Контрольная работа № 1. Тема «Теория производства фирмы »
(ОК-6, ОК-9, ОК-12, ПК-2, ПК-9)
Цель работы –отработка и закрепление профессиональных умений и владений.
Задание и методика выполнения: студенты индивидуально решают прикладные задачи по теме практической работы. После этого, работая в малых группах (3-5 чел.) находят наиболее эффективный метод решения задач и формулируют его теоретическое его обоснование.
Задача 1.
На рисунке показана ситуация равновесия потребителя при заданных ценах на товары X и Y и номинальной величине дохода потребителя:
Увеличение номинального дохода потребителя при прочих равных условиях станет причиной появления нового равновесного набора товаров X и Y, в котором будет:
e) больше и товара X, и товара Y;
f) меньше и товара X, и товара Y;
g) больше товара X и столько же товара Y;
h) больше товара Y и столько же товара X.
Обоснуйте ответ.
Задача 2.
На рисунке точкой оптимального поведения потребителя (положения равновесия) является точка А, В, С или D? Обоснуйте ответ.

Задача 3.
Функция спроса на товар имеет вид
где
– объем спроса в месяц в штуках,
– цена в рублях. Кривая предложения имеет вид:
где
– месячный объем предложения. Правительство ввело потоварный налог в размере 5 рублей за единицу продукции. Чему будет равно равновесное равновесное количество товара после введения налога (в шт.)?
Задача 4.
К движению из точки А в точку В вдоль кривой спроса на апельсины приведет: a) снижение цены на апельсины;
b) увеличение цены на мандарины;
c) рост доходов потребителей;
d) снижение цен на соковыжималки.
Обоснуйте ответ.

Задача 5.
Функция спроса населения на товар
, функция предложения
, где
– объем спроса в млн. штук в год,
– цена в рублях.
– объем предложения в млн. штук в год. Если цена на товар установится на уровне 5 рублей, то чему будет равна величина дефицита (избытка) товара (в млн. штук)? Ответ обоснуйте.
Задача 6.
Функция спроса населения на товар
функция предложения
где
– объем спроса в млн. штук в год,
– цена в рублях.
– объем предложения в млн штук в год. Чему будет равен равновесный объем товара (в млн штук) в год? Ответ обоснуйте.
Задача 7.
Предприятие выпускает в месяц 300 ед. продукции и реализует ее по цене 100 рублей. Какова должна быть рентабельность продукции (в %), чтобы месячная прибыль составила 12 тыс. рублей? Ответ обоснуйте.
Задача 8.
Деятельность предприятия характеризуется следующими данными: объем продаж равен 6 000 тыс. руб.; прибыль – 2 000 тыс. руб.; среднегодовая стоимость основных фондов – 2 400 тыс. руб. Чему равна фондоотдача согласно этим данным? Ответ обоснуйте.
Задача 9.
Деятельность предприятия характеризуется следующими данными: цена реализации единицы продукции – 100 руб.; объем реализуемой продукции – 1 000 ед.; общие издержки – 30 000 руб.; среднегодовая стоимость основных фондов 100 000 руб. Чему равна рентабельность (в %) согласно этим данным? Ответ обоснуйте.
Задача 10.
Предприятие выпускает в месяц 1500 кг пельменей и реализует их по цене 250 рублей. Какой должна быть рентабельность продукции (в %), чтобы месячная прибыль составила 75 тыс. рублей? Ответ обоснуйте.
Задача 11.
Себестоимость продукции составляет 2/3 цены. Цена единицы товара равна 24000 рублей. Если предприятие производит в месяц 20 единиц товара, то чему равна его ежемесячная прибыль (в тыс. рублей)? Ответ обоснуйте.
Задача 12.
Деятельность некоторого предприятия может быть охарактеризована следующими данными: за отчетный период было произведено и реализовано продукции на сумму 720 тыс. руб., среднегодовая стоимость основных производственных фондов составила 110 тыс. руб., средний остаток оборотных средств – 88 тыс. руб., амортизация – 20 тыс. руб., численность рабочих – 20 человек, прибыль от реализации продукции – 68 тыс. руб. Чему равен показатель рентабельности производства? Ответ обоснуйте.
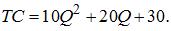
Задача 13.
Фирма, функционирующая в условиях совершенной конкуренции, имеет функцию общих издержек:
где
– объем производства, в тыс. штук. Цена продукции составляет 320 рублей. Какой вид будет иметь функция предельных издержек фирмы? Чему равен объем производства, максимизирующий прибыль? Ответ обоснуйте.
Задача 14.
Графики функций спроса и предложения на рынке представлены на рисунке. Чему равен излишек (выигрыш) покупателя и производителя? Ответ обоснуйте.

