Использование финансового рычага означает для владельцев собственного капитала больший риск. Соответственно требуемая доходность по акционерному капиталу такой корпорации должна учитывать компенсацию этого риска. Рассмотренные выше методы оценки стоимости акционерного капитала не теряют своих достоинств, но требуют определенных корректировок.
На практике нашли применение четыре метода оценки стоимости акционерного капитала ks для корпорации с ненулевым финансовым рычагом:
1) по расчету ожидаемой доходности по модели Гордона;
2) через использование модели оценки финансовых активов (САРМ);
3) кумулятивный метод, учитывающий различные факторы, влияющие на требуемую доходность по акционерному капиталу;
4) на основе стоимости заемного капитала.
В модели Гордона влияние финансового риска на требуемую доходность находит выражение в рыночной оценке акции Ро. В равновесной ситуации ожидаемая доходность равна требуемой и по текущей цене акции может быть рассчитана. Этот метод применим для оценки ks в проектах того же уровня риска, что и текущая деятельность (этот риск повлиял на значение Ро). Если проект меняет риск корпорации, то необходимо сделать поправку. Например, при увеличении риска скорректировать стоимость капитала в сторону увеличения.
САРМ учитывает степень риска в значениях бета-коэффициента. В тех случаях, когда имеется возможность построить регрессионную модель и оценить бета-коэффициент, значение ks по модели будет отражать требуемую доходность с учетом недиверсифицируемого и коммерческого, и финансового риска. Очевидно, чем больше доля заемного капитала, тем выше получаемые значения бета-коэффициента для корпораций одной отрасли. Для корпораций, по которым акции не котируются, или для инвестиционных проектов модель может использоваться с искусственным введением бета-коэффициента. Например, если рассматривается проект расширения деятельности (т.е. проект того же коммерческого риска, что и текущая деятельность) и используется только собственный капитал, то β корпорации = β проекта = β акции данной корпорации с нулевым финансовым рычагом.
Метод искусственного β-коэффицента предполагает задание коэффи-циента либо по среднеотраслевым коэффициентам, либо по фирме-аналогу. Если корпорация рассматривает инвестиционный проект в сфере деятельности, отличающейся от основного производства, то неправомерно будет по данному проекту вводить стоимость капитала (как ставку дисконтирования) с учетом текущей требуемой доходности по основной деятельности. Коммерческий риск будет иным. Например, если корпорация по производству мебели рассматривает вариант инвестирования средств в операции с недвижимостью, то акционеры корпорации будут рассматривать проект с точки зрения соотнесения доходности и риска по операциям с недвижимостью. По компаниям, занимающимся недвижимостью и котирующим акции на рынке, может быть оценен систематический риск такой сферы деятельности. Следует учесть, что в этом систематическом риске найдут отражение макроэкономические факторы и коммерческого, и финансового риска.
Такая же проблема возникает при использовании бета-коэффициента фирмы-аналога. Если аналог работает в той же отрасли, имеет такой же размер капитала, близкую структуру активов и аналогичный спрос на продукцию, но иное соотношение собственных и заемных средств (как долгосрочных источников), то использовать β этого аналога в расчетах требуемой доходности недопустимо из-за разного финансового риска.
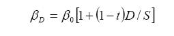
Решение этой проблемы предложил в 1969 г. Роберт Хамада, выведя зависимость корпорации с нулевым финансовым рычагом от значения βо по той же корпорации при отсутствии заемного капитала.[12] Основная идея модели Хамады: финансовый рычаг (соответственно финансовый риск) увеличивает систематический риск, что выражается в росте бета-коэффициента. Степень увеличения зависит от финансового рычага (выражаемого здесь как D/S) и ставки налога на прибыль t.
Формула Хамады:

где
— значение бета-коэффициента данной корпорации с нулевым финансовым рычагом;
— значение бета-коэффициента по той же корпорации с ненулевым финансовым рычагом.
Если применяются три различных элемента финансирования: акционерный капитал S, представленный обыкновенными акциями, привилегированные акции (рыночная оценка которых Р) и заемный капитал D, то мультипликатор систематического риска владельцев обыкновенных акций еще более повышается:

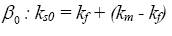
Модель Хамады получена путем объединения САРМ и модели Миллера — Модильяни с налогами. Исходя из САРМ, требуемая доходность по заемному капиталу зависит от безрисковой процентной ставки и премии за риск, которая в свою очередь зависит от рыночного риска данной компании. Этот рыночный риск включает две компоненты: коммерческий риск и финансовый риск. Если заемный капитал отсутствует, то стоимость собственного капитала определяется безрисковой доходностью и премией за коммерческий риск, который не может быть устранен диверсификацией. Мерой этого риска является:


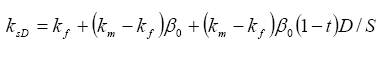
По модели Хамады мультипликатор систематического риска равен

Стоимость капитала корпорации, использующей финансовый рычаг, равна

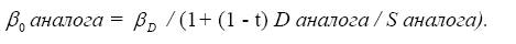
Чтобы использовать PD фирмы-аналога со структурой капитала, отличной от структуры рассматриваемой корпорации, следует применить следующую схему.
1. Рассчитать по регрессионной модели PD по аналогу или воспользоваться данными аналитических агентств.
2. Рассчитать бета-коэффициент фирмы-аналога при нулевом финансовом рычаге:

3. Рассматривать бета-коэффициент анализируемой корпорации как бета-коэффициент аналога при нулевом финансовом рычаге (или бета-проекта как бета аналога):

4. Рассчитать бета-коэффициент по анализируемой корпорации (или проекту) по формуле Хамады, вводя рассчитанное значение и собственную структуру капитала (значение финансового рычага как D/S):

где t — ставка налога на прибыль.
Кумулятивный метод расчета требуемой доходности по акционерному капиталу основывается на тех же принципиальных положениях, что и САРМ: владельцы собственного капитала требуют компенсации за недиверсифицируемый (систематический) риск, который порождается факторами и коммерческого, и политического, и финансового риска. Метод строится на экспертной оценке влияния конкретных факторов на систематический риск вложения в конкретную корпорацию. Требуемая доходность ks рассчитывается как сумма:
1) доходности по безрисковым вложениям (например, долгосрочные облигации государства, доходность мирового рынка которых колеблется в пределах 7—9%);
2) премии за рыночный риск развитого фондового рынка (по рынку США - 5,5 %);
3) премии за страновой политический риск (обычно по России — не более 7%);
4) премии за риск инфраструктуры фондового рынка (по России — не более 10%);
5) премии за риск инвестирования в конкретную корпорацию (может колебаться от 5 до 30%). Например, риск инвестирования в малые компании оценивается в 6%.
Робертом Лингом в работе, выполненной под эгидой Всемирного банка, приведен расчет странового риска для России, осуществленный Deloitte and Touche.[13] Общий показатель странового риска составил 7% (страна с умеренным риском). В рекомендациях Всемирного банка по оценке ставки дисконтирования предложены два варианта:
• к доходности безрисковой и премии за рыночный риск стран с развитым рынком прибавлять 7% как премию за страновой риск России и далее оценивать премии за коммерческий и финансовый риск;
• корректировать значение требуемой доходности по аналогичным корпорациям развитого рынка (среднерыночного риска) на поправочный коэффициент 1,5.
Метод оценки требуемой доходности акционерного капитала через корректировку требуемой доходности по заемному капиталу исходит из положения, что требуемая доходность в общем случае превышает безрисковую номинальную (с учетом инфляции) доходность на величину премии за риск. Чем выше риск, тем выше премия (больший "Процент требует рынок за предоставление денег в долг и выше требуемая доходность по акционерному капиталу):
ks>i>kf,
где i — требуемая доходность по заемному капиталу. Большая доходность объясняется большим систематическим риском (рис. 6.2).

Предполагается, что страновые риски (политический и развитости фондового рынка) находят отражение в премии (i — kf). Анализ промышленных корпораций, использующих заемный капитал в виде облигационного займа, показал, что премия за владение акцией составляет 3—4%, т.е. ks = i + 3%.






