Одним из факторов успешного развития розничного товарооборота являются обеспеченность трудовыми ресурсами, правильность установления режима труда, эффективность использования рабочего времени, рост производительности труда. Анализ влияния трудовых ресурсов на торговую деятельность обычно начинают с изучения обеспеченности ими розничного торгового предприятия, укомплектованности штатов продавцов, кассиров, контролеров, других работников и эффективности использования рабочего времени. Если по отдельным категориям работников фактическая численность значительно ниже плановой, то выясняют причины и принимают меры по укомплектованию штатов и повышению эффективности их труда. На торговых предприятиях нередко недоукомплектованы штаты рабочих, грузчиков, уборщиц и некоторых других работников, что требует изыскания и использования резервов механизации и автоматизации уборки помещений, выполнения транспортных и других трудоемких работ, тем более что уровень механизации труда в розничной торговле не превышает 20 %. Также изучают качественный состав работников (обеспеченность специалистами с высшим и средним специальным образованием, стаж работы, в том числе на данном предприятии, возраст и т.п.). Проверяют правильность распределения продавцов по категориям в соответствии со штатами и производственной необходимостью.
В розничной торговле производительность труда в стоимостном выражении характеризуется выработкой (суммой товарооборота) на одного торгового работника и выработкой на одного торгово-оперативного работника. Применив прием абсолютных разниц, можно количественно измерить влияние изменения среднесписочной численности работников и их выработки на выполнение плана товарооборота.
Для этого отклонение от плана по численности торгово-оперативных работников умножают на плановую их выработку, а отклонение от плана по выработке — на фактическую среднесписочную численность торгово-оперативных работников. Аналогичным приемом изучают влияние трудовых факторов на динамику розничного товарооборота (отклонение от данных прошлого года по численности торгово-оперативных работников умножают на фактическую их выработку за прошлый период, а отклонение в динамике по выработке торгово-оперативных работников умножают на фактическую среднесписочную их численность отчетного года).
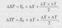
Выработка работников торговли в стоимостном выражении во многом зависит от изменения розничных цен на товары. При повышении розничных цен растет товарооборот, а следовательно, и производительность труда торговых работников в стоимостном выражении. Для измерения влияния ценового фактора на выработку торговых работников необходимо ее рассчитать к фактическому товарообороту за отчетный год в действующих и сопоставимых ценах и сравнить полученные результаты. Приемы элиминирования (цепных подстановок, абсолютных и относительных разниц) имеют один существенный недостаток: при значительных отклонениях фактических данных от базисных результаты расчетов во многом зависят от последовательности подстановок. В связи с этим при больших отклонениях от плана или в динамике по анализируемым показателям целесообразно применять интегральный метод, который обеспечивает большую репрезентативность расчетов. Если на результатный показатель оказали влияние два фактора — количественный (X) и качественный (Y), то их влияние можно измерить методом интегрирования по следующим формулам:

где ∆XF — изменение результативного показателя за счет изменения фактора X; ∆YF — изменение результативного показателя за счет изменения фактора Y; ∆ Х и ∆Y — отклонение фактических данных отчетного периода от базисных (плановых или фактических за прошлый период) по изучаемым факторам; X0 и Y0— базисные значения факторов Х и Y.
Приемом абсолютных разниц или приемом цепных подстановок можно измерить влияние трудовых факторов на выполнение плана и динамику товарооборота отдельных магазинов, их филиалов и других структурных подразделений торгового предприятия (путем составления специальных аналитических таблиц и расчетов).
Среднегодовую выработку на одного торгового работника можно представить как произведение среднечасовой их выработки на среднюю продолжительность рабочего дня и на среднее число дней, отработанных одним работником за год. Отсюда можно определить влияние на выполнение плана и динамику розничного товарооборота четырех трудовых факторов: 1) среднесписочной численности торговых работников; 2) среднего количества дней, отработанных одним торговым работником за год; 3) средней продолжительности рабочего дня; 4) среднечасовой выработки на одного торгового работника.
Так как реализацию товаров осуществляют торгово-оперативные работники, то выработка торговых работников находится в прямой зависимости от изменения производительности труда торгово-оперативных работников и их доли в общей численности торговых работников Для оценки уровня затрат труда в торговле может применяться показатель численности торговых работников в расчете на один миллион рублей товарооборота. Этот показатель используют для изучения влияния на рост товарооборота повышения производительности труда, когда увеличение товарооборота обеспечено при сокращении численности работающих. Сравнение фактических данных отчетного периода с плановыми, а также с фактическими данными прошлого периода по показателю численности торговых работников в расчете на один миллион товарооборота покажет, как изменился уровень затрат труда в торговле и в каком размере прирост товарооборота обеспечен за счет повышения эффективности труда.
