Расчет состава агрегата

С учетом рекомендаций [4] и [10] состав агрегата подбирают в следующей последовательности:

1. Выбирают марку трактора (Приложения 6, 8).

2. С учетом пределов агротехнически допустимых скоростей на вспашку, км/ч:

· плугом с культурным отвалом …….4,5…8;

· плугом со скоростным отвалом……..8…12

устанавливают для выбранного трактора рабочую и две резервные передачи и выписывают соответствующие им значения скоростей при работе агрегата под нагрузкой и холостых поворотах , а также номинальные тяговые усилия трактора для выбранных передач (Приложение 6).

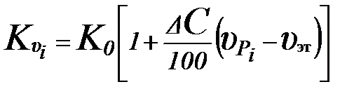
3. В соответствии со справочными данными [4] выбирают эталонное значение сопротивления машины-орудия для пахотного агрегата К0, которое получено при эталонной рабочей скорости υэт = 5км/ч, а также темп нарастания удельного сопротивления МТА при увеличении скорости ∆С (Приложение 7).

4. Определяют удельное сопротивление плуга на i-ой рабочей передаче по формуле:

, кН/м (10.1)

Результаты этого расчета и все последующие заносят в таблицу расчетных данных.

5. Рассчитывают максимальную ширину захвата пахотного агрегата по формуле:

, м (10.2)

где – вес трактора, равный

, кН (10.3)

где g – ускорение свободного падения, равное 9,81м/с2,

M – масса трактора (Приложение 8);

i – уклон пути движения агрегата, i = tg α;

– максимальный коэффициент использования усилия на крюке,

при вспашке;

– вес плуга, приходящийся на корпус (для основных марок

плугов вес плужного корпуса при ширине захвата корпуса

b = 0,35 м составляет 1,6…1,8 кН) [16];

C – поправочный коэффициент, учитывающий вес почвы на корпу- се плуга, С = 1,1…1,4 [4];

6. Определяют количество корпусов плуга:

(10.4)

и округляют до меньшего целого значения ni.

7. Рассчитывают общее сопротивление рабочей части пахотного агрегата с учетом угла подъема , кН:

= ni (10.5)

8. Определяют фактическое значение коэффициента использования усилия на крюке трактора :

= (10.6)

И проверяют соответствие его неравенству при вспашке

0,85 < < 0,9

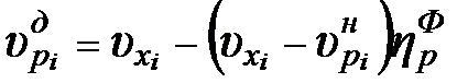
9. Устанавливают действительную скорость движения трактора с учетом фактической загрузки из формулы:

, (10.7)

где и – соответственно скорости движения трактора на холостом

ходу и рабочем режиме (Приложение 6).

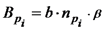
10. Вычисляют часовую производительность пахотного агрегата :

, (10.8)

где – действительная ширина захвата плуга, равная

, (10.9)

βкоэффициент использования конструктивной ширины

захвата, β = 1,05…1,1.

11. Находят фактический часовой расход топлива с учетом действительной загрузки трактора :

, (10.10)

где и – часовые расходы топлива соответственно на холостых

поворотах и рабочем режиме (Приложения 6, 9, 11).

12. Определяют погектарный расход топлива с учетом фактической загрузки пахотного МТА , кг/га:

, (10.11)

Выводы: рациональным для данных условий эксплуатации будет считаться тот вариант пахотного МТА, который обеспечивает эффективное использование усилия на крюке трактора, наибольшую часовую производительность при меньшем погектарном расходе топлива.

Определение прямых удельных эксплуатационных затрат. В их число входят параметры, определяемые в следующей последовательности:

1. Определяют сумму удельных отчислений на амортизацию и капитальный ремонт МТА ΣSа, руб/га по формуле:

, (10.12)

где – отчисления на амортизацию трактора, определяемые из

выражения:

, (10.13)

где aр – норма годовых отчислений на реновацию трактора, %.

