Теория проспектов была разработана для того, чтобы учесть реальные черты человеческого поведения в задачах с субъективными вероятностными оценками. Ставилась цель за менить теорию ожидаемой полезности в качестве средства, по зволяющего человеку выбирать предпочтительные варианты действий.
Теория проспектов позволяет учесть три поведенческих эффекта:
- эффект определенности, т.е. тенденцию придавать боль ший вес детерминированным исходам;
- эффект отражения, т.е. тенденцию к изменению пред почтений при переходе от выигрышей к потерям;
- эффект изоляции, т.е. тенденцию к упрощению выбора путем исключения общих компонентов вариантов решений.
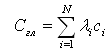
Рассмотрим игру (х, р, у, q), где исход х осуществляется с вероятностью р, исход у — с вероятностью q, а нулевой исход — с вероятностью 1-р- q (рис. 2.10). В теории проспектов игра, представленная на рисунке, называется проспектом. Оценива ется ценность (а не ожидаемая полезность) этой игры по сле дующей формуле:
V = V (x) xor П(р)+ V (у) xor П(q),
где V (x), V (y) - ценность исходов х, у соответственно, V (0)=0 и П(р), П(q) - вес (важность) вероятностей р, q соответственно.

Рис. 2.10. Представление проспекта
Мы видим первое отличие теории проспектов: вместо веро ятностей используется функция от вероятностей.
Проанализируем другие отличия теории проспектов от тео рии полезности. Во-первых, полезность в теории полезности определялась как прибавление (может быть, и отрицательное) к первоначальному благосостоянию человека. Ценность же от считывается от любого уровня, принятого за исходный. Во- вторых, предполагается (для учета поведенческих аспектов), что функция V (x) ценности - выпуклая для выигрышей и во гнутая для потерь (рис. 2.11), причем ее изменение для потерь будет больше, чем для выигрышей.
Важное различие двух теорий состоит в учете вероятностей исходов. Если в теории полезности вероятность умножается на полезность исхода, то в теории проспектов используется функ ция вероятности П(р), представленная на рис. 2.12. Эта функ ция также построена специальным образом для учета поведен ческих аспектов. Прежде всего П(р) не подчиняется всем зако нам теории вероятностей. Отметим следующие свойства П(р):
- П(0)=0, П(1)=1;
- П(р)+П(1-р) < 1;
- при малых вероятностях П(р) > р;
- отношение П(p)/П(q) ближе к единице при малых веро ятностях, чем при больших;
- П(р) плохо определена у крайних значений.

Рис. 2.11. Функция ценности
Вес вероятности

Рис. 2.12. Весовая функция вероятности
Теперь мы можем привести последовательность этапов, ре комендуемую при применении теории проспектов для выбора между различными вариантами действий.
1. Осуществляется редактирование проспекта; этап опреде лен достаточно неформально. В него входит следующее:
- выбирается опорная точка;
- одинаковые исходы объединяются, и их вероятности сумми руются;
- одинаковые исходы с равными вероятностями в сравнивае мых играх удаляются;
- доминируемые исходы удаляются;
- округляются значения ценностей и вероятностей.
2. Подсчитываются значения ценности для разных вариан тов действий по формуле, приведенной выше, после чего выби рается вариант с наибольшей ценностью.






