Пусть
(18)
Дифференцируя формулу (18) m раз, получаем:
(19)
(20)
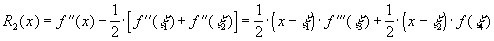
Рассматривая интерполяционный многочлен в форме Ньютона и используя обозначения
, имеем

Тогда


...

Оставляя в правых частях полученных формул только первые слагаемые, можно записать следующие простые приближенные выражения для производных:


................................................

Пусть
- достаточно гладкая функция.
Исследуем погрешность приближенных формул для производных первого и второго порядка.
Пусть 
(21)
где
,
- погрешность.
Заменяя значение функции в точке
по формуле Тейлора
, где
,
получаем
.
Еще раз применяя формулу Тейлора, получаем
, где
.
Таким образом, если функция
имеет ограниченную производную второго порядка, то погрешность в формуле (21) для любого
оценивается неравенством
(22)
где
, и при
.
В случае, когда
совпадает с одним из узлов интерполяции
или
, можно получить больше информации о погрешности приближенного решения. Пусть
. Используя формулу Тейлора

из (21) получаем
.
При
величина
(если третья производная функции
ограничена) бесконечно малая величина порядка
, т.е.
|
|
|
(23)
где
.
Формулу приближенного вычисления второй производной функции
рассмотрим для важного частного случая, когда
. Возьмем
. Тогда ее можно записать в виде
(24)
По формуле Тейлора
, 
, 
Подставляя эти выражения, получаем

Таким образом, если функция
имеет ограниченную производную третьего порядка, то погрешность формулы (24) для произвольной точки
оценивается следующим образом:
(25)
где
.
Если
, то используя для значений
и
формулу Тейлора, заканчивающуюся членом с производной 4 - го порядка, получаем для погрешности выражение
.
Таким образом, если функция имеет ограниченную производную 6-го порядка, то
(26)






