Тема:Скалярное поле. Поверхности и линии уровня. Производная по направлению
§1. Скалярное поле. Поверхности и линии уровня.
Определение 1.1: Если в каждой точке пространства, или в части пространства определено значение некоторой величины, то задано поле данной величины.
Поле называется скалярным, если рассматриваемая величина скалярна, то есть вполне характеризуется своим числовым значением.
Иначе говоря, задание скалярного поля осуществляется заданием скалярной функции в точке М.
U=U(M)
Если в пространстве введена декартова система координат x,y,t, то
U=U(x,y,t) (1.1)
Если величина U=U(M) не зависит от времени t, то скалярное поле U называется стационарным (или установившемся).
Определение 1.2: Поверхностью уровня скалярного поля U(M) называется множество точек пространства, в которых функция U имеет постоянное значение:
U=U(M)=const. (1.2)
Пример 1.1: Построить поверхности уровня скалярного поляU=x+2y+3z.
Решение. Поверхности уровня определяются уравнениемx+2y+3z=c,где с=сonst. Это есть однопараметрическое семейство параллельных плоскостей.
|
|
|
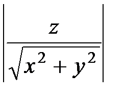
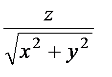
Пример 1 .2: Найти поверхности уровня скалярного поляU=arcsin

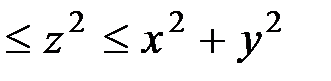
Решение. Область определения данного поля находится из неравенства
, то есть 0
, откуда0
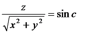
. Это двойное неравенство показывает, что поле определено вне кругового конуса z2=x2+y2и на нем самом, кроме его вершины О(0,0,0), поверхности уровня определяются уравнением
, где -
, то есть
или z2=(x2+y2)sin2c.Это есть семейство круговых конусов расположенных вне конуса z2=(x2+y2),с общей осью симметрии ОZ и общей вершиной О(0,0,0), в которой данное поле не определено, причем сам в конце z2=(x2+y2) также входит в это семейство.
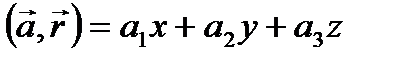
Пример 1.3: Найти поверхности уровня скалярного поля U=e(a,r)
,где
- постоянный вектор,
- радиус вектор точки М(x,y,z).
Решение. Здесьr=
=xi+yj+zk и пусть а=
=a1i+a2j+a3k. Тогда скалярное произведение векторов
,
имеет вид
. Уравнение поверхностей уровня будет:
e(a,r)=c, c>0, отсюда (
,
)=lnC. Это семейство параллельных плоскостей.
Если U есть функция двух переменных x,y; U=(x,y), то поверхностями уровня будут линии на плоскости OXY:U(x,y)=C,
которые называются линиями уровня.
Пример 1.4: Определить линии уровня скалярного поля U=1- x2- y2.
Решение. Линиями уровня будут линии с уравнением:
Z=1- x2-y2=C, это окружность радиусом R. x2+y2=R2, где R=
.






