Полный дифференциал

Полное приращение функции z определяется равенством

. (1)

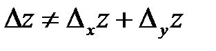
Замечание. Полное приращение функции, вообще говоря, не равно сумме частных приращений: .

Определение 2. Функция называется дифференцируемой в точке , если ее полное приращение в этой точке можно представить в виде

, (2)

где и при , .

Сумма первых двух слагаемых в равенстве (2) представляет собой главную часть приращения функции.

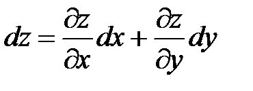
Определение 3. Полным дифференциалом ( или просто дифференциалом) функции называется главная часть приращения функции, линейная относительно и . Обозначается символом :

. (3)

Для независимых переменных x и y полагают и . Поэтому равенство (3) можно представить в виде

. (4)

Теорема 1. (необходимое условие дифференцируемости функции). Если функция дифференцируема в точке , то она непрерывна в этой точке, имеет в ней частные производные и , причем , .

Как следствие теоремы получаем формулу для вычисления полного дифференциала. Формула (4) принимает вид:

. (5)

Теорема 2 (достаточное условие дифференцируемости функции). Если функция имеет непрерывные частные производные и в точке , то она дифференцируема в этой точке и ее полный дифференциал выражается формулой (5).

Рассмотрим типичные примеры, для решения которых используются приведенные определения, теоремы и понятия:

Пример 1. Найти частные производные функций:

а) ; б) ; в) .

Решение.

а) Чтобы найти частную производную по x, считаем y постоянной величиной. Таким образом, . Аналогично, дифференцируя по y, считаем x постоянной величиной, т.е. .

б) Чтобы найти частную производную по x, считаем y постоянной величиной. Таким образом, . Аналогично, дифференцируя по y, считаем x постоянной величиной, т.е. .

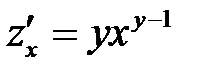
в) При фиксированном y имеем степенную функцию от x. Таким образом, .

При фиксированном x функция является показательной относительно y и .

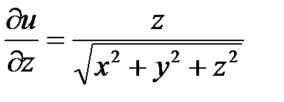
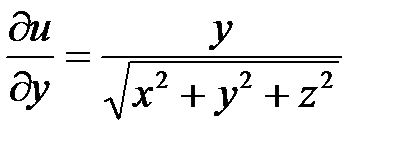
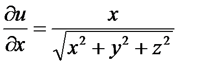
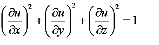
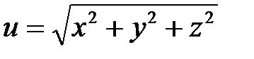
Пример 2. Показать, что функция удовлетворяет уравнению

.

Решение.

Находим

(при постоянных y и z);

(при постоянных x и z);

(при постоянных x и y).

Возводим эти выражения в квадрат и подставляем в левую часть заданного уравнения:

.

Получаем тождественное равенство, т.е. функция u удовлетворяет уравнению.

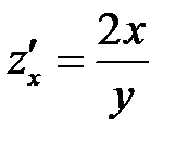
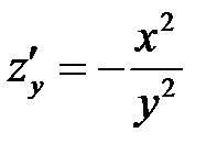
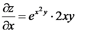
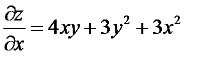
Пример 3. Поток пассажиров z выражается функцией , где x – число жителей; y – расстояние между городами. Найти частные производные этой функции и пояснить их смысл.

Решение.

Производная показывает, что при одном и том же расстоянии между городами увеличение потока пассажиров пропорционально удвоенному числу жителей. Производная показывает, что при одной и той же численности жителей увеличение потока пассажиров обратно пропорционально квадрату расстояния между городами.

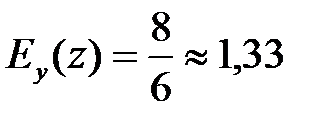
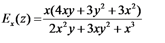
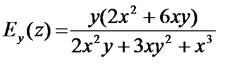
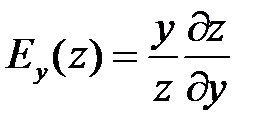
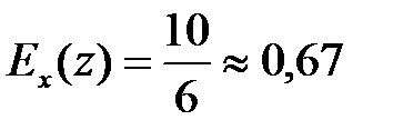
Пример 4. Пусть производственная функция, где x – затраты живого труда, y – затраты овеществленного труда. Найти эластичность функции: и в точке .

Решение.

Приближенный процентный прирост функции z, соответствующий приращению независимой переменой x на 1%,

,

а приближенный процентный прирост функции z, соответствующий приращению независимой переменой y на 1%,

.

Найдем частные производные по x и по y:

, .

Тогда

, .

В заданной точке , .

С увеличением затрат живого труда на 1% объем производства увеличится на 0,67%, а с увеличением затрат овеществленного труда на 1% объем производства увеличится на 1,33%.

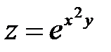
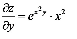
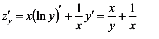
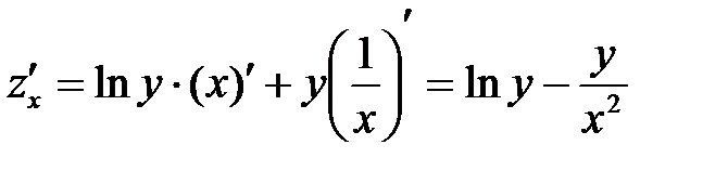
Пример 5. Найти дифференциал функции .

Решение.

1. Находим частные производные

; .

2. Используя формулу (5) получим выражение для дифференциала

.





Подборка статей по вашей теме: