2.1. Уравнение вида
(Pr(x)-многочлен)
На основании Леммы 14.1 достаточно уметь находить частное решение, когда правая часть f(x) задана в виде
f(x)=Pm(x)eax=(Pmxm+Pmxm-1+…+P0)eαx
1.Пусть
F(k)=km+P1km-1+P2km-2+…Pn-1k+Pn=0 (14.3)
Характеристическое уравнение соответствующее однородному уравнению.
L[y]=0 (14.1)
И α –не является корнем характеристического уравнения, F(α)=0
Мы докажем, что в этом случае существует частное решение того же вида, что и правая часть, а именно
Y=Qm(x) (14.4)
Где Qm(x)=bmxm+bm-1xm-1+…+b1x+b0, рассматривая bm, bm-1,…,b1b0 как неизвестные.
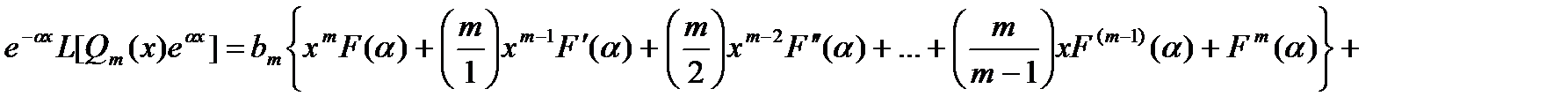
Определим эти коэффициенты. Нетрудно заметить, что
L[Qm(x)eα.x]=Pm(x)eα.x
или
e-α.xL[Qm(x)eα.x]= Pm(x) (14.5)
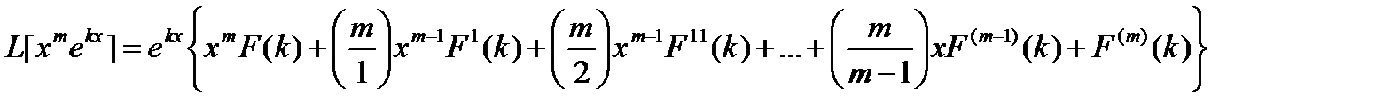
вычислим левую часть, применяя формулу
(14.6)
То есть

(14.7)
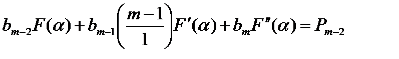
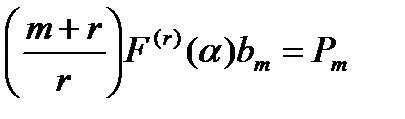
Приравнивая выражения (14,5) многочлену Pm(x) и отождествляя коэффициенты при одинаковых степенях x, получим m+1 уравнений c m+1 неизвестными b0,b1,…,bn,
bmF(α)=Pm
(14.8)
……………………………………………………..=…………
Так как по условию α не является корнем характеристического уравнения, то F(α)=0
Система (14.8) дает возможность последовательно вычислить

(14.9)
И так далее.
Таким образом, мы находим искомое частное решение (14.4). [Разрешимость системы (14.8) относительно b0,b1,…,bm, можно сразу увидеть из того, что ее определитель равен [F(α)]m+1=0].
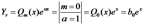
Пример14.1: Найти решение уравнения
(14.10)
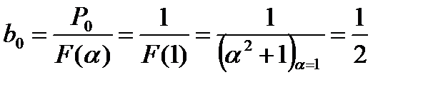
Решение: В нашем случае f(x)=Pm(X)eαx, m=0, α=0, P0=0. Число α=1, не является корнем характеристического уравнения F(k)=k2+1=0, F(1)=12+1=20, поэтому частное решение ищем в виде

Согласно (14.8), имеем

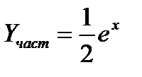
Следовательно

Общее решение уравнение (14.9) имеет вид

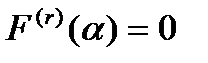
1. Пусть теперь α является корнем характеристического уравнения кратности
. Тогда
. Формула (14.6) показывает, что в это случае
есть произведение
на многочлен степени
. Чтобы получить в результате подстановки в левую часть уравнения
, умноженное на многочлен степени m, естественно искать частное решение в этом случае в виде
(14.11)
Подставляя это выражение в уравнение

