ПРАВИЛО МАКСИМИЗАЦИИ ПОЛЕЗНОСТИ
Разрешение парадокса воды и бриллиантов
Теперь мы можем разрешить парадокс воды и бриллиантов. При высокой общей полезности воды ее предельная полезность (а значит, и цена) является низкой, так как запасы воды, доступные каждому индивиду в обычных условиях, являются очень большими, а подчас и неограниченными. Общая полезность алмазов, конечно, намного ниже общей полезности воды, но их предельная полезность очень высока, так как добыча и обработка алмазов требуют больших затрат. Поэтому они стоят дорого. Если бы человечеству предложили выбор: вода или бриллианты, то, конечно, была бы выбрана вода. А что бы выбрал каждый из нас? Разумеется, бриллианты.
До сих пор мы исходили из того, что потребитель предъявляет спрос на один вид благ. Теперь приблизимся к реальной действительности и рассмотрим случай, когда потребитель распределяет свой ограниченный денежный доход между множеством товаров и услуг. Зададимся вопросом: каким образом он достигнет максимизации удовлетворения своих потребностей от приобретаемых благ, т. е. максимизирует общую полезность этих благ?
|
|
|
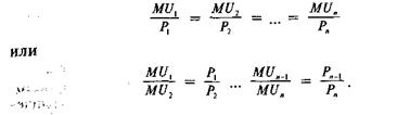
Четко представляя себе предельную полезность каждой приобретаемой единицы того или иного блага, потребитель встречает на рынке товары, каждый из которых имеет цену, выраженную в денежных единицах (рублях). Если бы цены на все товары были одинаковы, то в этом случае потребитель всегда стремился бы купить то благо, которое обладает для него наибольшей предельной полезностью. Но цены на товары и услуги различны. Поэтому потребитель должен соизмерять полученное удовлетворение от потребления того или иного блага со своими расходами на его приобретение. Эти расходы зависят от цены товара или услуги, в связи с чем ему приходится определять предельную полезность в расчете на затраченный рубль, или взвешенную по ценам предельную полезность:
MU / Р где Р — цена.
Предположим сначала, что индивид покупает два товара: яблоки и апельсины. Он обнаруживает, что предельная полезность яблок в расчете на один рубль превышает предельную полезность апельсинов в расчете на рубль. В этом случае он будет покупать яблоки. Количество купленных яблок будет возрастать относительно объема купленных апельсинов. Тогда предельная полезность яблок (вспомним закон убывающей предельной полезности) в расчете на рубль станет уменьшаться. Что касается апельсинов, то наш покупатель ограничивает их потребление и, следовательно, предельная полезность апельсинов для него возрастет. В результате этого он изменит свое потребительское поведение и станет покупать больше апельсинов.
|
|
|
В результате подобных колебаний потребитель достигнет максимального удовлетворения потребностей. Такое положение будет достигнуто, когда взвешенные по ценам предельные полезности покупаемых товаров в расчете на 1 р. окажутся одинаковыми. Это означает, что будет выдерживаться равенство:

Это условие может быть распространено на любое число товаров и услуг. Поэтому если рациональный потребитель покупает множество (n) товаров и услуг, то он соблюдает правило максимизации полезности:
