Первообразная

1.Первообразная. Функция F(х) называется первообразной для функции f (х) на промежутке X, если для любого х из Х выполняется равенство F'(x)=f(x)

Т.7.13 (Если F(х)-первообразная для функции f(х) на промежутке X, то у функции f(x) бесконечно много первообразных, и все эти первообразные имеют вид F (x)+С, где С - произвольная постоянная (основное свойство первообразной).

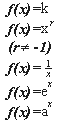
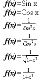
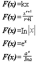
2.Таблица первообразных. Учитывая, что отыскание первообразной есть операция, обратная дифференцированию, и отталкиваясь от таблицы производных, получаем следующую таблицу первообразных (для простоты в таблице приведена одна первообразная F(х), а не общий вид первообразных F(х) + С:

Функция Первообразная Функция Первообразная


3.Правила вычисления первообразных:
1. Если F(х)-первообразная для f(x), а Н(х)-первообразная для h(х), то F(х)+Н(х)- первообразная для f(х)+h(х). Иными словами, первообразная суммы равна сумме первообразных.
2. Если F(х) - первообразная для f(х) и k - постоянная, то kF(х) - первообразная для kf(х). Иными словами, постоянный множитель можно вынести за знак первообразной.
3. Если F(х) - первообразная для f(х) и k, b- постоянные, причем k≠0, то F(kx+b) - первообразная для f (kх+b).

10) Основные тригонометрические тождества.





Подборка статей по вашей теме: