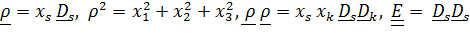
Из определения тензора инерции
, вычисляемого в актуальном положении твердого тела, ясно, что тензор инерции зависит от времени. Разложим вектор
и единичный тензор по базису
, жестко связанному с телом (рис. 5.6):
.
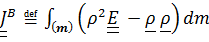
Тензор инерции примет вид
, где координаты
постоянные
величины, а
– это повернутые вместе с телом постоянные векторы
и
в отсчетном, например, при
положении. Таким образом,
это повернутый вместе с телом («вмороженный» в тело) постоянный тензор, т. е.
, где
. (5.20)
| Рис. 5.6. Тензор инерции |
| B |
|
|
|
|
| B |
|
|
|
|
|
|
|
| dm |
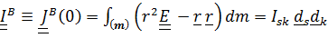
Далее мы будем говорить о постоянном тензоре
, координаты которого называются моментами инерции. Из (5.20) ясно, что тензор инерции симметричный
, т. е.
. Формально координаты
тензора в ортонормированном базисе вычисляются с помощью скалярного умножения тензора слева на
, а справа на
:
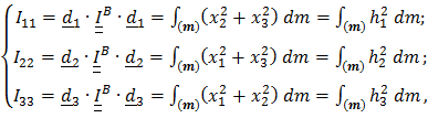
. (5.21)
Из (5.20) получим:
(5.22)
где
квадрат расстояния от элемента
до «k»– й оси,
. (5.23)
Моменты инерции (5.22) называются осевыми, а(5.23) – центробежными.
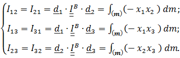
Из (5.22) следуют своеобразные «правила треугольника»:

Например,
,
причем ясно, что равенство возможно только в тех случаях, когда у всех точек тела координата
; например, если тело – бесконечно тонкий стержень или бесконечно тонкая пластина.






