямоточности.
Метод организации синхронизированного производства. Основные принципы организации синхронизированного производства разработаны в 60-е годы в японской компания "Toyota". Метод синхронизированного производства интегрирует ряд традиционных функций организации производственных процессов: оперативного планирования, контроля складских запасов, управления качеством продукции. Суть метода в отказе от производства продукции крупными партиями и создании непрерывно-поточного многопредметного производства, в котором на всех стадиях производственного цикла требуемый узел или деталь поставляется к месту последующей операции точно в необходимое время.
Поставленная цель реализуется путем создания групповых, многопредметных поточных линий и использования принципа вытягивания в управлении ходом производства. Основными правилами организации производственного процесса в этом случае являются:
- изготовление продукции мелкими партиями;
- формирование серий деталей и применение групповой технологии в целях сокращения времени наладки оборудования;
- преобразование кладовых материалов и полуфабрикатов в буферные склады;
- переход от цеховой структуры производства к предметноспециализированным подразделениям;
- передача функций управления непосредственно исполнителям.
Особое значение имеет использование принципа вытягивания в управлени
При традиционной системе деталь переходит с одного участка на другой (следующий по технологическому процессу) и далее на склад готовой продукции. Такой метод организации производства позволяет задействовать рабочих и оборудование независимо от того, есть ли спрос на данный вид изделий. Напротив, при системе "точно вовремя" план-график выпуска устанавливается только для сборочного участка. Ни одна деталь не изготавливается до того, как возникает потребность в ней на окончательной сборке. Таким образом, сборочный участок определяет количество и порядок запуска деталей в производство.
Управление ходом производственного процесса осуществляется по следующим принципам: объем, номенклатура и сроки выполнения задания определяются участком (рабочим местом) последующей ступени производства; ритм выпуска задается участком, замыкающим производственный процесс; возобновление цикла изготовления на участке начинается лишь в том случае, если получен соответствующий заказ; рабочий с учетом сроков сдачи деталей (сборочных единиц) заказывает такое количество заготовок (комплектующих), которое необходимо для выполнения полученного задания; доставка комплектующих (деталей, сборочных единиц) к рабочему месту осуществляется в сроки и в количествах, установленных в заявке; комплектующие, узлы и детали подаются к моменту сборки, отдельные детали - к моменту сборки узлов; необходимые заготовки - к началу изготовления деталей; за пределы участка передается только годная продукция.
Функции оперативного управления производственным процессом передаются непосредственным исполнителям. В качестве средства передачи информации о потребностях в деталях используется карта "канбан".
На рис. 4.4 показана схема организации синхронизированного производства. Движение контейнеров с деталями и карт "канбан" между участками обозначено на схеме стрелками и описано ниже.
Например, обеспечение участка шлифовки заготовками осуществляется в следующем порядке.
Как только заканчивается обработка очередной партии деталей на участке шлифовки, освободившийся контейнер с картой расхода поступает на промежуточный склад.
На складе сопровождающая контейнер карта расхода снимается, помещается в специальный ящик - коллектор, а контейнер с прикрепленной к нему производственной картой подается на участок сверления.
Производственная карта служит сигналом к началу производства. Она выполняет роль наряда, на основе которого изготавливаются детали в необходимом количестве.
Детали для каждого выполненного заказа загружают в пустой контейнер, к нему прикрепляется производственная карта, и полный контейнер отправляется к месту промежуточного хранения.
С промежуточного склада контейнер с заготовками и картой расхода, которая прикрепляется вместо производственной карты, поступает на участок шлифовки.
Эффективность действия системы с использованием карт "канбан" обеспечивается соблюдением следующих правил:
изготовление деталей начинается лишь в том случае, если получена производственная карта. Лучше допустить приостановку производства, чем изготавливать детали, в которых нет необходимости;
на каждый контейнер приходятся только одна транспортировочная и одна производственная карты, число контейнеров по каждому типу деталей определяется в результате расчетов.
Метод синхронизированного производства предполагает внедрение системы комплексного управления качеством, которая основывается на соблюдении определенных принципов, включающих: контроль производственного процесса; наглядность результатов измерения показателей качества; соблюдение требований к качеству; самостоятельное исправление брака; проверка 100% изделий; постоянное повышение качества.
Проверка качества в ходе производства в соответствии с указанными принципами ведется на всех этапах производственного процесса, на каждом рабочем месте.
Для обеспечения наглядности результатов измерения показателей качества создаются специальные стенды. Они поясняют рабочему, администрации, какие показатели качества проверяются, каковы текущие результаты проверки, какие мероприятия по повышению качества разрабатываются и находятся в процессе внедрения, кто получил премии за качество и т. д. В этом случае задача обеспечения качества стоит на первом месте, а выполнение плана производства - на втором.
Меняются роли отделов и других подразделений технического контроля, их полномочия, круг решаемых задач, методы. Ответственность за качество перераспределяется и становится всеобщей: каждая организационная единица в пределах своей компетенции отвечает за обеспечение качества. При этом главная ответственность ложится на самих изготовителей продукции.
Для ликвидации дефектов и обеспечения качества допускается приостановка производственного процесса. Так, на заводе "Кавасаки" в США сборочные линии снабжены красными и желтыми сигнальными лампами. При возникновении трудностей рабочий включает желтый сигнал. Если дефект достаточно серьезный и требуется остановка линии, он зажигает красный сигнал.
Брак исправляется рабочими или бригадой, которая его допустила, самостоятельно. Контролю подлежит каждое готовое изделие, а не выборка из партии, и там, где это возможно, - комплектующие узлы и детали.
Последний принцип - поэтапное улучшение качества продукции. Задача состоит в разработке и реализации проектов улучшения качества на каждом производственном участке. В разработке таких проектов принимает участие весь персонал, включая специалистов отдельных служб. Обеспечение качества работы и достижение непрерывности производственного процесса в условиях синхронизированного производства происходят за счет профилактического обслуживания оборудования, которое включает регистрацию характера эксплуатации каждого станка, тщательное определение потребности в профилактике и частоты ее проведения.

Рис. 4.4. Схема организации синхронизированного производства: I - маршрутная схема производственного процесса; II - схема движения контейнеров с картами "канбан"
Ежедневно рабочий-станочник совершает ряд операций по проверке своего оборудования. Началу рабочего дня предшествуют смазка, отладка станка, закрепление и заточка инструментов. Поддержание порядка на рабочем месте рассматривается как обязательное условие качественной работы. В отечественном машиностроении реализация принципов, положенных в основу метода синхронизированного производства, возможна несколькими этапами.
Первый этап. Создание условий, позволяющих обеспечить бесперебойное снабжение производства необходимыми материалами.
Второй этап. Организация запуска деталей в производство партиями, размер которых определяется потребностями сборки, исходя из трех- или пятидневного выпуска изделий.
Система оперативного планирования в этом случае максимально упрощается. Цеху (участку, бригаде) устанавливается задание: количество, наименование деталей, которые должны быть изготовлены в ту или иную пятидневку или трехдневку. Размеры партий с учетом применяемости деталей и пяти- или трехдневного выпуска машин определяет производственно-диспетчерское бюро (ПДБ) цеха. Порядок запуска и выпуска определяют мастер, бригада. Диспетчерская служба принимает и учитывает только те комплекты деталей, которые предусмотрены к сдаче в этот период. Так же закрываются к оплате наряды. График может быть дополнен аварийными требованиями, обусловленными браком или другими причинами. Уменьшение размера партий может привести к потерям в производительности труда, что отразится на заработной плате рабочих. Поэтому временно может быть предложен повышающий коэффициент к расценке.
Третий этап. Организация работы по принципу: "За качество отвечают рабочий, бригада, цех. Личное клеймо - каждому рабочему".
Четвертый этап. Введение порядка, при котором рабочий занят выполнением своей основной работы при условии, что в ней есть необходимость. В противном случае его надо использовать там, где имеется дефицит рабочей силы.
Если задание не выполнено, рабочий или бригада выполняют его в сверхурочное время. Каждый случай срыва задания должен быть проанализирован с обязательным участием рабочего, бригады, руководителя цеха и конкретных виновников.