В большинстве методов решения задач линейного программирования предполагается, что система ограничений состоит из уравнений и естественных условий неотрицательности переменных. Однако при составлении моделей экономических задач ограничения в основном формируются в виде системы неравенств, поэтому необходимо уметь переходить от системы неравенств к системе уравнений.
Это может быть сделано следующим образом:
Возьмем линейное неравенство a1x1+a2x2+...+anxn≤b и прибавим к его левой части некоторую величину xn+1, такую, что неравенство превратилось в равенство a1x1+a2x2+...+anxn+xn+1=b. При этом данная величина xn+1 является неотрицательной.
34. Общая формулировка задачи линейного программирования (ЗЛП). Матричная форма записи.
В общем случае задача линейного программирования записывается так, что ограничениями являются как уравнения, так и неравенства, а переменные могут быть как неотрицательными, так и произвольно изменяющимися.
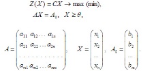
В том случае, когда все ограничения являются уравнениями и все переменные удовлетворяют условию неотрицательности, задачу линейного программирования называют канонической.
Она может быть представлена в координатной, векторной и матричной записи.
Каноническая задача линейного программирования в матричной записи имеет вид:

Здесь:
§ А — матрица коэффициентов системы уравнений
§ Х — матрица-столбец переменных задачи
§ Ао — матрица-столбец правых частей системы ограничений
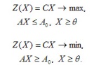
Нередко используются задачи линейного программирования, называемые симметричными, которые в матричной записи имеют вид:

35. Описание матрицы модели «затраты-выпуск» на примере межотраслевого баланса. Уравнения баланса для потребляющих и производящих отраслей
Для анализа и планирования производства и распределения продукции на различных уровнях- от народного хозяйства до отдельного предприятия применяются межотраслевой балансовый метод. На основе межотраслевого метода разрабатываются матричные экономико-математические модели. В матричных моделях балансовый метод, являющийся одним из важнейших методов планирования, получает строго математическое выражение.
Основа баланса- совокупность всех отраслей материального производства(n отраслей)
Каждая отрасль дважды фигурирует в балансе: как производящая и как потребляющая. отрасли как производителю продукции соответствует определенная строка, как потребителю столбец.
i-производящая отрасль
j-потребляющая отрасль
величина Xij- показывает стоимость средств производства, произведенных в i-ой отрасли и потребленных в j-oй
Формула охватывает систему n-уравнений отражающих стоимостный состав продукции всех отраслей материальной сферы.
Представленное выше уравнение- уравнение распределения или использования продукции отраслей материального производства.
36. Определение и формулы для расчета сумм TSS, RSS и ESS. Проверка общего качества уравнения регрессии на основе проверки значимости коэффициента детерминации R2.
Коэффициент детерминации (
— R-квадрат) — это доля дисперсии зависимой переменной, объясняемая рассматриваемой моделью зависимости, то есть объясняющими переменными