Используя данные плана, бухгалтерского и статистического учета и отчетности по труду, проводят анализ эффективности использования календарного времени. В частности, выявляют потери рабочего времени по болезни и другим причинам (в целом по торговому предприятию и в расчете на одного работающего). Для измерения влияния роста целодневных потерь рабочего времени на выполнение плана розничного товарооборота необходимо сверхплановое их количество умножить на плановую среднедневную выработку на одного торгового работника. Аналогичным приемом измеряют влияние целодневных потерь рабочего времени на динамику товарооборота.
Далее проводят анализ режима труда и рациональности использования рабочего времени. Исследования показывают, что торгово-оперативные работники только около 2/3 своего рабочего времени используют на выполнение основных функций, а остальное время заняты вспомогательными операциями или простаивают. Повышения эффективности труда можно добиться путем разделения труда, совмещения профессий, должностей, функций, расширения зон обслуживания, сокращения текучести кадров, привлечения на работу лиц на неполный рабочий день (особенно в часы пик), внедрения достижений научно-технического прогресса, научной организации труда, самообслуживания, других прогрессивных форм торговли, ленточного графика выхода на работу, совершенствования оплаты труда и т.п.
Значительного повышения производительности труда можно достичь за счет сокращения и предупреждения текучести кадров. Социологические исследования показывают, что после принятия решения об увольнении у работника снижается интерес к работе, падает производительность труда. В первый месяц работы на новом месте даже по той же специальности у него выработка ниже на 25—30 %, чем на прежнем месте работы; значительно ниже производительность труда и в последующие месяцы работы. Кроме того, на прием на новую работу уходит в среднем 20—25 дней, а в условиях формирования рыночных отношений и того больше, В процессе анализа необходимо установить, какая проводится работа по закреплению кадров, изучить состояние трудовой дисциплины и дать оценку текучести рабочей силы. По данным текущего учета, отчетности по труду и прогнозов устанавливают, сколько принято и уволено работников, в том числе по сокращению штатов и в связи с ликвидацией предприятия сколько работников намечено к высвобождению в ближайшие месяцы. Одновременно определяют количество свободных рабочих мест (требуемых работников) на конец отчетного периода и число дополнительных рабочих мест (работников), предполагаемых к введению в ближайшие месяцы. Эта информация позволяет дать оценку наличию и тенденциям развития безработицы на торговом предприятии и разработать меры по ее предупреждению, закрепленности кадров.
При изучении движения рабочей силы и текучести кадров рассчитывают ряд коэффициентов. К ним относятся: коэффициенты по приему и увольнению, определяемые отношением количества принятых (или уволенных) работников к среднесписочной их численности; коэффициент текучести кадров, представляющий собой отношение количества уволенных работников за нарушения трудовой дисциплины, правил торговли, по собственному желанию из-за неудовлетворенности работой и бытовыми условиями и по сокращению штатов (в связи с безработицей, ликвидацией предприятия и т.д.) к среднесписочной их численности; коэффициент по безработице, определяемый отношением уволенных работников по сокращению штатов и в связи с ликвидацией предприятия к среднесписочной численности работающих; коэффициент общего оборота рабочей силы, исчисляемый отношением принятых и уволенных работников к среднесписочной их численности. Для оценки постоянства кадров определяют долю работников, состоящих в списочном составе в течение года.
Закрепление кадров, увеличение стажа работы положительно сказывается на повышении квалификации и производственных навыков работников, что в конечном итоге ведет к росту производительности труда и улучшению других показателей хозяйственной деятельности предприятия. В связи с этим необходимо по отдельным группам работников изучить их возрастной состав,
стаж работы, в том числе на данном предприятии, условия труда и определить, как это отражается на производительности труда. Это можно сделать, использую приемы сравнения, группировок, корреляции, регрессии, другие экономико-математические методы исследования.
