Функция f(x) имеет выпуклость вверх (вниз) в точке x
, если касательная в окрестности этой точки располагается выше (ниже) этой кривой.
Задача 1
Пусть функция f(x) непрерывна и имеет производные первого и второго порядка.
Показать, что по знаку производной второго порядка можно судить о том, функция в этой точке выпукла вверх или вниз.
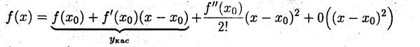
Ø Формулу Тейлора

можно записать в следующем виде:

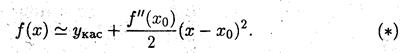
По определению, если f(x) <yкас то функция выпукла вверх, а если f(x)>yкас, то функция выпукла вниз. Таким образом из формулы (*) следует:

Точка x
называется точкой перегиба, если она разделяет у непрерывной функции области выпуклости вверх и вниз.

• Проходящая через точку перегиба касательная, частично лежит выше кривой, а частично ниже.
Необходимые условия точки перегиба:






