Одна из важнейших задач анализа вариационных рядов заключается в выявлении закономерности распределения и определении ее характера. Основной путь в выявлении закономерности распределения - построение вариационных рядов для достаточно больших со-вокупностей. Большое значение для выявления закономерностей распределения имеет правильное построение самого вариационного ряда: выбор числа групп и размера интервала варьирующего признака.
Когда мы говорим о характере, типе закономерности распределения, то имеем в виду отражение в нем общих условий, определяющих вариацию. При этом речь всегда идет о распределениях качественно однородных явлений. Общие условия, определяющие тип закономерности распределения, познаются анализом сущности явления, тех его свойств, которые определяют вариацию изучаемого признака. Следовательно, должна быть выдвинута какая-то научная гипотеза, обосновывающая определенный тип теоретической кривой распределения.
Под теоретической кривой распределения понимается графическое изображение ряда в виде непрерывной линии изменения частот в вариационном ряду, функционально связанного с изменением вариантов (значений признака). Теоретическое распределение может быть выражено аналитически - формулой, которая связывает частоты вариационного ряда и соответствующие значения признака. Такие алгебраические формулы носят название законов распределения.
|
|
|
Большое познавательное значение имеет сопоставление фактических кривых распределения с теоретическими.
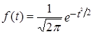
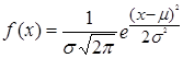
Как уже отмечалось, часто пользуются типом распределения, которое называется нормальным. Формула функции плотности нормального распределения:
.
Следовательно, кривая нормального распределения может быть построена по двум параметрам - средней арифметической ц и среднему квадратическому отклонению ст.
Гипотезы о распределениях заключаются в том, что выдвигается предположение о том, что распределение в генеральной совокупности подчиняется какому-то определенному закону. Проверка гипотезы состоит в том, чтобы на основании сравнения фактических (эмпирических) частот с предполагаемыми (теоретическими) частотами сделать вывод о соответствии фактического распределения гипотетическому распределению. Может проводиться и сравнение частостей.
Под гипотетическим распределением необязательно понимается нормальное распределение. Может быть выдвинута гипотеза о биномиальном распределении, распределении Пуассона и т.д. Причина частого обращения к нормальному распределению в том, что в этом типе распределения выражается закономерность, возникающая при взаимодействии множества случайных причин, когда ни одна из них не имеет преобладающего влияния. Закон нормального распределения лежит в основе многих теорем математической статистики, применяемых для оценки репрезентативности выборок, при измерении связей и т. д. В социально-экономической статистике нормальное распределение встречается редко, но сравнение с ним важно для выяснения степени и характера отклонения от него фактического распределения.
|
|
|
В главе 5 отмечалось, что близость средней арифметической величины, медианы и моды указывает на вероятное соответствие изучаемого распределения нормальному закону. Но более полная и точная проверка соответствия распределения гипотезе о нормальном законе производится с использованием специальных критериев, из которых рассмотрим наиболее употребимый критерий c 2 (хи-квадрат) К. Пирсона.
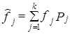
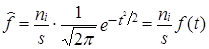
Для проверки гипотезы о соответствии эмпирического распределения закону нормального распределения необходимо частоты (частости) фактического распределения сравнить с частотами (частостями) нормального распределения. Значит, нужно по фактическим данным вычислить теоретические частоты кривой нормального распределения f̂ по формуле (для дискретных рядов):
, (7.27)
где п - объем выборки;
i - величина интервала вариационного ряда.
Значение ординат кривой нормального распределения f(t) можно получить по таблицам значения функции:
.
Проверяемая гипотеза формулируется как Н0: fj = f̂j альтернаивная - как Н1: fj ≠ f̂j.
Проверка гипотезы требует, чтобы был построен теоретический ряд распределения с частотами f̂j, соответствующими нормальному закону, при тех же значениях параметров распределения

Методика построения теоретического ряда такова:
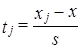
1. По фактическому интервальному ряду (табл. 5.6) вычисляются значения / для каждой группь< хозяйств по формуле (для интервальных рядов):
-для начала и конца интервала.
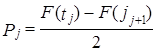
2. Вычисляется вероятность попадания единицы наблюдения в данный интервал при выполнении гипотезы о нормальном законе:
,
где |tj| > |tj+1|
3. Определяется теоретическая частота в данной группе, равная произведению объема совокупности на вероятность попадания в данный интервал:

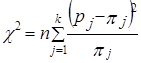
4. Находится значение критерия c 2 по формуле
(7.28)
где k — число категорий ряда распределения;
j - номер категории;
fj - частота эмпирического распределения;
f̂j - частота теоретического распределения.
При расчете c 2 частоты можно заменить частостями:
(7.29)
где pj - частости эмпирического распределения;
pj - вероятности теоретического распределения.
При этом, согласно Ф. Йейтсу (Jates), группы с теоретическими частотами менее 5 принято объединять, что снижает влияние случайных ошибок (см. [6]).
Если все эмпирические частоты равны соответствующим теоретическим частотам, то c 2 равно нулю. Очевидно, что чем больше отличаются эмпирические и теоретические частоты, тем c2 больше; если расхождение несущественно, то c 2 должно быть малым. Имеются специальные таблицы критических значений c 2 при 5%-ном и 1%-ном уровнях значимости. Критические значения зависят от числа степеней свободы (d.f. - degrees of freedom) и уровня значимости.
Число степеней свободы рассчитывается так: если эмпирический ряд распределения имеет k категорий, то k эмпирических частот f1, f2, …, fk должны быть связаны следующим соотношением:
Если параметры теоретического распределения известны, то только k - 1 частот могут принимать произвольные значения, т. е. свободно варьировать, а последняя частота может быть найдена из указанного соотношения. Поэтому говорят, что система из k частот благодаря наличию одной связи теряет одну «степень свободы» и имеет только k — 1 степеней свободы. Кроме того, если при нахождении теоретических частот р параметров теоретического распределения неизвестны, то они должны быть найдены по данным эмпирического ряда. Это накладывает на эмпирические частоты еще р связей, благодаря чему система теряет еще р степеней свободы. Таким образом, число свободно варьируемых частот (а значит, и число степеней свободы) становится равным:
|
|
|
d.f. = (k - 1 ) - р = k - (р + 1 ). (7.30)
Полученное значение критерия c2 сравнивается с табличным при числе степеней свободы, равном числу групп (с условием Ф. Йейтса), за минусом трех - по числу фиксированных параметров в формуле нормального закона распределения и с учетом равенства сумм теоретических и фактических частот (см. приложение, табл. 4).
В первой графе этой таблицы дано число степеней свободы, а в заголовках граф - уровни значимости. Если фактическое значение c 2 превышает табличное при том же числе степеней свободы, то вероятность соответствия распределения нормальному закону меньше указанной. Результаты расчета c 2 по данным табл. 5.6 (глава 5) приведены в табл. 7.5 при х = 30,3; s = 8,44.
Сумма теоретических частот нормального распределения меньше суммы фактических частот, так как нормальный закон не ограничен рамками фактических минимума и максимума.
Число групп после объединения малочисленных составило 7. Критическое значение c 2 по табл. 4 приложения при 7-3 = 4 степеням свободы и значимости 0,05 составляет 9,49. Значит, вероятность расхождения распределения с нормальным меньше 0,05, и вероятность соответствия его нормальному закону больше 0,95. Табличное значение c 2 для значимости 0,1 равно 7,78, что также больше фактического.
Таблица 7.5