Все усиливающееся влияние социальной инфраструктуры на разнообразные стороны общественной жизни, увеличение значения в воспроизводственном процессе делает ее средством интенсификации общественного производства. Следовательно, вопросы роста эффективности функционирования не только отдельных отраслей социальной сферы, но и всей ее совокупности в целом завоевывают все большую актуальность. Уровень формирования социальной инфраструктуры измеряется количеством учреждений образования, культуры, бытового обслуживания, торговли на тысячу жителей или на единицу площади (например, на 1 м2). К элементам социальной инфраструктуры относятся: транспортная сеть (внутригородская и между населенными пунктами), учреждения связи, озеленение городов (что имеет немалое значение для улучшения экологической обстановки), инфраструктура села и др.
Развитие транспорта обусловливается количеством его видов на данной территории, протяженностью маршрутов каждого вида. Существенными являются и такие показатели, как число остановок транспортных средств любого вида транспорта, совместимость данных элементов, но они не регистрируются государственной статистикой. Значительным компонентом социальной инфраструктуры является обеспечение условий для применения велосипедного транспорта, что главным образом характеризуется существованием и протяженностью велосипедных дорожек в городах и вне городских территорий. В больших городах существенно воздействие такого фактора, как городской транспорт; его доля весома в расходной части городского бюджета.
Повышение стоимости услуг общественного транспорта стоит сравнивать с ростом цен на другие виды платных услуг населению, на потребительские товары, с увеличением заработной платы и денежных доходов населения. Для мероприятий регионального управления необходимо сравнивать следующие показатели: объем выручки за оказанные услуги; число перевезенных пассажиров; число лиц, которые имеют льготные тарифы; возможность бесплатного проезда на транспорте. Что является одной из реальных мер по оказанию адресной социальной помощи нуждающимся, главным образом пенсионерам.
Официальная статистика достаточно немногословно говорит о работе пассажирского городского транспорта, существуют лишь сведения по типам транспорта, о выполненных пассажиро-километрах, о количестве перевезенных пассажиров. Ведомственная статистика содержит более детальные данные о количестве маршрутов по каждому виду транспорта, о графике движения транспорта по маршруту, протяженности каждого. Значительной информацией для социальной статистики является информация о срывах системы транспортного обслуживания населения, о разделении транспортных средств по срокам службы, несчастных случаях на транспорте, сопоставимых характеристиках наполняемости транспорта в час «пик» и вне этого времени. Большое социальное значение получило развитие сети автомобильных дорог с твердым покрытием. Статистика обязана отображать не только их протяженность, но и качество.
Процесс приватизации в нашей стране овладел главным образом сферой бытового обслуживания и общественного питания. Социальная статистика имеет задачу, которая заключается в том, чтобы дать относительную характеристику снабжения населения платными услугами предприятий различных организационно-правовых форм, в том числе магазинов розничной сферы различных форм собственности. Статистика розничной торговли значительно дополняет сведения статистики бюджетов населения в доле соотношения продовольственных и непродовольственных товаров в общем объеме товарооборота.
Если для определения уровня формирования инфраструктуры хватает показателей насыщенности ее компонентами какой-нибудь территории, главным образом городов, то для нахождения уровня потребления услуг, предоставляемых учреждениями и организациями социальной инфраструктуры, значимы такие показатели, как:
1) среднее число посетителей за единицу времени (за год, квартал, месяц), обслуженных учреждением химчистки, парикмахерской, баней, кафе, рестораном;
2) общая сумма выручки, тыс. руб.;
3) средняя выручка на одного работника данного типа учреждения, руб.;
4) выручка по видам услуг, тыс. руб.
Данных показателей мало для характеристики доступности услуг, их качества, удовлетворенности потребностей. Подобная информация может быть получена исключительно путем специальных обследований. Осуществление федеральных и региональных социальных программ в доле помощи бездомным (беженцам, вынужденным мигрантам, бомжам) приводит к появлению таких элементов социальной инфраструктуры, как ночлежные дома. Появляются новые организационные формы культурной деятельности, например народные дома. Все это необходимо отразить в статистике. Статистике необходимо обладать информацией о почтовых отделениях и их работе, о числе жилых помещений, имеющих не только телефоны, но и факсовую связь, связь посредством электронной почты. Помимо этого, необходимы сведения о количестве уличных телефонов-автоматов, включая междугородные и международные (на 1000 жителей). В показатели социальной статистики необходимо включить сведения о распространенности страховых фирм, нотариальных контор, отделений Сбербанка, отделений коммерческих банков на 1000 жителей, банкоматов, т. е. всех тех единиц, от которых зависит комфортабельность жизни людей.
Увеличивается обеспеченность народа вещами культурно-бытового назначения долговременного пользования, что образовывает базу для формирования области услуг (ателье, фото– и киномастерские, автосервис, мастерские по ремонту бытовой техники и т. д.).
В городах еще одним элементом социальной инфраструктуры являются парки, скверы, наличие которых измеряется совокупной площадью зеленых насаждений (м2) и площадью зеленых насаждений на тысячу жителей (м2/чел.).
Также статистические показатели должны отображать развитие инфраструктуры села. К данным показателям относятся:
1) ввод в действие в сельской местности водопроводных сетей (км);
2) канализационных сетей (км);
3) газовых сетей (тыс. км);
4) АТС (тыс. номеров общего пользования);
5) линий электропередачи напряжением 0,4 кВт, 6-20 кВт (тыс. км);
6) автомобильных дорог с твердым покрытием (тыс. км), в том числе местного значения, ведомственных и частных.
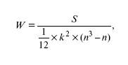
Основная важность придается оценке взаимосвязанности формирования социальной инфраструктуры. Для решения данной задачи стоит каждой территориальной единице (области, городу, району) присвоить ранг по значению каждого из показателей социальной инфраструктуры и определить связь между ранжированием объектов по k характеристикам. Ранг, присвоенный каждому району, отображает его место по формированию данного компонента инфраструктуры.
Дефицит одних элементов инфраструктуры может компенсироваться развитием других. Данные примеры доказывают скорее тенденцию комплексного развития. Для количественной оценки данного процесса можно вычислить коэффициенты ранговой корреляции Спирмэна между каждой парой рангов, потом определить средний из них. Число подобных коэффициентов равно числу комбинаций из k по 2 – С2k|, и операция делается достаточно утомительной. Легче найти коэффициент конкордации Кендалла, который является средним из попарных коэффициентов корреляции между рангами. Коэффициент конкордации определяется по формуле:

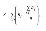
где S – сумма квадратов отклонений суммы рангов для каждого объекта от средней суммы рангов:

где Rj – ранг j -го района;
k – число рядов рангов (в нашем примере это число показателей, по которым ранжировались районы);
п – число ранжируемых объектов.