Основные требования организации дорожного движения

Как было рассмотрено выше, основная функция дорожного движения есть безопасность и скорость перемещения. Следовательно, можно определить основные требования, предъявляемые к организации дорожного движения.

Работа любой системы определяется качеством ее функционирования. Можно выделить несколько показателей качества функционирования - число и тяжесть ДТП, пропускная способность улично-дорожной сети, скорость передвижения и транспортные задержки, степень загазованности и уровень транспортного шума.

Современная ситуация, сложившаяся в дорожном движении предъявляет к системе организации и управления повышенные требования:

а) повышение уровня безопасности для движения;

б) повышение оптимальной скорости движения;

в) снижение числа и продолжительности задержек;

г) снижение вредных выбросов и снижение шума.

Насыщение городов автомобильных транспортом вызывает необходимость развития уличной сети, организации безостановочного движения.

Лекция 7. Локальные автоматизированные и автоматические
системы управления дорожным движением.

Безопасная организация движения транспортных и пешеходных потоков осуществляется благодаря использованию средств регулирования, с помощью которых производится передача информации всем участникам движения. Использование этой информации позволяет поддерживать определенный порядок в движении транспортных и пешеходных потоков, таким образом, чтобы снижалась или была сведена к минимуму вероятность возникновения аварийных ситуаций при условии достижения максимальной пропускной способности автомобильных дорог. Исторически, передача такой информации осуществлялась использованием стационарных средств, в виде дорожных знаков, в последующем дорожной разметки и осуществлялась человеком, передающим специальные сигналы участникам дорожного движения. По мере развития уровня автомобилизации и повышения плотности транспортных потоков, в особенности в городах, все в большей степени начала проявляться потребность в использовании автоматизированных и автоматических средств передачи информации водителям транспортных средств об обстановке сложившейся на проезжей части автомобильных дорог. Такая информация, будучи полученной водителем заблаговременно до приближения к конфликтному участку, позволяет изменить маршрут следования, либо принять меры, адекватные обстановке.

Становление и развитие автоматизированных и автоматических систем управления дорожным движением изначально было связано с необходимостью решения частных – локальных задач, возникающих на участках улично-дорожной сети – перекрестках и транспортных узлах, перегонах и т.п. местах. По этой причине их принято называть локальными, т.е. призванными решать частные задачи, наряду с глобальными или, как их иногда называют, стратегическими системами, которые используются для регулирования движения транспортных потоков в городах, как в единой системе.

Локальные системы нашли широкое распространение на практике и используются в настоящее время, конструктивно, такие системы постоянно совершенствуются.

При разработке АСУДД учитывают положения и закономерности теории транспортных потоков, где объектом управления является транспортный поток. Основными характеристиками потока, определяющими его свойства, являются интенсивность движения – q (количество транспортных средств, проходящих через определенное сечение дороги в единицу времени), плотность потока или его концентрация (количество транспортных средств, приходящихся на единицу длины дороги) и средняя скорость потока – v.

Эти три параметра транспортного потока связаны следующим основным уравнением:

(6.2)

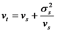
Различают два вида величины средней скорости потока: среднюю пространственную скорость v sи среднюю временную скорость vt, которые связаны следующим соотношением, выведенным для случая движения по дороге без пересечений:

(6.3)

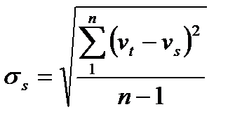
где среднее квадратическое отклонение, средней пространственной скорости;

v t – скорость отдельного i-го автомобиля;

n – число обследованных автомобилей;

vs – средняя пространственная скорость, т.е. средняя скорость n автомобилей, находящихся на заданном участке дороги в определенный момент времени;

v t – средняя временная скорость, т.е. средняя скорость n автомобилей, прошедших через заданное сечение дороги за определенный промежуток времени.

Графическое отображение уравнения, в котором в качестве значения скорости используется v s, представляет собой основную диаграмму транспортного потока (рис. 78). Построена эта диаграмма в виде зависимостей и для непрерываемого транспортного потока, движущегося по дороге без пересечений.

Рис. 6.1. Основная диаграмма транспортного потока: а – зависимость ; б – зависимость
Принято выделять три основных режима движения: свободный поток, групповое или неустойчивое движение и насыщенный поток. Свободный поток характеризуется малыми интенсивностями движения и отсутствием взаимных помех движению между отдельными автомобилями. С повышением интенсивности движения до максимального значения qs, соответствующего пропускной способности дороги, скорость v s уменьшается до величины, определяемой точкой (С) на основной диаграмме. В зоне (В – С), см. рис. 6.1 а, где интенсивность движения близка к максимальному значению, появляются существенные взаимные помехи движению автомобилей. В результате этого уменьшается возможность свободного обгона, и образуются группы автомобилей (колонны), движущиеся приблизительно с одинаковой скоростью. Режим движения в этой зоне является неустойчивым, поскольку небольшое увеличение количества групп в потоке может привести не только к уменьшению скорости v s, но и к переходу в область С – D, т.е. к снижению интенсивности движения. Поток в области D – Е принято называть насыщенным, или коллективным. Автомобили в таком потоке теряют свою индивидуальность, значительно уменьшается возможность совершить обгон. Движение приобретает пульсирующий характер с частыми остановками, одновременно увеличивается число попыток произвести обгон. При этом средняя скорость потока резко снижается, уменьшается вследствие этого и интенсивность движения.

Характерной чертой насыщенного коллективного потока является сильный разброс величины ускорений (замедлений) относительно среднего значения.

Экспериментальные исследования показали, что в зоне свободного потока зависимость является почти линейной для случая непрерываемого потока. В то же время наблюдения показывают, что в городских условиях скорость s практически не изменяется при увеличении интенсивности движения до 70% от значения пропускной способности, что, видимо, обусловлено действующим в городах ограничением скорости.

Анализ зависимости показывает (см. рис. 6.1, б), что как для непрерываемого транспортного потока, так и для городских условий движения существуют два характерных значения плотности потока kc и kj. Критическая плотность потока kc – это значение, до которого с увеличением k возрастает q. При изменении плотности потока от kc до kj(плотности потока в условиях затора) интенсивность движения уменьшается от максимального значения пропускной способности qc до нуля. При k = kjскорость потока также равна нулю. Тангенс угла наклона вектора, проведенного из начала координат в точке, лежащей на кривой , дает значение скорости v c в данной точке (см. рис. 6.1, б).

Наличие светофоров влияет на характер движения и структуру транспортных потоков, в которых появляются ярко выраженные группы автомобилей, вызванные периодическими задержками у перекрестков. От расстояния между этими группами, плотности потока в них, темпа рассредоточения и перемешивания (диффузии) зависит эффективность работы светофорной сигнализации. Параметры групп, природа диффузии отражают как непрерывные, так и дискретные свойства транспортного потока.

Если бы группа автомобилей, отправившаяся на зеленый сигнал, проходила весь перегон до следующего перекрестка как единое целое, то значение мгновенной интенсивности потока в группе для любой точки перегона оставалось бы постоянным. Такое явление могло бы существовать лишь при незначительном разбросе скоростей автомобилей, входящих в группу.

В действительности скорости автомобилей по различным причинам неодинаковы. В результате по мере удаления от стоп-линий мгновенная интенсивность движения вследствие диффузии групп монотонно убывает. Практически на расстоянии 800 – 1000 м от стоп-линии, отдельные группы автомобилей смешиваются и поток превращается в установившийся, с постоянными значениями интенсивности движения. На этот процесс влияют такие факторы, как реальный состав потока, расстояния между перекрестками, количество полос движения, ширина проезжей части и ее состояние, наличие подъемов и спусков.

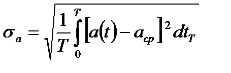
В результате возмущений, вносимых работой светофорной сигнализации, увеличиваются количества ускорений и замедлений автомобилей. Показатель, характеризующий отклонение случайных значений ускорения относительно среднего значения, называют шумом ускорения и определяют по формуле

(6.4)

где sа – шум ускорения; a(t) – ускорение в момент времени t; аср – среднее ускорение за интервал времени Т; Т – период измерения.

Шум ускорения характеризует меру равномерности движения потока вдоль магистрали. Однако, естественно, этот показатель не различает задержки, вызванной неудовлетворительной работой светофорной сигнализации на перекрестках, от задержки, обусловленной чрезмерной плотностью движения при хорошей работе светофоров. Поэтому в качестве меры равномерности движения в городских условиях может быть использовано также выражение:

. (6.5)

Случайный характер скоростей автомобилей и ускорений в потоке, приводящий к диффузии групп автомобилей, вызывает серьезные затруднения в управлении движением.

Постоянная форма групп автомобилей и неизменность их скоростей позволили бы точно предсказывать моменты прохождения ими перекрестков и составить оптимальное «расписание» работы светофоров. Диффузия групп, связанная со случайным характером движения автомобилей, вводит неопределенность в этот процесс, для количественного измерения которой введено понятие энтропии Н, используемое в теории информации, термодинамике и т.д.

Рис. 6.2. Изменение интенсивности движения во времени как случайный процесс : 1 – qi (t) – i-я реализация случайного процесса; 2 – M (qt) –математическое ожидание случайного процесса
Увеличение энтропии в данном случае означает увеличение неупорядоченности в движении автомобилей и случайности в форме их групп, а уменьшение энтропии – упорядочение потока, облегчающее управление. Работа светофорной сигнализации, приводящая к появлению характерных групп автомобилей, уменьшая энтропию, увеличивает упорядоченность движения на уличной сети города.

Если считать, например, что интенсивность движения в группе в определенный момент времени qt является случайной непрерывной величиной с плотностью распределения вероятностей f (gt), то ее энтропия может быть определена из выражения

, (6.6)

где математическое ожидание величины .

Если выполнить усреднение значений интенсивности движения, плотности потока и мгновенных скоростей движения в пределах групп за интервалы несколько десятков секунд, то получим представление о форме кривых, характеризующих изменение этих параметров при работе светофорной сигнализации на предыдущем перекрестке. В этом случае проявляется периодическое циклическое изменение величин q, k и v в такт работе светофорной сигнализации.

Рис. 6.3. Случайная интерпретация основной диаграммы транспортного потока
Интенсивность движения в любом сечении улицы определяется корреспонденцией между различными точками отправления и назначения. Характер корреспонденции и их количество зависят от транспортной активности жителей города, целей их поездок. Существующее расположение предприятий и жилья в городе вызывает периодическое изменение интенсивностей движения в различных точках уличной сети с характерно выраженными пиками. На различных направлениях пиковые периоды не совпадают во времени, а при радиально-кольцевой структуре уличной сети в центральной части города возможно явление «размазывания» пикового периода на значительном интервале времени (4 – 6 ч).

Формирование транспортных потоков в сети является сложным процессом, зависящим от многих факторов, связанных как с градостроительными, планово-экономическими и социальными аспектами, так и с методами и средствами организации движения. Городская уличная сеть в масштабах больших районов представляет собой сложную взаимосвязанную структуру. Поэтому любое изменение в условиях движения в одной из точек дорожной сети может привести к совершенно неожиданным результатам в другой. Особенно сильно подобные явления проявляют себя при работе магистралей на пределе пропускной способности. По этой причине, при управлении движением необходим единый подход к решению ряда задач.

Изменение интенсивности движения в любой точке городской дорожной сети по времени суток является случайным процессом, который является нестационарным и содержит в себе неслучайную составляющую, устойчивую во времени, см. рис. 6.2.

Эта неслучайная составляющая представляет собой математическое ожидание случайного процесса изменения интенсивности движения во времени M (qt). Поэтому интенсивность движения в данный момент времени в любом сечении улицы qt может быть представлена в виде суммы двух величин: неслучайной (детерминированной) Мдет и случайной (называемой иногда «шумом») qсл:

(6.7)

Невозможно точно предсказать значение интенсивности движения в заданный момент времени, но можно определить ее среднее значение, пределы и характер изменения.

Поскольку величины q, k и v связаны между собой, то они изменяются во времени аналогично, т.е.:

(6.8)

где k (t) – плотность потока в момент времени t;

kдет – детерминированная составляющая плотности потока;

kдет – случайная составляющая плотности потока.

Отсюда можно перейти к случайной интерпретации основной диаграммы транспортного потока (рис. 6.3).

Учитывая вероятностный характер условий движения транспортных потоков, при внедрении локальных АСУДД необходимо обследование состояния улично-дорожной сети города, с целью выявления закономерностей, свойственных конкретному его участку. Такие обследования как правило трудоемки и требуют значительных затрат времени и средств, их проведение характерно при использовании автоматизированных систем управления дорожным движением.





Подборка статей по вашей теме: