КАЗАНСКИЙ ГОСУДАРСТВЕННЫЙ АРХИТЕКТУРНО-СТРОИТЕЛЬНЫЙ УНИВЕРСИТЕТ
Кафедра “Сопротивление материалов и основы теории упругости”
Дисциплина: ТЕХНИЧЕСКАЯ МЕХАНИКА,
Сопротивление материалов
ЗИФ
Вопросы для подготовки к зачету и экзамену
Часть I (зачет)
- Основные понятия и допущения (гипотезы) используемые в сопротивлении материалов. Деформируемые твердые тела и их свойства. Классификация внешних нагрузок и объектов исследования. Расчетная схема.
Расчетная схема – это схематическое изображение конструкции, условий его закрепления и нагружения.
Поверхностная нагрузка (Р, F и М), погонная сила (q).
Условия закрепления
![]() |
Неподвижный шарнир

Подвижный шарнир
![]() | |||
![]() | |||
Заделка
![]() |
Деформирование – это процесс изменения размеров тела.
Деформация – это число, которое характеризует изменение размера тела.
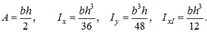
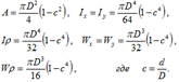
- Геометрические характеристики сечений (плоских фигур). Определение, свойства; моменты инерции простейших фигур (прямоугольника, треугольника, круга, кольца).
C - центр тяжести плоских сечений;
|
|
|
A - площадь сечения;
Ix, Iy - осевые моменты инерции сечения относительно главных осей;
IxI, IyI - осевые моменты инерции относительно вспомогательных осей;
Ip - полярный момент инерции сечения;
Wx, Wy - осевые моменты сопротивления;
Wp - полярный момент сопротивления
Момент инерции — скалярная (в общем случае — тензорная) физическая величина, мера инертности вовращательном движении
вокруг оси, подобно тому, как масса тела является мерой его инертности в поступательном движении. Характеризуется распределением масс в теле: момент инерции равен сумме произведений элементарных масс на квадрат их расстояний до базового множества (точки, прямой или плоскости).Прямоугольное сечение

Сечение равнобедренный треугольник

Сплошное круглое сечение

Кольцевое сечение

- Преобразование моментов инерции при параллельном переносе и повороте осей. Эллипс инерции.
Зависимость между моментами инерции при повороте осей
Сумма моментов инерции относительно любых взаимно перпендикулярных осей у и х не меняются при их повороте. Это показано и соотношением
.
Эллипс инерции
Введем новую геометрическую характеристику, которую назовем радиусом инерции.

Данный эллипс называется эллипсом инерции.
- Внутренние силовые факторы в брусе и их определение. Метод сечений. Дифференциальные уравнения равновесия прямого бруса.
Nz = N - продольная растягивающая (сжимающая) сила
Mz = T - крутящий (скручивающий) момент
Qx (Qy) = Q - поперечные силы
Mx (My) = M - изгибающие моменты
Это метод, который позволяет определять N в сложных конструкциях типа стержневой системы, например, фермы. Суть метода рассмотрим на простом примере, приведенном на рис.2.3.1. Пусть длины стержней l1=4 м, l2=5 м, ВС =3м. Тогда
;
.
|
|
|

рис.2.3.1.
Найдем усилия растяжения.
Сделаем сечение, которое делит конструкцию на две части. Нарисуем правую часть. На нее левая часть действует силами
.
Конструкция в целом находится в покое, следовательно, любая её часть то же находится в покое, тогда для правой части можно записать уравнения равновесия:

Отсюда, находим:

Дифференциальные уравнения равновесия


- Понятия о напряжениях и деформациях. Связь внутренних силовых факторов с напряжениями.
Она давит на нижнюю часть поверхностной нагрузкой
. Эта нагрузка называется нормальным напряжением. Другими словами, нормальное напряжение этоинтенсивность усилия сжатия или растяжения (т.е. это усилие растяжения или сжатия на единичную площадку сечения, которым одна часть тела действует на другую). Единица измерения:
(или Паскаль).

Рис.2.4.1 Рис.2.4.2
Напряжение s - это давление, которым одна часть тела воздействует на другую через рассматриваемое сечение.
- Центральное осевое растяжение-сжатие стержня. Продольные силы, их определение и построение эпюр.
- Напряжения и деформации при растяжении-сжатии. Закон Гука. Коэффициент Пуассона.
При условии, что внешние силы действуют по центрам сечений (рис.2.4.1) считается, что напряжение σ распределено по сечению равномерно, то есть
, причем, независимо от формы сечения.
И наоборот, если сила действует внецентренно, то напряжения распределены не равномерно (рис.2.4.2).










