Функции одной независимой переменной не охватывают все зависимости, существующие в природе. Многим явлениям возникающим, в том числе в технике, естествознании и экономике, свойственна многофакторная зависимость. Исследование таких зависимостей потребовало совершенствование математического аппарата, в частности, введения понятия функции нескольких переменных.
Примерами функций двух и нескольких переменных могут служить:
Ø площадь
прямоугольника со сторонами
и
, выражаемая формулой
, т.е. значения
определяются совокупностью значений
и
;
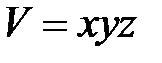
Ø Объем
прямоугольного параллелепипеда с ребрами
,
и
, выражается формулой
, т.е. значения V зависят от трех переменных.
Ø закон Ома, который гласит, что
, где I – сила тока, Е – электродвижущая сила, и R – сопротивление, т.е. значения I – определяются совокупностью значений Е и R;
Ø абсолютная температура
, давление
и объем
данной массы газа связаны формулой Менделеева – Клайперона
, где
- некоторая постоянная. Отсюда, например,
, т.е. значения
зависят от значений
и
;
Ø функция Кобба – Дугласа – производственная функция, показывающая объем выпуска продукции Y при затратах капитала К и трудовых ресурсов L. Для случая двух переменных она имеет вид
, где
– параметр производительности конкретно взятой технологии,
– доля капитала в доходе.
Ø Понятие функции полезности является одним из базовых в экономической теории. В широком смысле она выражает зависимость полезности, т.е. результата, эффекта некоторого действия от уровня (интенсивности) этого действия. Многомерным ее аналогом является функция
, которая выражает полезность от
приобретенных товаров.
Чаще всего встречаются следующие ее виды:
, где
,
;
б) функция постоянной эластичности
, где
,
,
.
Для изучения подобного рода зависимостей вводится понятие функций двух и нескольких переменных.






