Рассмотрим задачу, специфическую для функций нескольких переменных, когда ее экстремум ищется не на всей области определения, а на множестве, удовлетворяющем некоторому условию.
Пусть имеется функция
, аргументы x и y которой удовлетворяют условию
, называемому уравнением связи.
Определение 1. Точка
называется точкой условного максимума или минимума, если существует такая ее окрестность, что для всех точек
из этой окрестности, удовлетворяющих условию
, выполняется неравенство
или
.
Наиболее простым способом нахождения условного экстремума функции двух переменных является сведение задачи к отысканию экстремума функции одной переменной. Допустим, уравнение связи
удалось разрешить относительно одной из переменных, например выразить y через x, т.е
. Подставив полученное выражение в функцию двух переменных, получим
, т.е. функцию одной переменной. Ее экстремум и будет условным экстремумом функции
.
Для отыскания условного экстремума в общем случае используется метод множителей Лагранжа.
Рассмотрим функцию трех переменных
.
Эта функция называется функцией Лагранжа, а
- множителем (коэффициентом) Лагранжа. Доказывается следующая теорема:
Теорема 1. Если точка
является точкой условного экстремума функции
при условии
, то существует значение
такое, что точка
является точкой экстремума функции
.
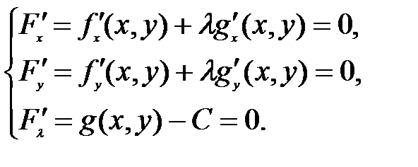
Таким образом, для нахождения условного экстремума функции
при условии
требуется найти решение следующей системы:

Последнее из этих уравнений совпадает с уравнением связи. Данная система выражает необходимые условия Лагранжа условного экстремума.
Из этой системы уравнений находят критические точки условного экстремума.
Определение 2. Точка
называется критической точкой функции Лагранжа, если
,
,
(или не существуют).
Для исследования критических точек на экстремум вычисляем в полученных точках значения
,
,
,
,
и составляем определитель
.
Тогда достаточные условия условного экстремума запишутся в следующем виде:
1. Если
, то функция
имеет в точке
условный минимум;
2. если
- то условный максимум.
Исследование функции на условный экстремум с помощью метода множителей Лагранжа проводится по следующему алгоритму:
1. Составить функцию Лагранжа
.
2. Найти частные производные
,
,
и приравнять их к нулю, т.е. составить необходимые условия экстремума функции Лагранжа.
3. Решить систему уравнений

и найти критические точки.
4. Найти частные производные:
,
,
,
,
.
5. Вычислить значения найденных частных производных в каждой критической точке.
6. Из найденных значений составить определитель
.
7. С помощью достаточных условий сделать вывод о характере экстремальной точки.
8. Найти значения функции в точках условного экстремума.
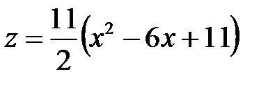
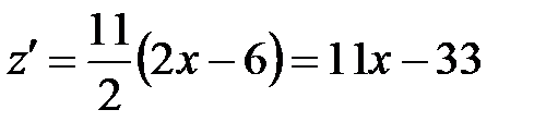
1. Находим производную
.
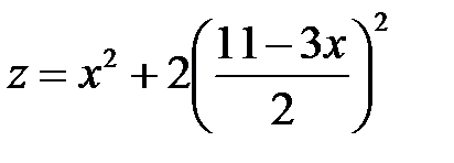
Решение. Из уравнения связи
выразим переменную y через переменную x и подставим полученное выражение
в функцию z. Получим
или
. Эта функция одного переменного. Исследуем ее на экстремум:
Пример 1. Исследовать на экстремум функцию
при условии
.
Рассмотрим типичные примеры для решения которых используются приведенные понятия, определения и теоремы: Геометрический смысл условий Лагранжа. Линия
пунктирная (рис.1), линии уровня
функции
– сплошные. В точке условного экстремума линия уровня функции
касается линии
.
2. Приравняем производную к нулю, получим уравнение
, решением которого служит значение
.
3. Находим вторую производную
, так как ее значение в критической точке больше нуля, то по второму достаточному условию экстремума делаем вывод, что
– точка минимума функции
.
При этом соответствующее значение функции
. Таким образом,
– точка условного экстремума (минимума) и
.
Ответ:
– точка условного минимума;
.
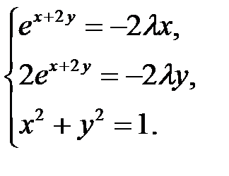
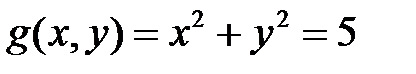
Пример 2. Найти экстремумы функции
при условии
.
Решение. Используем метод множителей Лагранжа. Уравнение связи имеет вид:
.
1. Составим функцию Лагранжа:
;
2. Находим частные производные:
,
,
.
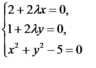
3. Приравняем частные производные к нулю, получим систему:

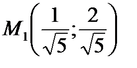
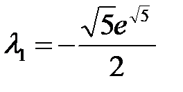
Таким образом, получили две критические точки
при
и
при
.
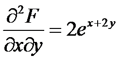
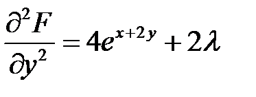
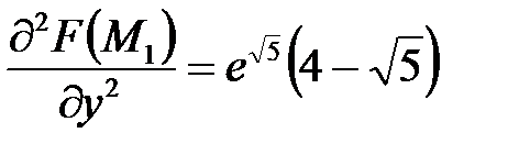
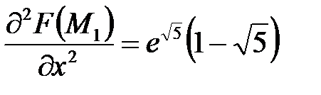
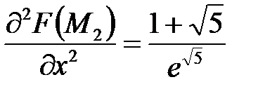
4. Находим следующие производные:
;
;
,
;
.
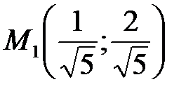
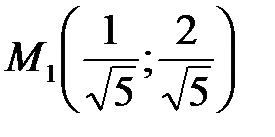
5. Вычисляем значения найденных частных производных в каждой критической точке:
1)
при
:
;
;
,
;
;
2)
при
:
;
;
,
;
.
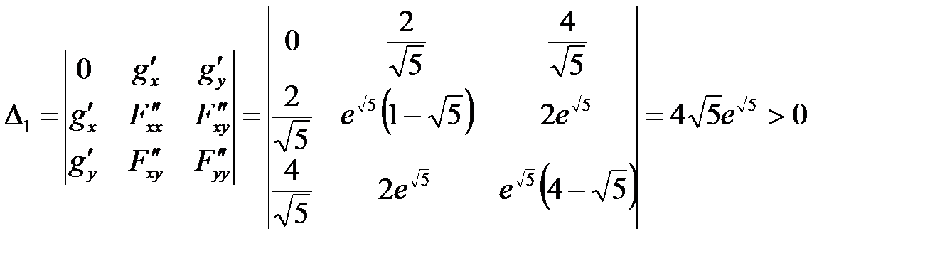
6. Составляем из найденных значений определитель:
1)
,
2) 
7. Проверяем в каждой точке выполнение достаточного условия. Так как
, то в точке
условный минимум; а из того, что
делаем вывод, что в точке
условный максимум.
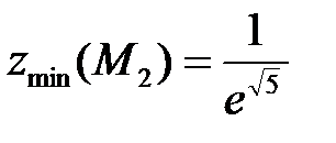
8. Вычисляем значения функции в критических точках:
,
.
Ответ:
при
- точка условного максимума,
;
при
– точка условного минимума,
.
Пример 3. Найти экстремумы функции
при условии, что
.
Решение. Используем метод множителей Лагранжа.
1. Составим функцию Лагранжа:
;
2. Находим частные производные:
,
,
.
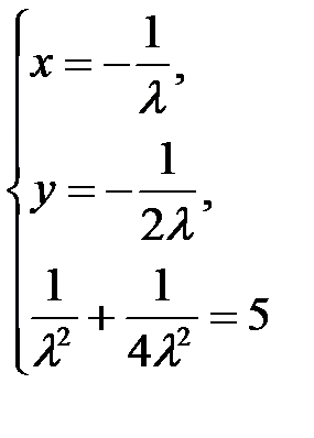
3. Приравняем частные производные к нулю, получим систему:

Из первых двух уравнений системы находим
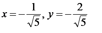
; подставляем это выражение в третье уравнение, получаем два решения
и
. Таким образом, получили две критические точки
при
и
при
.
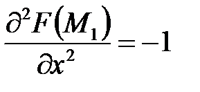
4. Находим следующие производные:
;
;
,
;
.
5. Вычисляем значения найденных частных производных в каждой критической точке:
1)
при
:
;
;
,
;
;
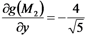
2)
при
:
;
;
,
;
.
6. Составляем из найденных значений определитель:
1)
,
2)
.
7. Проверяем в каждой точке выполнение достаточного условия. Так как
, то в точке
условный максимум; а из того, что
делаем вывод, что в точке
условный минимум.
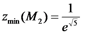
8. Вычисляем значения функции в критических точках:
,
.
Ответ:
при
- точка условного максимума,
;
при
– точка условного минимума,
.