Вопросы, изложенные в лекции:
1. Конструктивные особенности ЦП.
2. Кинематика ЦП.
3. Динамика и расчет ЦП.
| Конструктивные особенности ЦП. |
Цепная передача – механизм для передачи вращательного движения между параллельными валами с помощью жестко закрепленных на них зубчатых колес – звездочек и охватывающей их многозвенной гибкой связи с жесткими звеньями, называемой цепью.
Рис. 3.1. Цепная передача. |
Простейшая цепная передача (рис. 3.1) состоит из двух, закрепленных каждая на своем валу, звездочек (1 и 2), меньшая из которых чаще всего бывает ведущей, и охватывающей их цепи 3, составленной из множества жестких звеньев, имеющих возможность поворачиваться друг относительно друга.
Цепные передачи нашли широкое применение в машинах общепромышленного назначения и в военной технике: в двигателях внутреннего сгорания для привода кулачковых валов механизма газораспределения; для привода ведущих колес в автогрейдерах; для привода дополнительных колес в БРДМ; в приводе лебедки БТР-80; в автомате заряжания пушки БМП-3. Гусеничный движитель гусеничных машин также является цепной передачей специфического назначения, преобразующей вращательное движение ведущего колеса в поступательное движение самой машины.
Цепные передачи находят широчайшее применение в различных подъемных (например, в многоковшовых элеваторах) и транспортирующих устройствах. Применение цепных передач в этих случаях упрощает конструкцию узлов машин, повышает их надежность и производительность. В этих устройствах применяются цепи самых разных конструктивных типов.
Цепные передачи используют как для редуцирования (снижения скорости в процессе передачи) вращательного движения, так и для его мультиплицирования (повышения скорости).
Достоинства цепных передач: 1. Возможность передачи движения на достаточно большие расстояния (до 8 м). 2. Возможность передачи движения одной цепью нескольким валам. 3. Отсутствие проскальзывания, а следовательно, и стабильность передаточного отношения при уменьшенной поперечной нагрузке на валы и на их опоры. 4. Относительно высокий КПД (0,96…0,98 при достаточной смазке).
Недостатки цепных передач: 1. Повышенная шумность и виброактивность при работе вследствие пульсации скорости цепи и возникающих при этом динамических нагрузок. 2. Интенсивный износ шарниров цепи вследствие ударного взаимодействия со впадиной звездочки, трения скольжения в самом шарнире и трудности смазки. 3. Вытягивание цепи (увеличение шага между шарнирами звеньев) вследствие износа шарниров и удлинения пластин. 4. Сравнительно высокая стоимость.
Уже из названия и определения цепной передачи становится ясно, что основным её элементом является цепь. Цепи достаточно широко применяются в промышленности и по назначению могут быть разделены на:
1. тяговые цепи, предназначенные для перемещения грузов по горизонтальной или наклонной поверхности;
2. грузовые цепи, предназначенные для подъема грузов;
3. приводные цепи, предназначенные для передачи движения, чаще всего вращательного, в цепных передачах.
Наибольшее распространение в качестве приводных получили роликовые, втулочные и зубчатые цепи. Эти три разновидности цепей стандартизованы.
Рис. 3.2. Конструкция роликовой цепи. |
Рассмотрим конструкцию роликовой цепи, как наиболее часто применяемой (рис. 3.2). Эта цепь состоит из звеньев двух типов: звена с наружными пластинами 1, соединенными между собой двумя осями 2, и звена с внутренними пластинами 3, которые соединены между собой втулками 4. Втулки 4 при сборке цепи одеваются на оси 2 с возможностью проворота, образуя таким образом шарнир цепи. На каждую из втулок 4 одевается свободно вращающийся ролик 5. Цепь проектируется чаще всего с четным числом звеньев, тогда замыкающим звеном, соединяющим концы цепи в замкнутое кольцо, является звено с наружными пластинами, оси которого могут выниматься и закрепляются при сборке разрезной шайбой или шплинтом (рис. 3.2, б). Иногда допускается использование в цепи и нечетного числа звеньев. В этом случае для замыкания цепи применяется специализированное звено с неодинаковыми концевыми частями (рис. 3.2, в). Однако, применение такого звена нежелательно в связи с его пониженной прочностью в сравнении с другими звеньями цепи.
Втулочная цепь отличается от роликовой только отсутствием роликов, что несколько снижает массу цепи и позволяет уменьшить шаг между шарнирами звеньев, однако способствует увеличению скорости износа шарниров цепи и несколько снижает КПД цепной передачи.
Пластины роликовых и втулочных цепей изготавливаются из углеродистых или углеродистых легированных сталей (стали 45, 50, 40Х, 40ХН, 30ХН3А и др.) и закаливают до HRCЭ 40…50; оси, втулки и ролики – из мало- или среднеуглеродистых сталей с различной степенью легирования (стали 15, 20, 15Х, 20Х, 20ХН3А, 20ХН4А, 30ХН3А и др.), их подвергают поверхностной химико-термической обработке (цементация, цианирование, азотирование) и закаливают до поверхностной твердости HRC 50…65.
Параметры роликовой цепи, основными из которых являются шаг между геометрическими осями шарниров t и предельная разрушающая нагрузка Fp, стандартизованы (ГОСТ 13568-75). Обозначение таких цепей строится следующим образом: ПР-15,875-22,7-1 или2ПР-15,875-45,4; где первая цифра означает число рядов (для однорядной цепи цифра не ставится), буквы ПР – приводная роликовая, цифра, стоящая после букв, шаг цепи в мм, следующая за ней цифра – разрушающая нагрузка в кН, последняя цифра – вид исполнения (1 – облегченная цепь, 2- нормальное исполнение), при наличии только одного исполнения для данного типоразмера цепи последняя цифра не ставится.
Рис. 3.3. Схема цепной передачи. |
Основные геометрические соотношения в цепной передаче (рис. 3.3). Как указывалось выше, главным геометрическим параметром цепи и цепной передачи в целом является шаг t между осями шарниров цепи, равный расстоянию между центрами впадин между зубьями звездочек. Межосевое расстояние передачи выбирается в зависимости от шага цепи по следующему соотношению
. (3.1)
В этом выражении меньшие значения коэффициента в правой части соответствуют меньшим передаточным числам и наоборот.
Делительный диаметр d звездочки (диаметр окружности на которой лежат оси шарниров цепи, охватывающей звездочку) также зависит от шага цепи t
, (3.2)
где z –число зубьев звездочки.
В свою очередь число зубьев меньшей звездочки (её параметрам присвоим индекс «1») выбирают по эмпирическим соотношениям:
для роликовых и втулочных цепей
при условии z1 ³ 13; (3.3)
для зубчатых цепей
при условии z1 ³ 17; (3.4)
где u – передаточное число.
Число зубьев большей звездочки
с округлением до ближайшего большего нечетного числа. При этом рекомендуется принимать число зубьев большей звездочки не более 120 для роликовых и втулочных цепей и не более 140 для зубчатых цепей.
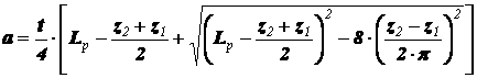
Длину цепи Lр, выраженную в шагах (число звеньев цепи), для известного межосевого расстояния a можно вычислить по выражению
. (3.5)
Полученное по выражению (3.5) значение необходимо округлить до ближайшего целого четного числа. При четном числе звеньев цепи и нечетных числах зубьев звездочек будет обеспечен наиболее равномерный износ как самих звездочек, так и шарниров цепи.
Далее по выбранному числу звеньев цепи необходимо уточнить межосевое расстояние передачи
. (3.6)
Полученное расчетом по (3.6) значение межосевого расстояния с целью исключения перенатяжения цепи из-за неточностей изготовления и монтажа сокращают на 0,2…0,4%, так чтобы свободная (ведомая) ветвь цепи имела некоторое провисание f (рис. 3.3). Для передачи, у которой угол q наклона межосевой линии к горизонту не превышает 40°, величина провисания ведомой ветви цепи
, а для передач с углом
-
.
| Кинематика ЦП. |
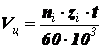
Среднюю скорость Vц (м/с) цепи в цепной передаче можно определить по выражению
, (3.7)
где ni – частота вращения i -того вала, об/мин; zi – число зубьев звездочки, закрепленной на i -том валу; t – шаг цепи, мм.
Передаточное число u цепной передачи можно выразить через её кинематические и конструктивные показатели
, (3.8)
где w - угловая скорость звездочки, индекс «1» соответствует ведущей звездочке, а «2» - ведомой.
Передаточное отношение, вычисленное по (3.7) является средним за оборот, но в пределах поворота звездочки на один угловой шаг (2p/z) мгновенное передаточное отношение не остается постоянным. Для доказательства этого обратимся к схеме рис. 3.4.
Рис. 3.4. Схема совместного движения цепи и звездочки. |
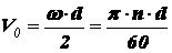
Пусть ведущая звездочка, имеющая z зубьев, вращается с угловой скоростью w=const по ходу часовой стрелки. Тогда тангенциальная скорость любой точки, лежащей на делительной окружности может быть найдена по известному соотношению
. (3.9)
Эта тангенциальная скорость всегда может быть представлена горизонтальной Vг и вертикальной Vв составляющими.Cоставляющие тангенциальной скорости звездочки для места входа шарнира цепи во впадину звездочки (на схеме рис. 3.4 левый шарнир верхней, набегающей, ветви цепи) и для предыдущего шарнира, уже движущегося совместно со звездочкой (на схеме рис. 3.4 правый верхний шарнир) по величине составляют
;
;
Рис. 3.5. Относительная пульсация скорости цепи в зависимости от количества зубьев ведущей звёздочки. |
где угол g составляет половину углового шага звездочки, то есть
. Скорость движения цепи равна горизонтальной составляющей Vг и, следовательно, в этом положении цепи и звездочки несколько меньше тангенциальной скорости V0. После того как шарнир цепи попал во впадину звездочки он движется вместе с нею и после поворота звездочки на половину углового шага g его горизонтальная скорость движения сравняется с V0, а при последующем повороте звездочки ещё на полшага g эта скорость снова сократится до первоначального значения. Величина пульсации скорости цепи, равная отношению разности этих двух скоростей к средней скорости цепи в этом случае составит
. (3.10)
При подходе шарнира цепи к месту его входа в контакт с впадиной звездочки он имеет только горизонтальную скорость равную скорости цепи, а дно впадины между зубьями звездочки в момент встречи с шарниром цепи кроме горизонтальной имеет вертикальную скорость (см. схему рис. 3.4), следовательно их встреча произойдет с ударом. Соударение впадины звездочки с шарниром цепи ведет к возникновению микропластических деформаций в контактирующих поверхностях и, в конечном итоге, к усталостному изнашиванию этих поверхностей. Кроме того, соударение шарнира цепи со впадиной звездочки вызывает шум в работе передачи, а поперечные по отношению к ветви цепи движения шарнира генерируют в ней поперечные волновые колебания. Перечисленные отрицательные эффекты увеличиваются с уменьшением количества зубьев звездочки, это стало одной из причин ограничения числа зубьев звездочек с минимальной стороны (см. (3.3) и (3.4)).
