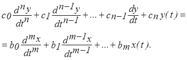
Обыкновенная линейная система автоматического управления описывается обыкновенным линейным дифференциальным уравнением

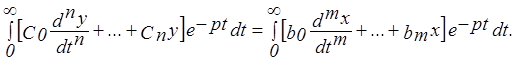
Умножим обе части уравнения на е – pt и выполним интегрирование в пределах от 0 до
:

В результате этих преобразований левая и правая части уравнения представляют собой выражения для преобразования Лапласа. Осуществим преобразование Лапласа, используя его свойства:
.
Полагая, что система находится при нулевых начальных условиях
y (0) = 0, y '(0) = y '' (0) =... = 0, вычислим изображения производных и получим
.
Полученное уравнение является алгебраическим уравнением и его можно решить относительно изображения выходной величины:
.
Передаточной функцией элемента (или системы) автоматического управления называется отношение Лапласовых изображений выходной и входной величин

При нахождении передаточной функции подразумевается, что элемент (или система) находится при нулевых начальных условиях.
Передаточная функция является дробно-рациональной функцией от независимой переменной р. Передаточная функция легко получается из исходного дифференциального уравнения формальной подстановкой вместо производных символа р в соответствующей степени.
|
|
|
При р = 0 передаточная функция вырождается в коэффициент передачи. Обычно для передаточной функции m < n.
При известной передаточной функции процесс в системе определяется следующим образом:
и
.
Корни числителя передаточной функции называются нулями передаточной функции, корни знаменателя передаточной функции – полюсами. В общем случае передаточная функция имеет m нулей и n полюсов. Нули и полюса могут быть комплексными.