Глава 7 Финансово-экономические результаты производственно-хозяйственной деятельности в энергетике
Пути снижения себестоимости продукции.
Снижение себестоимости является основным источником повышения рентабельности производства. Это особенно важно в условиях регулируемого рынка.
Для снижения себестоимости могут быть проведены следующие мероприятия:
• реконструктивного характера (совершенствование);
• режимного характера (выбор более выгодного состава оборудования, установление более выгодного распределения нагрузки между работающими энергогенерирующими агрегатами);
• энергосберегающего характера, направленные на использование теплоты уходящих газов, отработанного пара и др.;
• направленные на снижение потерь:
а) топлива при хранении и транспортировке,
б) энергетической продукции при передачи ее потребителю и расходуемой на собственные нужды,
в) материалов и масел;
• организационно-технического характера - механизация и автоматизация производственных процессов и ремонтных работ, укрупнение и объединение мелких административно-управленческих отделов. В условиях проектирования факторами снижения себестоимости могут быть:
1) повышение единичной мощности энергогенерирующего оборудования и предприятия в целом;
2) применение безотходных производств;
3) применение комбинированных энергетических и энерготехнологических установок;
4) разработка рациональных схем топливо- и энергоснабжения, включая использование возобновляемых энергетических ресурсов;
5) рациональная организация строительства, включающая сокращение сроков строительства, использование местных строительных материалов. Целесообразность проведения этих мероприятий должна быть установлена на основе технико-экономических расчетов.
Цена - это фундаментальная экономическая категория, которая представляет собой денежное выражение стоимости единицы товара, т.е. это количество денег, за которое продавец согласен продать, а покупатель купить товар. Ценообразование - процесс формирования цен на товары, характеризуемый методами, способами установления цен. Различают две основные системы ценообразования: рыночное ценообразование на основе взаимодействия спроса и предложения и централизованное государственное ценообразование на основе назначения цен государственными органами. Характер взаимодействия спроса и предложения определяется типом модели рыночных отношений. В энергетической отрасли используются оба способа ценообразования. В электроэнергетической отрасли функционирует система энергорынков. Она включает потребительский, оптовый (ОРЭМ) и организованный конкурентный рынки. На потребительском и оптовом энергорынках ценообразование осуществляется в форме тарифного регулирования специальными государственными органами:. На конкурентном рынке ценообразование осуществляется под воздействием ценовой конкуренции, в результате чего устанавливается равновесная цена. Реализация тепловой энергии осуществляется через потребительский и локальный рынки. Оба рынка регулируются Региональными энергетическими комиссиями. Цены на энергетическую продукцию называют тарифами (по аналогии с отраслями, оказывающими услуги производственного характера: связь и транспорт). Тарифы, или тарифные ставки, устанавливаются дифференцированно по видам потребителей (население, сельское хозяйство, промышленность, общественные организации) и в зависимости от режима энергопотребления. Понятие цены и тарифа на продукцию энергохозяйства промышленного предприятия возникает только в тех случаях, когда эта продукция продается на сторону, т.е. внешним потребителям или заводским потребителям внутри завода при внутризаводском коммерческом расчете. В большинстве случаев промышленная энергетика является частью промышленных предприятий и служит для энергообеспечения производства. При этом для энергоносителей: пар, горячая вода, электроэнергия - либо устанавливаются внутренние, так называемые трансфертные цены, либо отпуск энергии технологическим цехам оценивается по себестоимости. Поскольку промышленные предприятия устанавливают цену на конечную продукцию, прибыль формируется на уровне предприятия с последующим распределением между технологическими, энергетическими и другими подразделениями. Ценообразование на энергетическую продукцию, как и на любую другую, происходит по определенным экономическим законам, действительным и для промышленной энергетики. Любой производитель должен получить за свою продукцию денежную сумму, необходимую для покрытия издержек производства и получения минимальной прибыли - для замены оборудования, развития производства и т.п. Тогда цена на продукцию энергохозяйства промышленного предприятия, называемая ценой производства Ц, тенге/ед. пр., может быть представлена как сумма себестоимости s и минимальной (нормативной) прибыли Пн:
![]() |
(7.1)
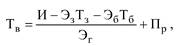
В простейших случаях внутризаводского коммерческого расчета энергетики устанавливают именно такую минимальную цену на энергию и энергетические услуги. Когда промышленная энергетика выходит на внешний рынок (оказание ремонтных услуг, продажа газа в баллонах и т.п.), то вступают в силу экономические законы спроса и предложения. Если продается один вид энергии, то цена на нее определяется по формуле
![]() |
(7.2)
где Тв - цена энергии для внешних потребителей, тенге/ед. энергии; И - годовые издержки энергохозяйства предприятия при производстве данного вида энергии, тенге/год; Эз - количество энергии, отпускаемое заводским потребителям по цене Тз; Тз - тариф внутризаводской, который устанавливается исходя из минимальной прибыли; Эб - количество энергии, отпускаемое бюджетным и коммунально-бытовым потребителям по цене Тб; Пр - расчетная прибыль; Эг - годовое количество энергии, произведенной промышленным предприятием. В случае получения энергии от энергосистемы промышленное предприятие покупает ее по регулируемым государственным ценам. При установлении цен на энергетическую продукцию нужно учитывать особенности энергетического производства:
1) себестоимость продукции меняется под влиянием изменения структуры генерирующих мощностей и используемых энергоресурсов. Это вызывает необходимость установления дифференцированных цен по районам и регионам для обеспечения нормальных уровней рентабельности;
2) себестоимость единицы энергетической продукции зависит от момента времени ее производства. Это связано с тем, что в зависимости от режима потребления в энергосистеме необходима различная установленная мощность оборудования, а следовательно, и различные эксплуатационные расходы. В соответствии с этим тарифы и цены на энергию для потребителей, имеющих разный режим работы, следует устанавливать различными. Себестоимость электрической энергии состоит из постоянных и переменных расходов:
• распределение переменных расходов между потребителями производится пропорционально количеству потребленной энергии;
• распределение между потребителями постоянных расходов, не зависящих от выработки энергии, распределяется по показателю, отражающему участие этих потребителей в образовании максимума нагрузки энергосистемы. Однако учет нагрузки каждого потребителя на момент максимума нагрузки возможен только для крупных потребителей с присоединенной мощностью более 750 кВ·А. Присоединенная мощность - это сумма мощностей всех потребительских трансформаторов и аппаратов, получающих электроэнергию непосредственно из сети энергосистемы. Для этих потребителей показателем распределения постоянных расходов принимается заявленная мощность, представляющая собой наибольшую получасовую мощность в киловаттах, отпускаемую потребителю в часы суточного максимума нагрузки энергосистемы. Тариф на электроэнергию, который устанавливается в соответствии с характером образования себестоимости (постоянные и переменные расходы), называется двухставочным тарифом:
![]() |
(7.3)
где То- основной тариф (ставка за мощность, тенге/кВт) за 1 кВт заявленной мощности;
Рм - заявленная мощность, кВт;
Тд - дополнительный тариф (ставка за единицу потребленной энергии), тенге/(кВт⋅ч),
Э г- объем потребляемой за год электроэнергии, кВт⋅ч.
Применение двухставочного тарифа, во-первых, обеспечивает покрытие условно-постоянных расходов производителей электроэнергии, во-вторых, стимулируется сглаживание графика нагрузки потребителей. Уплотнение графика электрической нагрузки потребителей приводит к повышению числа часов использования генерирующего оборудования и надежности электроснабжения за счет роста эксплутационного резерва, к снижению себестоимости производства энергии за счет уменьшения условно-постоянной составляющей, вследствие чего происходит снижение среднего тарифа за потребленную электроэнергию. Это легко видеть из анализа формулы двухставочного тарифа:
![]() |
(7.4)
где
- число часов использования заявленной мощности; Тд - ставка за единицу потребленной энергии, тенге/(кВт·ч). Для мелких промышленных предприятий с присоединенной мощностью менее 750 кВ·А и других потребителей при расчетах за электроэнергию установлены одноставочные тарифы. Плата за электроэнергию рассчитывается по формуле
![]() |
(7.5)
Для коммунально-бытовых потребителей, оснащенных специальными счетчиками, введены дифференцированные тарифы для дневного и ночного потребления электроэнергии. В ближайшее время планируется ввести многоставочные тарифы и для промышленных объектов. Будут установлены повышенная плата за потребление в часы прохождения максимума суточного графика электрических нагрузок и льготы потребление в ночные часы. В этом случае плата составит:
![]() |
(7.6)
где Эм, Тм - энергопотребление и повышенный тариф в период максимума графика нагрузки потребителей;
Эн, Тн - энергопотребление и тариф в период минимальной нагрузки (ночью). Введение многоставочных тарифов приводит к выравниванию графика энергопотребления, что существенно улучшает условия и технико-экономические показатели работы энергопроизводителей. Тарифы в настоящее время дифференцированы и в зависимости от напряжения. Для высокого напряжения тарифы ниже. Тарифы на теплоту дифференцируются по энергосистемам, видам и параметрам теплоносителя. Расчеты с потребителем производятся по одноставочному тарифу, величина которого зависит от определенных параметров пара и горячей воды. При снижении параметров потребляемого пара снижается и тариф, так как отпуск теплоты с паром более низких параметров повышает выработку электрической энергии по теплофикационному циклу, что приводит к экономии топлива и снижению эксплуатационных расходов. Плата за тепловую энергию определяется по формуле
![]() |
(7.7)
где Т т.э - тариф за каждый 1 ГДж полученной теплоты, тенге/ГДж;
Q - количество потребленной тепловой энергии.
Тариф устанавливается исходя из условия полного возврата конденсата. За невозврат конденсата потребители дополнительно возмещают энергоснабжающим организациям затраты на воду по специальному тарифу. За теплоту с возвращаемым конденсатом энергоснабжающая организация платит потребителю. Суммарная оплата за теплоту:
![]() |
(7.8)
где П н.к - плата за невозвращенный конденсат;
П к.т - возвратные суммы за недоиспользованную теплоту возвращенного конденсата.
Такой метод стимулирует экономию теплоты и максимальный возврат конденсата с более высокой температурой. В настоящее время в ряде систем теплоснабжения проводятся разработка и внедрение двухставочных тарифов на теплоэнергию. Общие одходы к их разработке и установлению аналогичны используемым в электроэнергетике. Таким образом, хотя в энергетической отрасли используются различные подходы к ценообразованию, государство обязательно в той или иной степени выполняет регулирующую функцию при установлении тарифов на электро- и теплоэнергию. Система цен и тарифов на энергопродукцию должна стимулировать снижение издержек производителей и экономное расходование энергии потребителей. Ценообразование должно быть гибким и учитывать специфику производства и потребления электроэнергии в интересах общества, стимулируя снижение издержек и сдерживая рост тарифов.