(Приложение 11);

ак – норма отчислений на капитальный ремонт, %,

(Приложение 11);

Бтрбалансовая стоимость трактора, равная

Бтр = К · Птр, (10.14)

где К – коэффициент, учитывающий наценку на монтаж и

доставку машины, К = 1,2…1,4;

Птр – прейскурантная стоимость трактора, руб.;

Тг.тр – нормативная годовая загрузка трактора, (Приложение 11);

– отчисления на амортизацию сельхозмашины, в данном

случае, плуга:

, (10.15)

где ар – норма годовых отчислений на реновацию СХМ, %,

(Приложение 12);

Бсхмбалансовая стоимость СХМ, равная

Бсхм= 1,15 · Псхм , (10.16)

где Псхм – прейскурантная стоимость сельскохозяйственной машины,руб.;

Тг.схм – нормативная годовая загрузка СХМ, ч, (Приложение 12).

2. Определяют сумму удельных отчислений на текущий ремонт и техническое обслуживание МТА ΣSрем, руб/га:

, (10.17)

где – отчисления на текущий ремонт и техническое

обслуживание трактора, определяемые из формулы:

, (10.18)

где – суммарная норма годовых отчислений на текущий

ремонт и техническое обслуживание трактора, %,

(Приложение 11);

– отчисления на текущий ремонт и техническое

обслуживание СХМ, определяемое из формулы:

, (10.19)

где – суммарная норма годовых отчислений на текущий

ремонт и техническое обслуживание СХМ, %,

(Приложение 12).

3. Определяют затраты на заработную плату персоналу, обслуживающему агрегат, руб/га:

, (10.20)

где mмех , mВ – соответственно число механизаторов и вспомогательных

рабочих;

ƒ 1, ƒ 2 – сменная тарифная ставка соответственно механизатора

и вспомогательного рабочего.

Тарифные разряды механизированных работ дифференцированы по группам тракторов:

1 группа – колесные тракторы тяговых классов 0,2; 0,6; 0,8; и 1,4, в том числе ЮМЗ – 6, МТЗ – 82 и др.

2 группа – тракторы тяговых классов 2 и 3, в том числе: Т-70С, Т-100, ДТ-75 МВ, Т-150, Т-150К и др.

3 группа – тракторы тягового класса 4, 5, 6, в том числе: Т-4М, К-701, Т-100М и др.

Размер тарифной ставки (Приложение 14) определяют, принимая во внимание тарифный разряд механизированных работ (Приложение 13).

Снач – коэффициент начислений, Снач = 1,4.

4. Находят удельные затраты на топливо-смазочные материалы Sтсм, руб/га из формулы:

Sтсм= Цтсм · qга, (10.21)

где Цтсм – комплексная цена топливосмазочных материалов, руб/кг

5. Вычисляют затраты на вспомогательные материалы (обтирочная ветошь, рукавицы и т.п.):

Sв.м.вм · qвм, (10.22)

где Цв.м – цена вспомогательных материалов, руб/кг;

qвм – расход вспомогательных материалов.

S0=ΣSa+ΣSрем+Sз+Sтсм+Sв.м., (10.23)

Выбор рационального состава по расчетным данным двух вариантов пахотных МТА: заносят расчетные технико-экономические показатели, с учетом общих прямых эксплуатационных затрат двух пахотных агрегатов в таблицу, анализируют их и делают обоснованный вывод о целесообразности одного из них.

Анализ эффективности использования МТА

№ п.п. Состав агрегата Сменная выработка Wсм , га/см Удельный расход топлива q, кг/га Затраты труда Зт, чел·ч/га Общие прямые эксплуатационные удельные затраты Sо, руб/га
           
           

Выводы:

Контрольные вопросы

1. Перечислить правила комплектования машинно-тракторных агрегатов.

2. Какие параметры относят к числу технических показателей МТА при выполнении пахотных работ?

3. Назвать показатели, относящиеся к числу прямых эксплуатационных затрат.

4. Как определяют затраты на заработную плату персоналу, обслуживающему МТА?

5. Как определяют величину отчислений на амортизацию и капитальный ремонт МТА?

6. Как определяют величину отчислений на текущий ремонт и техническое обслуживание МТА?

7. Что необходимо знать для определения затрат на топливо-смазочные материалы?

8. По каким критериям определяют рациональный состав МТА?






Подборка статей по вашей теме: