Расчет численности работающих на предприятии по нормам обслуживания и нормам численности

При планировании численности выделяют следующие понятия:

- явочная численность работников – численность фактически явившихся на работу

- среднеявочная численность – число явок работников в среднем за сутки за отчетный период времени (месяц, квартал, год)

- списочная численность – численность всех работников, состоящих в списках предприятия

- среднесписочная численность работников – среднеарифметическая величина суточной численности работников, значащихся в списках.

Сопоставление явочной со списочной численностью работников показывает степень использования численности работников списочного состава. Для установления явочной и списочной численности работников определяется фонд рабочего времени (ФРВ) исходя из 8-часовой рабочей смены.

Количество рабочих рассчитывается по списочному и явочному количеству, работников всех остальных категорий – только по списочному.

Численность рабочих определяется тремя методами:

1. По нормам времени:

, (2.1)

где ti – трудоемкость изготовления i-го изделия в нормо-часах.

Ni – количество i-ых изделий по плану.

- эффективный фонд времени одного рабочего.

Квн – коэффициент выполнения норм.

2. По штатным рабочим местам:

, (2.2)

где – эффективный фонд времени оборудования.

Riчисленность рабочих мест по обслуживанию i-го вида оборудования.

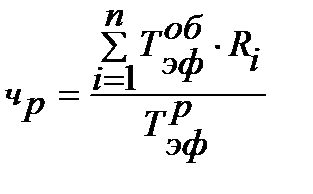
3. По нормам обслуживания:

, (2.3)

где Но – норма обслуживания – количество агрегатов, которое может обслужить один человек.

S – количество смен.

Расчет численности вспомогательных рабочих производится по трудоёмкости работ, по нормам обслуживания, нормативам численности и по рабочим местам:

Чвсп.р. = Кр.м. * Ксм, (2.4)

где Кр.м. – число рабочих мест;

Ксм – количество смен.

Расчет численности специалистов осуществляется на основе нормативов численности, которые разрабатываются по каждой выполняемой функции и в зависимости от факторов, обусловливающих объем работы по каждой функции.

Например, по каждой функции с помощью методов математической статистики устанавливается функция зависимости вида:

Нi = K * Ха * Ув,…Zп, (2.5)

где Нi – норматив численности по i-той функции управления

К – постоянный коэф., учитывающий уровень организации и механизации труда

Х. У, X – величина факторов

а, в, п - показатели степени..

Пример: для машиностроения зависимость норматива численности работников, занимающихся организацией труда и заработной платы, определяется как:

Нч = 0,087 * Рт 0,965, где

Нч – норматив численности

0.087 – коэф., показывающий долю работников по организации труда и зар.платы в общей численности ППП

Рт – численность промышленно-производственного персонала (ППП).

Численность НТР рассчитывается на основе плановой численности рабочих и принятых норм управляемости. Численность специалистов и служащих определяется на основе штатного расписания. Численность МОП определяется на основе норм обслуживания. Численность учеников определяется в соответствии с планом подготовки кадров. Численность охраны определяется в зависимости от охраняемой территории, количества постов, сменности работы, криминальной обстановки. Общая численность ППП определяется как сумма численности всех категорий работников.

Непромышленный персонал планируется в зависимости от состава выполняемых работ или по нормативам или по рабочим местам. На численность работников большое влияние оказывает характер производственных процессов, степень механизации и автоматизации труда, уровень развития НТП, квалификация трудовых ресурсов.





Подборка статей по вашей теме: