Решение систем линейных уравнений методом Гаусса. Пусть нам требуется найти решение системы из n линейных уравнений с n неизвестными переменными
определитель основной матрицы которой отличен от нуля.
Суть метода Гаусса состоит в последовательном исключении неизвестных переменных: сначала исключается x1 из всех уравнений системы, начиная со второго, далее исключается x2 из всех уравнений, начиная с третьего, и так далее, пока в последнем уравнении останется только неизвестная переменная xn. Такой процесс преобразования уравнений системы для последовательного исключения неизвестных переменных называется прямым ходом метода Гаусса. После завершения прямого хода метода Гаусса из последнего уравнения находится xn, с помощью этого значения из предпоследнего уравнения вычисляется xn-1, и так далее, из первого уравнения находится x1. Процесс вычисления неизвестных переменных при движении от последнего уравнения системы к первому называется обратным ходом метода Гаусса.
Кратко опишем алгоритм исключения неизвестных переменных.
|
|
|
Будем считать, что
, так как мы всегда можем этого добиться перестановкой местами уравнений системы. Исключим неизвестную переменную x1 из всех уравнений системы, начиная со второго. Для этого ко второму уравнению системы прибавим первое, умноженное на
, к третьему уравнению прибавим первое, умноженное на
, и так далее, к n-ому уравнению прибавим первое, умноженное на
. Система уравнений после таких преобразований примет вид
где
, а
.
К такому же результату мы бы пришли, если бы выразили x1 через другие неизвестные переменные в первом уравнении системы и полученное выражение подставили во все остальные уравнения. Таким образом, переменная x1 исключена из всех уравнений, начиная со второго.
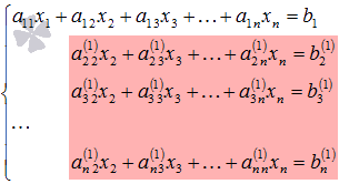
Далее действуем аналогично, но лишь с частью полученной системы, которая отмечена на рисунке

Будем считать, что
(в противном случае мы переставим местами вторую строку с k-ой, где
). Приступаем к исключению неизвестной переменной x2 из всех уравнений, начиная с третьего.
Для этого к третьему уравнению системы прибавим второе, умноженное на
, к четвертому уравнению прибавим второе, умноженное на
, и так далее, к n-ому уравнению прибавим второе, умноженное на
. Система уравнений после таких преобразований примет вид
где
, а
. Таким образом, переменная x2 исключена из всех уравнений, начиная с третьего.
Далее приступаем к исключению неизвестной x3, при этом действуем аналогично с отмеченной на рисунке частью системы

Так продолжаем прямой ход метода Гаусса пока система не примет вид

С этого момента начинаем обратный ход метода Гаусса: вычисляем xn из последнего уравнения как
, с помощью полученного значения xn находим xn-1 из предпоследнего уравнения, и так далее, находим x1 из первого уравнения.
|
|
|
Пример.
Решите систему линейных уравнений
методом Гаусса.
Решение.
Исключим неизвестную переменную x1 из второго и третьего уравнения системы. Для этого к обеим частям второго и третьего уравнений прибавим соответствующие части первого уравнения, умноженные на
и на
соответственно:

Теперь из третьего уравнения исключим x2, прибавив к его левой и правой частям левую и правую части второго уравнения, умноженные на
:

На этом прямой ход метода Гаусса закончен, начинаем обратный ход.
Из последнего уравнения полученной системы уравнений находим x3:

Из второго уравнения получаем
.
Из первого уравнения находим оставшуюся неизвестную переменную и этим завершаем обратный ход метода Гаусса
.
Ответ:
x1 = 4, x2 = 0, x3 = -1.