Механические колебания и волны.
Повторяющиеся движения или изменения состояния называют колебаниями (переменный электрический ток, движение маятника, работа сердца и т. п.). Всем колебаниям, независимо от их природы, присущи некоторые общие закономерности. В зависимости от характера взаимодействия колеблющейся системы с окружающими телами различают колебания свободные, вынужденные и автоколебания. Колебания распространяются в среде в виде волн. В данной главе рассматриваются механические колебания и волны.
Свободными (собственными) колебаниями называют такие, которые совершаются без внешних воздействий за счет первоначально полученной телом энергии. Характерными моделями таких механических колебаний являются материальная точка на пружине (пружинный маятник) и материальная точка на нерастяжимой нити (математический маятник).
В этих примерах колебания возникают либо за счет первоначальной потенциальной энергии (отклонение материальной точки от положения равновесия и движение без начальной скорости), либо за счет кинетической (телу сообщается скорость в начальном положении равновесия), либо за счет и той и другой энергии (сообщение скорости телу, отклоненному от положения равновесия). Рассмотрим пружинный маятник. В положении равновесия (рис. 5.1, а) упругая сила
уравновешивает силу тяжести
. Если оттянуть пружину на расстояние х (рис. 5.1, б), то на материальную точку будет действовать большая упругая сила. Изменение значения упругой силы (F), согласно закону Гука, пропорционально изменению длины пружины или смещению х точки:
|
|
|
F = -kx, (5.1)
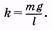
где k — коэффициент пропорциональности между силой и смещением, который в данном случае является жесткостью пружины; знак минус показывает, что сила всегда направлена в сторону положения равновесия: F < 0 при х > 0, F > 0 при х < 0.
Другой пример. Математический маятник (рис. 5.2) отклонен от положения равновесия на такой небольшой угол а, чтобы можно было считать траекторию движения материальной точки прямой линией, совпадающей с осью ОХ. При этом выполняется приближенное равенство:
(5.2)
где х — смещение материальной точки относительно положения равновесия, l — длина нити маятника.
На материальную точку (рис. 5.2) действуют сила натяжения нити
сила тяжести
, модуль их равнодействующей равен
(5.3)
где k — коэффициент пропорциональности между силой и смещением, который в данном случае равен
(5.4)
|
|
Сравнивая (5.3) и (5.1), видим, что в этом примере равнодействующая сила подобна упругой, так как пропорциональна смещению материальной точки и направлена к положению равновесия. Такие силы, неупругие по природе, но аналогичные по свойствам силам, возникающим при малых деформациях упругих тел, называют квазиупругими.
|
|
|
На материальные точки, рассмотренные в этих примерах, кроме упругой и квазиупругой силы действует и сила сопротивления (трения), модуль которой обозначим Fc (на рисунках не показана).
Дифференциальное уравнение, описывающее движение материальной точки, получаем на основании второго закона Ньютона (произведение массы тела на его ускорение равно сумме всех действующих сил):
(5.5)
Выражение для смещения материальной точки, которое получается из решения этого уравнения, рассмотрим для некоторых частных случаев.
Незатухающие колебания. Рассмотрим модель, в которой пренебрегают силой сопротивления (Fc = 0). Из (5.5) имеем:
. Заменяя
(5.6)
и преобразуя, получаем следующее дифференциальное уравнение второго порядка:
(5.7)
Его решение, в чем можно убедиться подстановкой, приводит к гармоническому колебанию:
(5.8)
где
— фаза колебаний, j0 — начальная фаза (при t = 0),
w0 — круговая частота колебаний, А — их амплитуда.
Амплитуда и начальная фаза колебаний определяются начальными условиями движения, т. е. положением и скоростью материальной точки в момент t = 0.
Среди различных видов колебаний гармоническое колебание является наиболее простой формой.
Таким образом, материальная точка, подвешенная на пружине (пружинный маятник) или нити (математический маятник), совершает гармонические колебания, если не учитывать силы сопротивления.
При преобразовании дифференциального уравнения гармонического колебания величина
была введена формально [см. (5.6)], однако она имеет важный физический смысл, так как определяет частоту колебаний
системы и показывает, от каких факторов (параметров) эта частота зависит: от жесткости пружины и массы в одном примере, длины нити и ускорения свободного падения в другом.
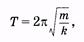
Период колебаний может быть найден из формулы
(5.9)
Используя (5.6), получаем период колебаний пружинного маятника
(5.10)
подставляя вместо k выражение (5.4), находим период колебаний математического маятника
(5.11)
Очень удобно изображать гармонические колебания с помощью векторных диаграмм. Этот метод состоит в следующем. Из начала оси абсцисс проведем вектор
(рис.5.3), проекция которого на ось ОХ равна Acos j. Если вектор
будет равномерно вращаться с угловой скоростью w0 против часовой стрелки, то
где
— начальное значение j, и проекция вектора
на ось ОХ будет изменяться со временем по закону (5.8). В таком представлении амплитуда колебаний есть модуль равномерно вращающегося вектора
, фаза колебаний — угол между вектором
и осью ОХ, начальная фаза — начальное значение этого угла, круговая частота колебаний — угловая скорость вращения вектора,
смещение х колеблющейся точки — проекция вектора
на ось ОХ.
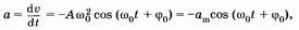
Чтобы найти скорость материальной точки при гармоническом колебании, нужно взять производную от выражения (5.8) по времени:

На основании тригонометрических формул преобразуем (5.12):
(5.13)
Сравнивая (5.13) и (5.8), замечаем, что фаза скорости на
больше фазы смещения, т. е. скорость опережает по фазе смещение на
Продифференцировав (5.12), найдем ускорение:
(5.14)
где
— максимальное ускорение (амплитуда ускорения).
Вместо (5.14) запишем
(5.15)
Из сравнения (5.15) и (5.8) следует, что фазы ускорения и смещения различаются на л, т. е. эти величины изменяются в противофазе. Графики зависимости смещения, скорости и ускорения от времени показаны на рис. 5.4, а их векторные диаграммы — на рис. 5.5.
|
|
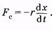
Затухающие колебания. В реальном случае на колеблющееся тело действуют силы сопротивления (трения), характер движения изменяется, и колебание становится затухающим. Для того чтобы из уравнения (5.5) найти временную зависимость затухающего колебания, необходимо знать, от каких параметров и как зависит сила сопротивления. Обычно предполагают, что при не очень больших амплитудах и частотах эта сила пропорциональна скорости движения и, естественно, направлена противоположно скорости:
, где r — коэффициент трения (сопротивления), характеризующий свойства среды оказывать сопротивление.
|
|
|
Применительно к одномерному движению последней формуле придадим следующий вид:
(5.16)
Подставим выражение (5.16) в уравнение (5.5) и получим:
(5.17)
Разделив обе части уравнения на т, запишем его в стандартной форме:
(5.18)
После замены
и
получаем окончательную запись дифференциального уравнения свободных колебаний с учетом сил сопротивления:
(5.19)
где b - коэффициент затухания, w0 – круговая частота собственных колебаний системы (без затухания).
Решение (5.19) существенно зависит от знака разности
, где w - круговая частота затухающих колебаний. При w2 - b2 > 0 круговая частота w является действительной величиной и решение уравнения (5.19) будет следующим:
(5.20)
График этой функции показан на рис. 5.6 сплошной кривой 1; штриховой линией 2 изображено изменение амплитуды:
(5.21)
где значение А 0 приведено на рисунке.
Период затухающих колебаний зависит от коэффициента трения и определяется формулой:
(5.22)
При очень малом трении
период затухающего колебания близок к периоду незатухающего свободного колебания:
Быстрота убывания амплитуды колебаний определяется коэффициентом затухания: чем сильнее тормозящее действие среды, тем больше b и тем быстрее уменьшается амплитуда. На практике, однако, степень затухания часто характеризуют логарифмическим декрементом затухания, понимая под этим величину, равную натуральному логарифму отношения двух последовательных амплитуд, разделенных интервалом времени, равным периоду колебаний:

|
|
следовательно, коэффициент затухания и логарифмический декремент затухания связаны достаточно простой зависимостью:
(5.23)
Рис. 5.6 Рис. 5.7
При сильном затухании (b2 > w2) из формулы (5.22) видно, что период колебания является мнимой величиной. Движение в этом случае уже не будет периодическим и называется апериодическим*.
|
|
|
Возможные апериодические движения представлены в виде графиков на рис. 5.7. Этот случай применительно к электрическим явлениям рассматривается в гл. 14.
* Заметим, что если некоторая физическая величина принимает мнимые значения, то это означает какую-то необычность, экстраординарность соответствующего явления. В рассмотренном примере экстраординарность заключается в том, что процесс перестает быть периодическим.