Задача 15.
Графики функций спроса и предложения на рынке представлены на рисунке. Чему равен излишек (выигрыш) покупателя и производителя? Ответ обоснуйте.

Задача 16.
Фирма, функционирующая в условиях совершенной конкуренции, имеет функцию общих издержек:
где
– объем производства, в тыс. штук. Цена продукции составляет 600 рублей. Какой вид будет иметь функция предельных издержек фирмы? Чему равен объем производства, максимизирующий прибыль? Ответ обоснуйте.
Задача 17.
Функция общих издержек фирмы имеет вид
Найдите постоянные, переменные и предельные издержки фирмы? Ответ обоснуйте.
Задача 18.
Известно, что коэффициент перекрестной эластичности спроса на макаронные изделия по цене гречки равен 2/3 и цена гречки выросла в 4 раза. На сколько вырос спрос на макаронные изделия? Ответ обоснуйте.
Задача 19.
На рисунке представлена графическая модель доходов и издержек фирмы-монополиста. Найдите объем монопольной прибыли при оптимальном объеме производства. Ответ обоснуйте.

Задача 20.
На рисунке представлена графическая модель доходов и издержек фирмы-монополиста. Найдите объем монопольной прибыли при оптимальном объеме производства. Ответ обоснуйте.

Контрольная работа № 2. Тема «Производство и распределение »
(ОК-6, ОК-9, ОК-12, ПК-2, ПК-9)
Цель работы –отработка и закрепление профессиональных умений и владений.
Задание и методика выполнения: студенты индивидуально решают прикладные задачи по теме практической работы. После этого, работая в малых группах (3-5 чел.) находят наиболее эффективный метод решения задач и формулируют его теоретическое его обоснование.
Задача 1.
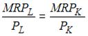
Правило минимизации издержек при использовании ресурсов труда и капитала обеспечивается соотношением предельной производительности труда (
) и капитала (
), цены труда (
) и капитала (
) в следующей форме:
| А) | ; ; ; |
| В) | ; ; ; |
| С) | ; ; ; |
| D) | ; ; ; |
Задача 2.
Кривая, показанная на рисунке отражает …

| А) | предложение ресурсов |
| В) | убывающую производительность ресурса |
| С) | величину спроса на ресурс |
| D) | величину спроса на товар, произведенный при помощи ресурса |
Задача 3.
Правило минимизации издержек при использовании ресурсов труда
и капитала
имеет вид …
| А) | |
| В) | |
| С) | |
| D) | |
Задача 4.
Кривая, показанная на рисунке, отражает …

| А) | предельную производительность ресурса |
| В) | предложение ресурса |
| С) | предельные издержки ресурса |
| D) | предложение товара, произведенного при помощи ресурса |
Задача 5.
Предельная производительность ресурса
может быть рассчитана по формуле …
| А) | |
| В) | |
| С) | |
| D) | |
Задача 6.
Условие максимизации прибыли фирмы при выборе количества используемого ресурса имеет вид:
| А) | |
| В) | |
| С) | |
| D) | |
Задача 7.
В таблице представлено распределение суммарного дохода в стране по четырем 25-процентным группам семей – от самой бедной до самой богатой. Чему равен квартильный коэффициент? Ответ обоснуйте.

Задача 8.
На рисунке представлено распределение суммарного дохода по четырем 25-процентным группам семей – от самой бедной до самой богатой. Чему равен квартильный коэффициент? Ответ обоснуйте.

Задача 9.
В таблице представлено распределение суммарного дохода по пяти 20-процентным группам семей (от самой бедной до самой богатой) в РФ в 2009 году. Чему равен квартильный коэффициент? Ответ обоснуйте.

Задача 10.
На рисунке представлено распределение суммарного дохода в стране по четырем 25-процентным группам семей – от самой бедной до самой богатой. Чему равен квартильный коэффициент? Ответ обоснуйте.

Контрольная работа № 3. Тема «Инфляция и антиинфляционная политика государства » (ОК-6, ОК-9, ОК-12, ПК-2, ПК-9)
Задача 1.
На основании данных об уровне инфляция за три квартала, который составил 6, 8 и 8% соответственно. Рассчитайте уровень инфляции за указанный. Ответ обоснуйте.
Задача 2.
Уровень инфляции за год по данным статистических отчетов составил 12,5 %. Номинальная ставка процента равна 34,5 %. Чему равна реальная ставка процента в этих условиях? Ответ обоснуйте.
Задача 3.
Известно, что инфляция за первые три квартала текущего года составила 2 %, Каков должен быть уровень инфляции в четвертом квартале, чтобы годовая инфляция не превысила ожидаемого уровня в 9 %? Ответ обоснуйте.
Задача 4.
Если уровень инфляции за год по данным статистических отчетов составил 40%, реальная ставка процента равна 4%, Чему равна номинальная ставка процента в этих условиях? Ответ обоснуйте.
Задача 5.
Уровень инфляции за год по данным статистических отчетов составил 15 %. Номинальная ставка процента равна 20 %. Чему равна реальная ставка процента в этих условиях? Ответ обоснуйте.
Задача 6.
Уровень инфляции за год по данным статистических отчетов составил 8%. Номинальная ставка процента равна 14%. Чему равна реальная ставка процента в этих условиях? Ответ обоснуйте.
Задача 7.
Динамика цен в стране оказалась такова, что уровень инфляции за три месяца снизился в два раза относительно прошлогодних показателей за аналогичный период, когда он составил 8, 6 и 10 % соответственно. Рассчитайте уровень инфляции за квартал в рассматриваемом году. Ответ обоснуйте.
Задача 8.
Уровень инфляции за год по данным статистических отчетов составил 15%, реальная ставка процента равна 3,5%. Чему равна номинальная ставка процента? Ответ обоснуйте.
Задача 9.
Известно, что инфляция за первые три квартала текущего года составила 8 %. Каков должен быть уровень инфляции в четвертом квартале, чтобы годовая инфляция не превысила ожидаемого уровня в 12 %? Ответ обоснуйте.
Задача 10.
На основании данных об уровне инфляция за три года, который составил 3,4, 2,8 и 1,6 % соответственно. Расчитайте уровень инфляции за указанный период. Ответ обоснуйте.
Задача 11.
Индекс цен в рассматриваемом году составил 1,28, в прошлом – 1,23. Рассчитайте уровень инфляции в рассматриваемом году. Ответ обоснуйте.
Задача 12.
Если уровень инфляции за год по данным статистических отчетов составил 60 %, реальная ставка процента равна 12 %. Чему равна номинальная ставка процента? Ответ обоснуйте.
Контрольная работа № 4. Тема «Занятость: рынок труда и безработица. Социальная политика государства » (ОК-6, ОК-9, ОК-12, ПК-2, ПК-9)
Задача 1.
Дневная заработная плата работника равна 580 руб. Продолжительность его рабочего дня – 8 ч. Если рабочий день увеличится до 12 ч., а повременная заработная плата – до 1140 руб. в день. Чему равна цена одного часа труда работника? Ответ обоснуйте.
Задача 2.
Тарифная ставка рабочего пятого разряда составляет 120 руб./ч. Продолжительность рабочего дня – 8 ч. Количество рабочих дней в месяце – 20 ч. Норма выработки – 20 деталей за смену, расценка за одну деталь – 40 руб. Фактическая выработка за месяц – 600 деталей. Чему равен заработок рабочего за месяц при прямой сдельной оплате труда? Ответ обоснуйте.
Задача 3.
За четыре года заработная плата в стране повысилась на 15 %, а стоимость жизни – на 25 %. Как изменился уровень реальной заработной платы? Ответ обоснуйте.
Задача 4.
Уровень оплаты труда за рассматриваемый год вырос на 17 % при первоначальном значении, равном 12 000 ден. ед. Индекс инфляции за тот же период составил 1,04. Как изменился уровень реальной заработной платы? Ответ обоснуйте.
Задача 5.
Оплата труда в некоторой отрасли осуществляется по тарифной сетке. У работника 3 разряда тарифный коэффициент равен 1,6. Ставка первого разряда составляет 8000 рублей. Чему равна заработная плата работника, если в текущем месяце он получил премию 2000 рублей? Ответ обоснуйте.
Задача 6.
Месячный оклад начальника отдела кадров фирмы составляет 18000 руб. В текущем месяце было 24 рабочих дня, размер премии из фонда материального поощрения в текущем месяце составил 25 % оклада. Работник отработал 20 рабочих дней (4 дня болел). Чему равна величина заработной платы за текущий месяц составила (без размера больничных)? Ответ обоснуйте.
Задача 7.
На рынке изделий из хрусталя спрос на труд описывается уравнением вида
, а предложение труда – уравнением вида
, где W – дневная заработная плата. На каком уровне установится заработная плата на данном рынке, если рынок находится в равновесии? Сколько при этом будет будет принято на работу человек? Ответ обоснуйте.
Задача 8.
Продолжительность рабочего дня – 8 часов, повременная заработная плата работника в сутки – 512 ден. ед. Сколько составит расценка за одно изделие при норме выработки 20 изделий при переводе рабочего на сдельную заработную плату? Ответ обоснуйте.
;
;
;
;
;
;
;
;
;
;
;