Производительность труда торговых работников определяется техническими, технологическими, организационными, экономическими и социальными факторами. Комплексное и глубокое их изучение позволяет полнее выявить и реализовать резервы повышения эффективности труда. Так как в розничной торговле выработка на одного работника обычно исчисляется в стоимостном выражении, то на ее размер оказывает влияние изменение розничных цен на товары. При повышении розничных цен выработка (объем товарооборота на одного работника) растет, хотя в действительности эффективность труда торговых работников не изменяется. И наоборот, при снижении розничных цен выработка торговых работников в стоимостном выражении уменьшается. Для измерения влияния ценового фактора на производительность труда торговых работников необходимо определить их выработку к товарообороту в действующих и сопоставимых ценах и сравнить полученные результаты.
Большое влияние на производительность труда торговых работников оказывает изменение структуры розничного товарооборота. Если в товарообороте увеличивается доля товаров, требующих меньших трудовых затрат на их реализацию, то за счет этого фактора выработка торговых работников растет, и наоборот Влияние изменения структуры розничного товарооборота на производительность труда торговых работников можно измерить способом процентных чисел с применением приема абсолютных разниц, если известим потоварные нормы выработки. В настоящее время в розничной торговле таких данных нет.
Уровень производительности труда зависит от изменения доли в общей численности работающих административно-управленче
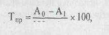
ского персонала. Количественно измерить влияние этого фактора на темп изменения производительности труда можно по следующей формуле:
где Тпр — темп повышения или снижения производительности труда за счет изменения структуры численности торговых работников (изменения в ней доли административно-управленческого персонала), %; А0 — удельный вес административно-управленческого персонала в базисном периоде (по плану или фактически за прошлый период), %; А1 — то же в отчетном периоде.
Большое влияние на повышение производительности труда работников оказывает внедрение в практику достижений научно-технического прогресса. Так, при переходе на работу на суммирующих кассовых аппаратах кассиры освобождаются от подсчетов стоимости покупок, предупреждаются ошибки и примерно на 25 % повышается производительность их труда. Кроме того, улучшается работа узлов расчета и экономится время покупателей. При работе продавцов на электронных весах, указывающих цену и стоимость товара вместе с его весом, эффективность труда возрастает в 2,0—3,0 раза. Особенно значительный эффект дает применение для доставки товаров в магазины тары-оборудования (контейнеров). По подсчетам научно-исследовательских институтов, внедрение тары-оборудования в продовольственной торговле сокращает численность продавцов, контролеров и рабочих примерно на 25 %, заведующих отделами, секциями и их заместителей — на 10 %. Определенный эффект дает применение автоматов по продаже газированной воды, товарооборот каждого из них равен обороту сатураторной установки. В то же время только один работник обслуживает 8-10 таких автоматов. Внедрение в торговлю новейших машин и оборудования должно нацеливать на комплексную механизацию и автоматизацию торгово-технологических и производственных процессов. В перспективе, используя передовой опыт функционирования розничных торговых предприятий в странах с развитой рыночной экономикой, должны создаваться магазины-автоматы по продаже штучных и фасованных товаров.
Для обеспечения успешного функционирования, качественного обслуживания покупателей розничные торговые предприятия должны оснащаться персональными компьютерами, сканерами и другой современной техникой.
Влияние внедрения новой техники на определенном участке работы на повышение производительности труда работников торгового предприятия можно измерить при помощи следующей формулы:

где Тцр.общ — темп роста производительности труда всех работников торгового предприятия, %; Тпр.част — темп роста производительности труда определенной группы работников на основе внедрения научно-технического прогресса, %; Дд — удельный вес (доля) данной группы работников в обшей численности работников торгового предприятия.
Проводимые исследования показывают, что в связи с неравномерностью покупательских потоков потери рабочего времени у продавцов, кассиров и других торгово-оперативных работников составляют 50 % и более. Причем поток покупателей изменяется не только по часам, но и по дням недели. В этих условиях важное значение приобретает привлечение на работу в розничной торговле лиц с неполным рабочим днем. У лиц, работающих в режиме неполного рабочего дня, наблюдается более высокая среднечасовая производительность труда по сравнению с работниками, занятыми в режиме полного рабочего дня. Это объясняется, с одной стороны, тем, что нагрузка на одного торгово-оперативного работника в часы пик выше, чем в обычные часы торговли. С другой стороны, работники, работающие с неполным рабочим днем, заканчивают выполнение своих трудовых обязанностей еще до того, как достигнут такого состояния усталости, когда в конце рабочего дня значительно снижается производительность труда.