Пусть имеем скалярное поле, определяемое скалярной функцией U=f(M). Возьмем в поле точку М0 и выберем некоторое направление, определяемое вектором
. Возьмем в поле другую точку М1 так, чтобы вектор
был параллелен вектору
.
Обозначим через
разность
. А через
длину вектора
. Отношение
определяет среднюю скорость изменения скалярного поля на единицу длины по данному направлению.
Будем стремить точку М1 к точке М0 так, чтобы вектор
оставался все время коллиниарен вектору
. При этом
.

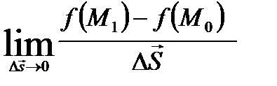
Определение 1.3. Если существует при
предел отношения
, то его называют производной функциеи U=f(M) в данной точке М0 по направлению
и обозначают символом
. Так что по определению
=
=
,
.
Это определение производной по направлению носит инвариантный характер, то есть не связано с выбором системы координат.
Пусть в пространстве введена декартова система координат и пусть функция f(M)=f(x,z,y) дифференцируема в точке М0(x0,y0,z0).Тогда
(1.3.)
где cos
, cos
, cos
- направляющие косинусы вектора 
. Находятся по формулам
,
.
(1.4)
символы
, означают, что частные производные берутся в точке М0.
|
|
|
Пример 1.5. Найти производную скалярного поля U=x2+y2+z2 в точке М0(1;2;-1) в направлении вектора
.
Решение. а) Находим направляющие косинусы вектора по формуле (1.4):
= 
=
,
=
(1.5) 
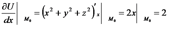
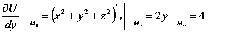
б) Находим частные производные функции в точке М0(1;2;-1)

(1.6.)

(1.5) и (1.6) подставляя в (1.3), получим

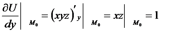
Пример 1.6. Найти производную скалярного поля U=xyz в точке М0(1;-1;1).
Решение. а) Находим направляющие косинусы вектора 
= 
=
(1.7.)
б) Находим частные производные функций в точке М0(1;-1;1).

(1.8)

Используя формулы (1.3) и учитывая (1.7), (1.8) имеем
Для плоского поля U=f(x,y) производная по направлению
в точке М0(x0,y0,z0) будет равна
, (1.9)
где
- угол, образованный вектором
с осью ox.
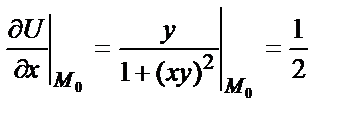
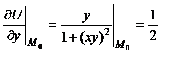
Пример1.7. Вычислить производную скалярного поля U=arctgxy в точке М0(1,1), принадлежащей параболе y=x2, по направлению этой кривой (в направлении возрастания абсциссы).
Решение. Направлением
параболы у=х2 в точке М0(1,1) считается направление касательной к параболе в этой точке.
Пусть касательная
к кривой в точке М0 образует с осью ох угол
. Пусть
откуда направляющие косинусы касательной
.
Значение частных производных данной функции U(x,y) в точке М0(1;1)
;
.