§ 4.1. Переменный ток, получение, параметры.
Переменным называется периодический ток, значения которого повторяются через определенные промежутки времени, называемые периодом. Период (Т, секунды) одного полного колебания.

Рис.4-1. Модель генератора переменного тока.

Рис.4-2. График синусоидального тока.
Источником силовых линий магнитного поля является постоянный магнит NS, между полюсами которого расположен цилиндрический ротор (вращающаяся часть). Ротор, с целью уменьшения потерь на вихревые токи набран из отдельных тонких листов электротехнической стали, изолированных лаковой пленкой друг от друга. Полюсам придается такая форма, что в воздушном зазоре между ними и ротором магнитная индукция изменяется по закону синуса
,
где a - угол между плоскостью катушки, расположенной на роторе, и нейтральной плоскостью ОО’. При вращении ротора с угловой скоростью ω в каждой активной стороне витка катушки (число витков W), согласно явлению электромагнитной индукции, наводится ЭДС. Тогда, ЭДС индуктируемая на концах этой катушки, будет равна
|
|
|
, (1)
ei – ЭДС, индуктируемая в одной активной стороне витка катушки; 2 – число активных сторон в одном витке; W – число витков; ωt=a. Здесь
.
Из выражения (1) вытекает, что при создании такой модели генератора ЭДС, возникающая в обмотке, закрепленной на роторе, изменяется по закону синуса. Для подключения к такому генератору нагрузки надо:
1. концы обмотки подключаются к контактным кольцам;
2. к контактным кольцам приложить щетки, с помощью которых снимаем ЭДС, и подключаем нагрузку.
Параметры переменного тока.
1.Период.
2.Циклическая частота – число полных колебаний в секунду.
.
Единицей измерения служит Гц=1/с.
3.Мгновенной значение тока i, напряжения u, ЭДС e – значение этих величин в произвольный момент времени, например, времени t, мгновенное значение тока i (см. график). 
4.Амплитудное или максимальное значение тока Imax, напряжения Umax, ЭДС Emax - наибольшее из мгновенных.
5.Действующее значение – это величина тока, которая определяется в цепях переменного тока с помощью измерительных приборов.

.
Здесь U, E и I – действующие значения.
6.Среднее значение величины за период. Т.к., в течении одной половины периода ток течет в одном направлении, а в течении другой то же количество электричества протекает в обратном направлении, то среднее значение тока за период равно 0.
§ 4.2. Фаза переменного тока. Сдвиг фаз.
Пусть на якоре генератора укреплены два одинаковых витка 1 и 2, сдвинутых в просранстве на угол φ, как показано на рис.4-3. При вращении якоря в витках будет наводиться ЭДС индукции одинаковой частоты ω и амплитуды Emax рис.4-4, т.к, витки вращаются с одинаковой угловой скоростью в одном и том же магнитном поле.
|
|
|

Рис.4-3.

Рис.4-4.
Положение витков задано углами ψ1 и ψ2 для произвольного момента времени, которое можно положить t=0. Плоскости витков не совпадают с нейтральной плоскостью ОО’. Мгновенные значения ЭДС как функции времени будут определяться выражениями:
;
.
Следовательно, в момент времени t=0 ЭДС отличны от нуля:
;
.
Электрически углы ψ1 и ψ2 определяют значения ЭДС в начальный момент времени и называются начальными фазовыми углами или начальными фазами.
Временной сдвиг определяется разностью начальных фаз и называется углом сдвига фаз или сдвигом фаз φ. (рис.4-4).
§ 4.3. Векторные диаграммы.
Сложить, вычесть токи, напряжения двух синусоидальных величин, имеющих разные начальные фазы, является трудоемкой операцией. Поэтому, возникла необходимость заменить синусоидальные величины вектором, длина которого равна действующему значению данной величины, а его положение по отношению к нейтральной плоскости будет определяться начальным углом. Такая замена называется векторной диаграммой. Совокупность нескольких векторов, соответствующих нулевому моменту времени, называется векторной диаграммой.
§ 4.4. Особенности электрических цепей переменного тока.
При изучении электрических цепей необходимо помнить, что электрический ток неразрывно связан с магнитным полем. Таким образом, при возникновении тока в электрической цепи и в окружающей среде имеются магнитные и электрические поля. Кроме того, в электрической цепи происходит преобразование электромагнитной энергии в тепловую.
В реальных цепях электрическое и магнитное поля распределены вдоль всей оси. Но такое равномерное распределение полей встречается редко, например, в линиях передачи энергии. Как правило, магнитное и электрическое поля распределяются вдоль цепи неравномерно, причем, на одних участках резко выражены магнитные поля (индуктивные катушки), на других – электрические (конденсаторы). Имеются также участки цепей, где происходит в основном преобразование электромагнитной энергии в тепловую (резисторы). Указанные цепи, называемые цепями с сосредоточенными параметрами, позволяют изучить свойства отдельных участков, а затем рассмотреть работу цепи в целом.
§ 4.5. Цепь переменного тока с активным сопротивлением.

Рис.4-5.
u-мгновенное напряжение.
Ток в цеп определяем по закону Ома:
,
где U – действующее; R – активное сопротивление. Пример – лампа накаливания.
Такая цепь потребляет мощность, называемою активной
[Вт],
I – действующее значение тока.
Под активной мощностью можно приблизительно считать ту полезную мощность, которая участвует в преобразовании электрической энергии в другие виды энергии.

Рис.4-6.
При составлении диаграммы следует помнить, что вектора вращаются против часовой стрелки с угловой скоростью ω или же говорят с угловой частотой ω, равной
.
Здесь, UR – напряжение на активном сопротивлении, равное
.
Как видно из векторной диаграммы в активном сопротивлении вектор тока и вектор напряжения совпадают по направлению.
§ 4.6. Цепь переменного тока с емкостью.

Рис.4-7.
Ток в цепи
,
где XC – емкостное сопротивление цепи, равное
,
здесь с – емкость в Фарадах, и т.к. эта величина очень большая, а сети имеют значения емкости в мкФ, то чаще пользуются формулой
,
здесь с в мкФ.
В такой цепи, независимо от направления тока, на участках 0 – 1, 2 – 3 (см. график переменного тока) идет потребление электрической энергии, конденсатор накапливает ее на пластинах и она присутствует в этой цепи в виде энергии электрического поля. В эти промежутки времени цепь работает как потребитель и значения мощности берут со знаком «+».
|
|
|
Когда напряжение на входе в цепи характеризуется участком 1 – 2, 3 – 4, то запасенная электрическая энергия в цепи с емкостью возвращается в сеть, цепь ведет себя как генератор, а значение мощности берут со знаком «-». Поэтому, активная мощность, потребляемая такой цепью, равна 0.Наибольшее значение мощности, потребляемой цепь, называется реактивной мощностью и определяется
[вар] – вольт ампер реактивная.

Рис.4-8.
Здесь UС – напряжение на емкостном сопротивлении
.
Как видно из векторной диаграммы вектор тока опережает вектор напряжения на угол φ=90°. При этом, говорят так, φ=90° - опережающий, т.е. вектор тока опережает вектор напряжения на угол 90°.
§ 4.7. Цепь переменного тока с индуктивностью.

Рис.4-9.
Ток в цепи
,
где XL – индуктивное сопротивление цепи, равное
,
где L – индуктивность (Гн) – параметр, характеризующий свойства обмоток катушек электрических аппаратов и машин.
В такой цепи, также в соответствии с формой напряжения приложенной к цепи и в различное время (участки 0 – 1, 1 – 2), идет вначале потребление электрической энергии, которая накапливается в виде энергии магнитного поля, после чего она возвращается в сеть. Поэтому, Р=0. При этом, наибольшее значение мощности называется реактивной мощностью индуктивности.
.

Рис.4-10.
Здесь, напряжение на индуктивном сопротивлении равно
.
Как видно из векторной диаграммы вектор тока отстает от вектора напряжения на угол φ=90°. Теперь, под записью φ=90° - отстающий – надо понимать то, что вектор тока отстает от вектора напряжения на угол φ=90°.
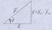
§ 4.8. Неразветвленная цепь переменного тока с R, XL, XC.

Рис.4-11.
Ток в цепи
,
где Z – полное сопротивление цепи, равное
.
Связь между этими сопротивлениями можно графически изобразить в виде прямоугольного треугольника сопротивления.

Рис.4-12.
Здесь X – реактивное сопротивление цепи.
,
.
В такой цепи присутствует:
активная мощность
.
.
полная мощность
[ВА] – вольт ампер.
Треугольник мощностей (прямоугольный).

Рис.4-13.
Из треугольника мощностей следует, что коэффициент мощности – число, показывающее отношение активной мощности к полной мощности. Цепь потребляет мощность, которая называется полной. И только часть этой мощности идет на выполнение активной и полезной работы. Поэтому, cosφ (коэффициент мощности) называют КПД электрической цепи.
.
|
|
|
Векторная диаграмма. Порядок построения.
1. Находим напряжение на элементах цепи

.
2. Выбираем масштаб по току и по напряжению.
МI=
МU=
При выборе масштаба следует учитывать:
§ длина вектора тока должна быть чуть больше или равна длине вектора общего напряжения;
§ масштаб по напряжению должен быть таким, чтобы длины векторов напряжения на элементах цепи получились целыми числами или дробными 5 (с дробью 0,5, например 2,5).
3. По горизонтали откладываем вектор тока. Длина вектора тока равняется числовому значению тока деленного на масштаб.
4. С учетом углов сдвига фаз в активном, индуктивном и емкостном сопротивлениях откладываем вектора напряжений на элементах цепи. Чтобы правильно отложить вектора напряжений делают так:
§ обходят цепь по часовой стрелке, но можно и по-другому;
§ для получения вектора напряжения на зажимах цепи надо все вектора сложить поочередно друг к другу, т.е. начало второго должно идти с конца первого, а начало первого будет совпадать с началом вектора тока. Для нашей цепи вектор напряжения на зажимах цепи равен
;
§ не забывать, что вектора вращаются против часовой стрелки.

Рис.4-14.
Угол φ отмечается стрелкой, направление стрелки от вектора тока к вектору напряжения. Диаграмма построена для случая XL>XC/
Для случая XL<XC диаграмма будет иметь следующий вид

Рис.4-15.
Для случая XL=XC

Рис.4-16.
Такая векторная диаграмма показывает, что в цепи наступает резонанс напряжений. при резонансе напряжения такая цепь ведет себя как цепь с чисто активной нагрузкой, т.е. Z=R, cosφ=1, т.к. φ=0, то Q=0, P=S, а напряжение на зажимах цепи равно напряжению на активном сопротивлении. Добиться резонанса напряжения можно подбором индуктивности, емкости, реактивных сопротивлений или питать такую цепь резонансной частотой
.
§ 4.9. Разветвленная цепь переменного тока.
Цепь рис.4-17 состоит из параллельно соединенных катушки и конденсатора, находящихся под общим напряжением U.

Рис.4-17. Схема разветвленной цепи.
Ток в катушке
.
Этот ток отстает по фазе от напряжения на угол φ1, тангенс которого
.
Ток катушки можно разложить на две слагающие, активную
, совпадающую по фазе с напряжением, и реактивную
, отстающую по фазе от напряжения на угол π/2.
Ток конденсатора
.
Он опережает по фазе напряжение на угол π/2.
Общий ток найдем из прямоугольного треугольника токов (рис.4-18), одним катетом которого является активная слагающая тока
, а другим реактивная слагающая общего тока, равная разности реактивной слагающей тока катушки и тока конденсатора
.
Таким образом, общий ток
.
Угол сдвига общего тока от напряжения определяется через его тангенс (рис.4-18):
.

Рис.4-18. Векторная диаграмма для разветвленной цепи.

Рис.4-19. Векторная диаграмма при резонансе токов.
Ток в неразветвленной части цепи может отставать от напряжения на угол φ при IL>IC, или опережать его при IL<IC, или, наконец, совпадать по фазе с напряжением (рис.2) при IC=IL. В последнем случае в цепи наступает резонанс токов, при котором
, а мощность
, т.к. φ=0, а cosφ=1.
Таким образом, общий ток равен активной составляющей тока катушки. При этом общий ток всегда меньше тока в катушке, т.к. активная составляющая тока катушки всегда меньше тока катушки (Ia1<I1).
Отношение тока в контуре или в катушке (I1≈I2) к общему току при резонансе (Iрез)
,
представляющее собой добротность контура, показывает, во сколько раз ток в параллельном контуре при резонансе больше общего тока в подводящих проводах.
В этом случае максимальная мощность, затрачиваемая на получение магнитного поля (U/IL), равна максимальной мощности, затрачиваемой на получение электрического поля (UIC), а следовательно, равны и максимальные значения энергии в магнитном и электрическом полях цепи WLм=WCм. Как и в рассмотренном выше колебательном контуре, в течении одной четверти периода энергия, запасаемая в электрическом поле, целиком получается от магнитного поля, а в течении второй четверти периода энергия, запасаемая в магнитном поле, целиком получается от электрического поля. От генератора в цепь поступает только энергия, расходуемая в активном сопротивлении. Т.к. реактивные слагающие тока компенсируют друг друга, то в цепи генератора проходит только активный ток, обусловленный потерями энергии в активном сопротивлении.
§ 4.10. Коэффициент мощности.
Для полного использования генератора он должен работать при номинальном напряжении Uн с номинальным током Iн и cosφ=1. В этом случае генератор развивает наибольшую активную мощность, равную его полной номинальной мощности,
.
Уменьшение cosφ вызывает пропорциональное уменьшение активной мощности, т.е. неполное использование номинальной мощности генератора.
У приемника энергии, работающего при неизменном номинальном напряжении Uн и с постоянной активной мощностью Р, ток изменяется обратно пропорционально cosφ, т.к.
.
Следовательно, уменьшение cosφ вызывает увеличение тока и увеличение мощности потерь на нагревание проводов I2r.
По указанным соображениям стремятся повышать cosφ каждой установки до значения, близкого к единице.
Контрольные вопросы:
1. Что называется переменным электрическим током?
2. Как можно изобразить переменный электрический ток?
3. Период, частота, амплитуда переменного тока.
4. Мгновенные и действующие значения тока, напряжения и ЭДС.
5. Фаза переменного тока. Сдвиг фаз.
6. Векторные диаграммы цепи переменного тока.
7. Что представляют собой особенности электрических цепей переменного тока?
8. Как рассчитать цепь переменного тока с активным сопротивлением?
9. Как рассчитать цепь переменного тока с емкостью?
10. Как рассчитать цепь переменного тока с индуктивностью?
11. Что представляет собой неразветвленная цепь переменного тока с активным сопротивлением, емкостью и индуктивностью?
12. Как построить векторную диаграмму неразветвленной цепи переменного тока?
13. Что представляет собой разветвленная цепь переменного тока?
14. Коэффициент мощности.
ГЛАВА 5