| Динамика и расчетЦП. |
При работе цепной передачи на цепь действуют:
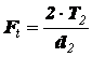
1. Окружная (тангенциальная для звездочек) сила Ft, участвующая в передаче мощности от ведущей звездочки к ведомой. Эту силу приближенно (то есть в среднем, поскольку её величина колеблется) можно найти по известному выражению
, (3.11)
где T2 –момент сопротивления на валу ведомой звездочки, а d2 – делительный диаметр этой звездочки. Усилие это пульсирует в силу изменения расстояния между направлением действия этой силы и осью вращения ведомой звездочки. При постоянном моменте сопротивления относительная величина пульсации этой силы dFt, как и пульсация скорости, составит
. (3.12)
2. Сила предварительного натяжения F0, обусловленная провисанием ведомой ветви цепи
; (3.13)
где q – удельная масса цепи, кг/м; a – межосевое расстояние передачи, м; g – ускорение свободного падения, м/с2; kf – коэффициент учитывающий условия провисания цепи. Для горизонтальной передачи (q=0) kf = 6; для наклонной передачи, у которой 0 < q £ 45°, kf = 3; для вертикальной передачи (q = 90°) kf = 1.
3. Натяжение FV, от действия центробежных сил на злементы цепи при обегании ими звездочек. Это усилие, также как и в ременной передаче, составит
; (3.14)
Сила FV растягивает цепь по всей её длине, но звездочкам не передается.
В ведущей ветви цепи все эти силы суммируются
. (3.15)
В ведомой ветви натяжение F2 равно большей из двух сил F0 или FV.
Нагрузку, передаваемую цепью на валы звездочек можно определить по выражению
, (3.16)
где kв – безразмерный коэффициент нагрузки вала, изменяющийся в зависимости от условий работы цепной передачи в пределах 1,05…1,3.
Главным критерием работоспособности цепных передач является долговечность цепи, определяемая изнашиванием шарниров. Поэтому основным является расчет цепных передач по контактному давлению в шарнирах цепи, обеспечивающий их достаточную износостойкость.
Порядок расчета цепной передачи. Исходные данные для расчета: мощность P2, которую необходимо обеспечить на выходном валу; частоты вращения -входного вала (ведущей звездочки) n1 и ведомой звездочки n2.
Пошаговый алгоритм расчета цепной передачи с роликовой цепью:
1. Вычислить передаточное число u по формуле (3.8).
2. Определить число зубьев ведущей звездочки z1 по формуле (3.3) и,
используя зависимость (3.8), найти число зубьев ведомой звездочки z2. Полученные значения округлить до ближайшего целого нечетного числа. Проверить ограничительные условия для малой звездочки (обычно это z1 ³ 13) и для большой звездочки (z2 £ 120). Если ограничительные условия выполнены, уточнить передаточное число uф по (3.8). Далее, где это необходимо, использовать только uф.
3. Выбрав по конструктивным условиям цепь с известным шагом tф, по таблицам в технической литературе (стандарты, технические условия, справочники и т.п.) определить величину допустимого давления в шарнире [p]ц или вычислить её по эмпирической формуле
; (3.17)
где n1 – частота вращения меньшей из звёздочек, мин-1, t – шаг цепи, мм.
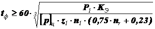
4. Проверить шаг цепи по ограничению снизу согласно формуле
; (3.18)
где KЭ – коэффициент, учитывающий условия эксплуатации; nr – число рядов цепи, а выражение в скобках эквивалентно коэффициенту, учитывающему неравномерность распределения нагрузки по рядам многорядной цепи.
Коэффициент эксплуатации KЭ является произведением пяти частных коэффициентов
; (3.19)
где KД – коэффициент динамичности нагрузки (1,2…1,5); KС – коэффициент способа смазывания передачи, при непрерывном смазывании KС = 0,8, при регулярном капельном KС = 1, при периодическом KС = 1,5; Kq - коэффициент наклона передачи, при угле наклона к горизонту q £ 45° Kq =1, при q > 45°
; KН – коэффициент способа натяжения цепи, при регулировании натяжения путем смещения оси одной из звездочек KН = 1, при регулировании специальными оттяжными звездочками или нажимными роликами KН = 1,1, для нерегулируемой передачи KН = 1,25;
- коэффициентсменности, работы, в котором Тр - время работы передачи в течение суток, часов.
Если выбранный шаг цепи не удовлетворяет условию (3.18), следует использовать для передачи цепь с большим шагом и повторить проверку по (3.18), при удовлетворении этого условия перейти к п. 5.
5. Вычислить делительные диаметры звездочек d1 и d2 по выражению (3.2).
6. Назначить предварительную величину межосевого расстояния передачи a по выражению (3.1), учитывая, что цепной передачей обычно охватываются передаточные числа u = 1…7.
7. По выражению (3.5) определить необходимое число звеньев цепи, округляя величину, полученную расчетом, до ближайшего большего четного числа.
8. Уточнить величину межосевого расстояния для полученного числа звеньев цепи по формуле (3.6), сократив полученное расчетом значение на 0,2…0,4%, как рекомендовано выше. Назначить величину провисания свободной ветви цепи f.
9. Используя выражения (3.11; 3.13…3.15), определить нагрузку в ведущей ветви цепи.
10. Вычислить коэффициент запаса цепи по нагрузке, используя выражение
, (3.20)
где QЦ – паспортное разрывное усилие цепи, а [KЦ] нормативный коэффициент запаса цепи по разрывному усилию. В общем машиностроении принимают [KЦ] = 3…5. При получении меньших значений KЦ необходимо выбрать другую цепь с большим шагом и расчет повторить для новой цепи. При получении коэффициента запаса KЦ, значительно превышающего указанную величину допустим выбор цепи с уменьшенным шагом, что будет способствовать сокращению габаритных размеров передачи.
В заключение следует отметить, что в настоящей лекции в связи с малым количеством учебного времени свойства и качества цепных передач, а также порядок их расчета рассмотрены, в основном, на примере наиболее распространенной цепной передачи с роликовой цепью. Безусловно, расчет и конструирование цепных передач с цепями других типов имеют некоторые специфические особенности, познакомиться с которыми в случае необходимости можно по соответствующей технической литературе.
| Вопросы для самоконтроля: |
1. Какой механизм называют цепной передачей?
2. Назовите примеры применения цепных передач.
3. Назовите достоинства и недостатки цепных передач.
4. Назовите основные виды цепей (по их функциональному назначению), применяемых в промышленности.
5. Какие виды приводных цепей Вы знаете?
6. Какова конструкция роликовых и втулочных цепей?
7. Из каких материалов изготавливаются элементы приводных цепей?
8. Какой параметр цепи и цепной передачи является определяющим, какие параметры включены в маркировку цепей?
9. Назовите основные конструктивные параметры цепной передачи, как они взаимосвязаны?
10. Назовите основные кинематические параметры цепной передачи, и покажите их
11. взаимную связь.
12. Что является причиной нестабильности (периодического изменения) некоторых кинематических параметров? Назовите кинематические параметры, подвергающиеся периодическому изменению.
13. Какие конструктивные меры способствуют повышению стабильности скорости цепи и тягового усилия цепной передачи?
14. Какими силами обусловлено натяжение свободной ветви цепи в цепной передаче?
15. Какими силами обусловлено натяжение ведущей ветви цепи в цепной передаче?
16. Что является основным критерием работоспособности цепной передачи?
17. Какие данные необходимо иметь, чтобы спроектировать цепную передачу?
18. По какому параметру подбирается цепь при проектировании цепной передачи?
19. В процессе расчета цепной передачи получен коэффициент запаса цепи по разрывному усилию KЦ = 1,5. Каковы будут Ваши дальнейшие действия?
é
Рис. 3.1. Цепная передача.
Рис. 3.2. Конструкция роликовой цепи.
Рис. 3.3. Схема цепной передачи.
Рис. 3.4. Схема совместного движения цепи и звездочки.
Рис. 3.5. Относительная пульсация скорости цепи в зависимости от количества зубьев ведущей звёздочки.