1. Сложная функция.
Предположим, что в уравнении
(1)
x и y являются функциями независимых переменных u и v:
,
(2)
в этом случае z есть сложная функция от аргументов u и v.
Конечно, z можно выразить и непосредственно через u и v, а именно:
, (3)
но в этом случае получаются сложные и громоздкие выражения.
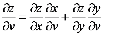
Предположим, что функции
,
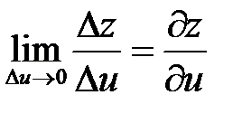
имеют непрерывные частные производные по всем своим аргументам и поставим задачу: вычислить
,
, исходя из уравнений (1) и (2) и не пользуясь уравнением (3).
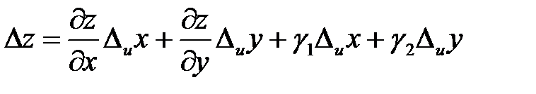
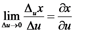
Дадим аргументу
приращение
, сохраняя значение
неизменным. Тогда в силу (2), x и y получат приращения
и
.
Но если x и y получат приращения
и
, то и функция
получит приращение
, определяемое формулой:
.
Разделим все члены этого равенства на
:
.
Если
, то
и
(в силу непрерывности функций x и y). Но тогда
и
тоже стремятся к нулю. Переходя к пределу при
, получим:
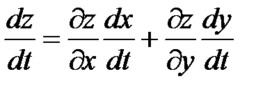
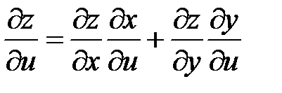
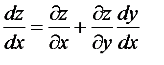
;
;
;
; 
и, следовательно,
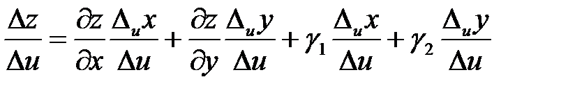
. (4)
Если дать приращение
переменной
, а
оставить неизменным, то с помощью аналогичных рассуждений, получим:
. (4`)
Таким образом, частная производная сложной функции по одной из независимых переменных равна сумме произведений ее частных производных по промежуточным аргументам на частные производные этих аргументов по независимой переменной.
Замечание 1. Производные сложных функций, зависящих от большего числа аргументов, вычисляются по аналогичным правилам.
Например, если
есть функция четырех аргументов z, u, v, s, а каждый из них зависит от x и y, то формулы (4) и (4`) принимают вид
(5)
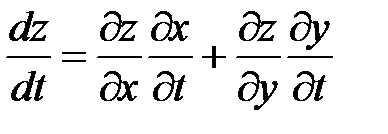
Пусть
– дифференцируемая функция своих переменных x и y, а x и y в свою очередь являются дифференцируемыми функциями от некоторого аргумента t. Тогда функция
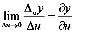
, по сути дела, является функцией только одного переменного t и можно ставить вопрос о нахождении производной
.
Эта производная вычисляется по формуле (4):
;
но так как
и
- функции только одного переменного, то частные производные обращаются в обыкновенные; поэтому
. (6)
Предположим, в частности, что роль независимой переменной играет x, т.е рассмотрим функцию
, где
. Тогда формула для вычисления производной, согласно (6) и учитывая, что
, имеет вид:
. (7)
Производная, вычисленная по формуле (7) называется полной производной функции.
В случае, когда
, где
, аналогично получаем:
.
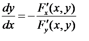
2. Неявно заданная функция одной переменной.
Функция y называется неявно заданной функцией от x, если она задана уравнением
(8)
не разрешенным относительно y. Это значит, что при каждом значении
при котором неявно заданная функция определена, она принимает такое значение
, для которого
.
Если
– дифференцируемая функция переменных x и y и
, то определяемая уравнением (8) неявная функция имеет производную, которая вычисляется по формуле
. (9)
Замечание 2. Последующие производные неявно заданной функции находятся последовательным дифференцированием равенства (9), при этом учитывается, что y есть функция от x.
3. Неявно заданная функция двух переменных.
Функция
называется неявно заданной функцией от x и
, если она задана уравнением
(10)
не разрешенным относительно
. Это значит, что при каждых значениях аргументов
и
из области определения неявно заданной функции, она принимает такое значение
, для которого
.
Если
– дифференцируемая функция трех переменных x, y,
и
, то определяемая уравнением (10) неявно заданная функция также дифференцируема, и ее частные производные находятся по формулам:
,
. (11)
Рассмотрим типичные примеры, для решения которых используются приведенные понятия и формулы:
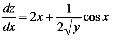
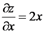
Пример 1. Найти
, если
,
,
.
Решение. Применим формулу (6):
,
,
,
.
Составим соответствующую сумму произведений
.
Учитывая, что
,
, получим:
.
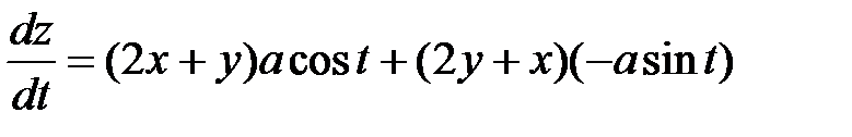
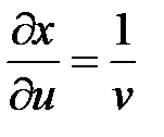
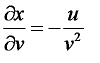
Пример 2. Найти
и
, если
, где
.
Решение. Имеем:
.
Для нахождения полной производной
используем формулу (7):
,
,
получим:
,
или, учитывая, что 
.
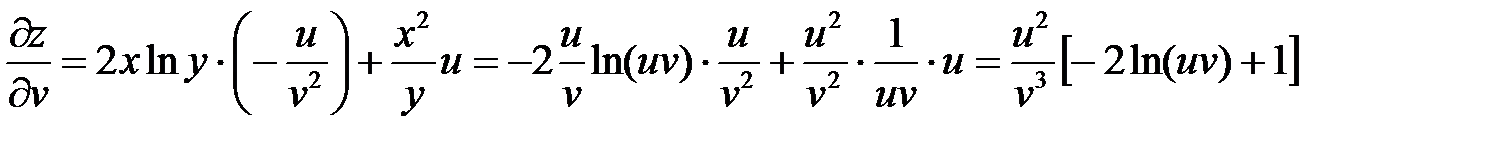
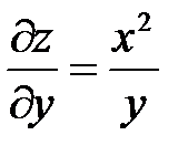
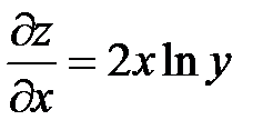
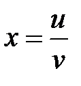
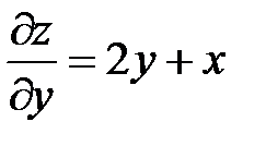
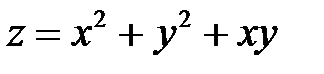
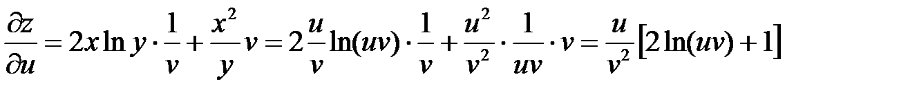
Пример 3. Найти частные производные сложной функции
,
где
,
.
Решение. Находим сначала частные производные данных функций:
,
,
,
,
,
.
По формуле (4) находим производные от сложной функции
:
;
.
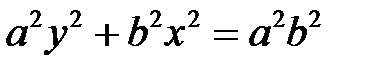
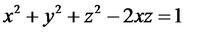
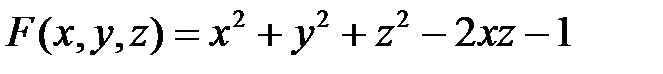
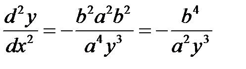
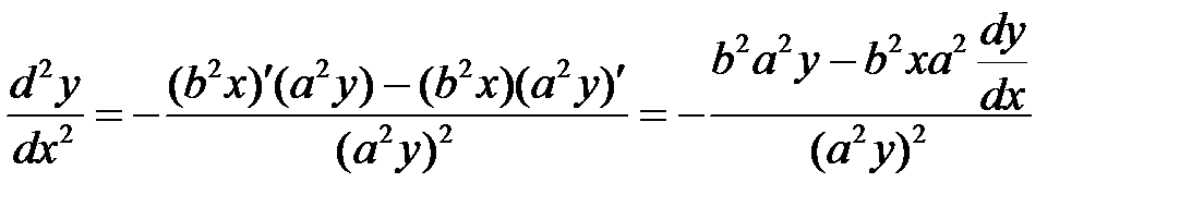
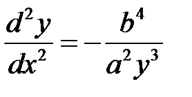
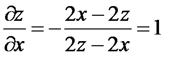
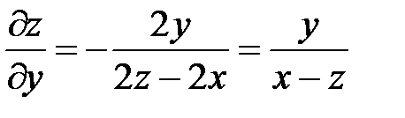
Пример 4. Функция
задана уравнением
; найти
и
.
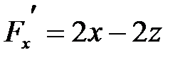
Решение. В данном случае
, поэтому
,
;
Следовательно,
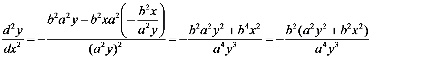
.
Считая в этом равенстве
функцией от
и дифференцируя его, найдем вторую производную неявной функции:
.
Используя уже найденное выражение для первой производной, получим:
,
далее, учитывая, что
, имеем:
.
Ответ:
,
.
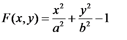
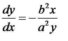
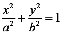
Пример 5. Найти
и
, если
.
Решение. В данном случае
,
поэтому
,
,
.
Следовательно, по формуле (11),
,
.