И требуя, чтобы (14.11) было решением уравнения, мы приходим к условию
(14.12)
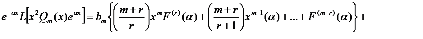
Вычисляя левую часть, пользуясь формулой (14.6) и учитывая, что
, имеем

(14.13)

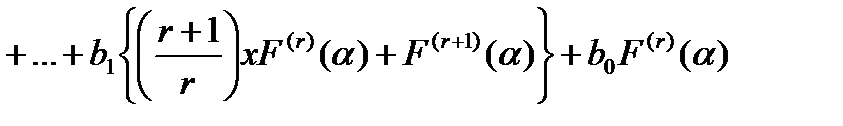
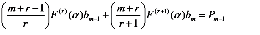
Подставляя выражение (14.13) в равенство (14.12) и приравнивая после этого коэффициенты при одинаковых степенях х в обеих частях равенства (14.12), опять получаем систему (m+1) уравнений для определения b0,b1,b2…,bm,
………………………………………………………………………………. (14.14)
Определитель системы (14.14) равен

Поэтому все неизвестные
определяются однозначно, и мы получаем решение вида (14.11).
Теорема 14.1 Частное решение линейного уравнения с постоянными коэффициентами и с правой частью вида
может быть найдено в виде
где
есть кратность α характеристического уравнения, Qm есть многочлен той же степени, что Pm(x).
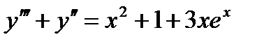
Пример 14.2: Решить уравнение 
, 
Характеристического уравнение очевидно имеет вид
, его корни
, 
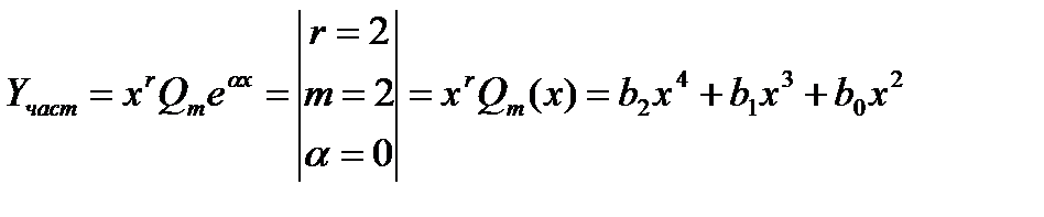
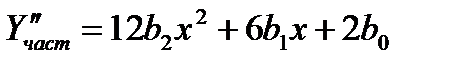
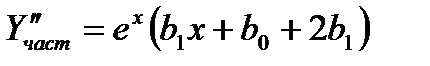
Рассмотрим сначала первое уравнение; в правой части нет показательного множителя, следовательно α=0, но нуль есть двух кратный корень характеристического уравнения. Тогда, согласно изложенному выше, должны искать частное решение в виде

Находим



Подставляя в уравнение, получим:
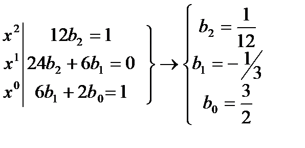
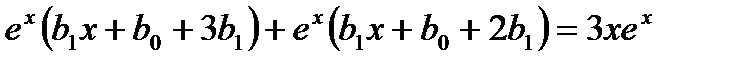
24b2x+6b1+12b2x2+6b1x+2b0=x2+1

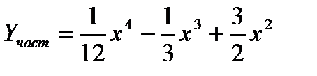
Следовательно

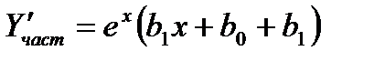
Переходим ко второму уравнению. Здесь α=1 не является корнем характеристического уравнения. Ищем частное решение в виде
находим 
, 
Подставляя в уравнение, имеем


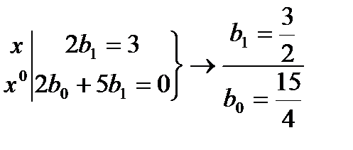
Приравниваем коэффициенты.

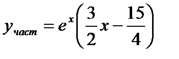
Искомое значение 
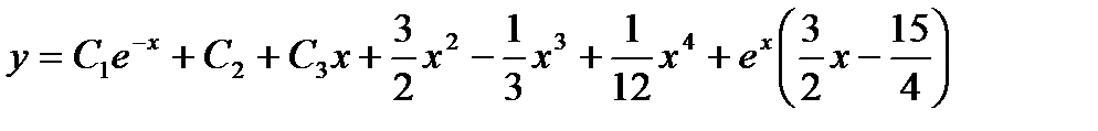
Общее решение данного уравнения, есть

Пусть правая часть уравнений (14.1) имеет вид

И в частности
или 
Где
многочлен степени m, а α и β – действительные числа. Заметим, что cosβx, sinβx выражается линейно через показательные функции eiβx, e-iβx
После замены тригонометрических функций показательными это выражения обратится в такое

В частности


В силу пункта 1,2 мы должны искать частное решение в виде
(14.15)
Если
суть корня характеристического уравнения кратности r. Легко видеть, что системы уравнений (14.8) или (14.14) для определения коэффициентов многочлена
соответствующая система для
получается переходам к комплексным сопряженным значениям коэффициентов уравнений, следовательно, коэффициенты многочлена
окажутся комплексными сопряженными с соответствующими
.
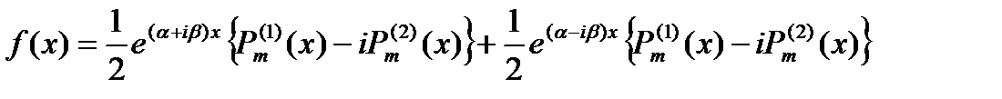
Поэтому, отделяя действительную часть от мнимой части, мы получим: если
то
. Подставляя эти многочлены в выражение (14.15) и переходя от показательных функций к тригонометрическим, находим искомое выражение

Это выражение не содержит комплексных величин. В случае, если
суть корня характеристического уравнения кратности r, то частное решение ищется в виде

Теорема 14.2 Частное решение линейного уравнения с постоянными коэффициентами и с правой частью вида

Можно найти в форме

где
(х) и
(х) многочлены той же степени, что
и
(или наибольшей, если эти степени не равны), а
есть кратность корня
характеристического уравнения.
На практике опять пишут многочлены
(х) и
(х) с неопределенными коэффициентами, подставляя в уравнение и приравнивают коэффициентами, подставляя в уравнение и приравнивают коэффициенты в обеих частях при выражениях вида х1
и
. Впрочем, иногда удобно производить вычисления и с иными показателями.
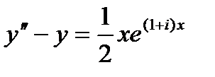
Пример 14.3: Проинтегрировать уравнение 
Решение: Характеристическое уравнение имеет вид
,
то, есть выражения
не является корнем характеристического уравнения
, поэтому частное решение ищем следующим образом:
Представляем правую часть в виде

И ищем частное решение уравнения
в форме 
Имеем


Подстановка в уравнение дает

Откуда

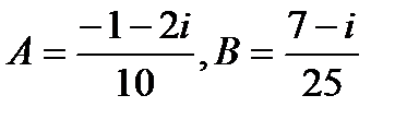
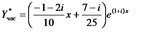
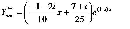
Итак,

Решение
уравнения
будет комплексным сопряженным 

Складывая
и
и переходя к тригонометрическим функциям, получаем частное решение заданного уравнения в виде

Тогда общее решение имеет вид

частное решение рассматриваемых задач можно искать в виде

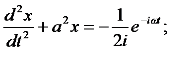
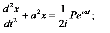
Пример 14.4:Найти общее решение уравнение упругих колебаний без сопротивления при наличии возмущающий периодической силы имеет вид

Решение: Составим характеристическое уравнение, соответствующему однородному уравнению
так как
следовательно в силу Леммы 14.1 имеем:

Следовательно, возможны два случая
1.ω=а. (Частота возмущающей силы не равна частоте собственных колебаний системы)
Тогда частное решение должно иметь вид

И находим 


Подставляя в уравнение имеем


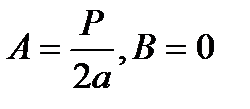
Откуда

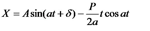
Следовательно, общее решение имеет вид

2. ω=а. Частное решение надо искать в виде


Подставляя в уравнение, находим 
Общее решение уравнения имеет вид

Рассмотри один важный частный случай.
Пусть правая часть линейного уравнения (14.1) имеет вид

Где М и N-постоянные числа
А) Если
не является корнем характеристического уравнения, то частное решение следует ищется в виде

Б) Если
является корнем кратности
характеристического уравнения, то частное решение искать в виде







