Частные производные и дифференциалы высших порядков

1. Частные производные высших порядков. Частные производные функции нескольких переменных , сами являются функциями этих переменных и могут иметь частные производные. Для исходной функции эти последние производные будут частными производными второго порядка. Так, для функции двух независимых переменных можно определить (предполагается, что все производные существуют) четыре частные производные второго порядка, которые обозначаются символами

, ,

, .

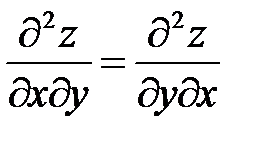
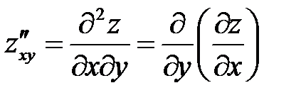
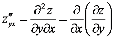
Определение 1. Частная производная второго или более высокого порядка, взятая по различным переменным, называется смешанной частной производной. Таковыми являются, например, , .

Теорема (Шварц). Если частные производные высшего порядка непрерывны, то смешанные производные одного порядка, отличающиеся лишь порядком дифференцирования, равны между собой.

В частности, для имеем: .

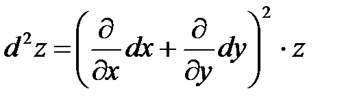
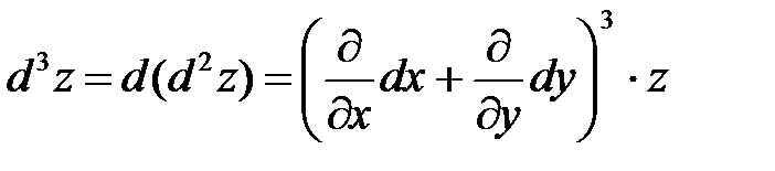
2. Дифференциалы высших порядков. Так как , по предположению имеют непрерывные частные производные первого порядка, то от функции , в свою очередь, можно взять полный дифференциал . Так получим полный дифференциал второго порядка ( или, кратко, второй дифференциал), который обозначается .

.

Символически это записывается так:

.

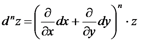
Аналогично, потребовав существование непрерывных частных производных третьего, четвертого, n – го порядков, можно получить полные дифференциалы третьего, четвертого, n – го порядков.

, , .

Рассмотрим типичные примеры, для решения которых используются приведенные определения и понятия:

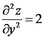
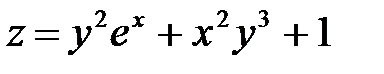
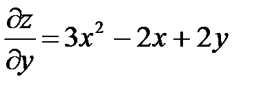
Пример 1. Найти частные производные второго порядка функции :

Решение.

, ,

, , , .

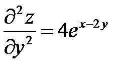
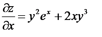
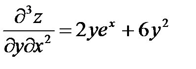
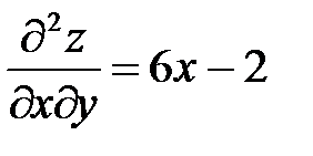
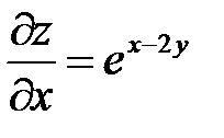
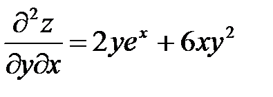
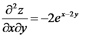
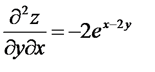
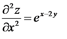
Пример 2. Вычислить и , если .

Решение. Последовательно находим:

, , ,

, , .

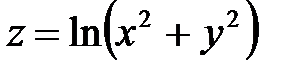
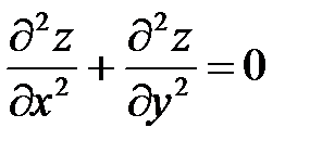
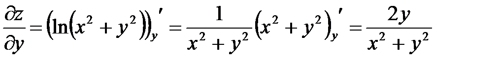
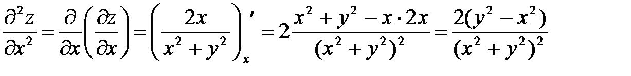
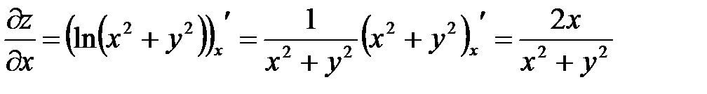
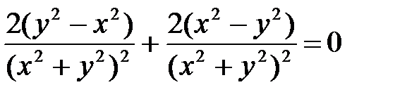
Пример 3. Показать, что функция удовлетворяет уравнению Лапласа .

Решение. Находим сначала первые производные:

,

.

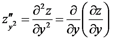
Находим производные второго порядка

,

.

Подставив найденные значения в заданное уравнение, получим

,

, что и требовалось показать.

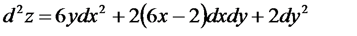
Пример 4. Найти дифференциал второго порядка функции

.

Решение. Находим первые и вторые частные производные:

, ,

, , .

Следовательно,

.





Подборка статей по вашей теме: