Для расчета различных систем автоматического управления их обычно разбивают на отдельные элементы, динамическими характеристиками которых являются дифференциальные уравнения не выше второго порядка. Причем различные по своей физической природе элементы могут описываться одинаковыми дифференциальными уравнениями, поэтому их относят к определенным классам, называемым типовыми звеньями.
Изображение системы в виде совокупности типовых звеньев с указанием связей между ними называется структурной схемой. Она может быть получена на основе как дифференциальных уравнений, так и передаточных функций. Данный способ и составляет суть структурного метода, т. е. метода представления систем автоматического управления различной физической природы.
Хотя структурный метод не предлагает новых способов расчета, он позволяет наглядно представить взаимосвязь элементов системы и оценить при наличии соответствующего опыта отдельные свойства переходных и статических процессов. Он настолько широко используется в практике проектирования, что, по существу, может считаться одним из «языков», на котором обсуждаются свойства систем автоматического управления.
|
|
|
Рассмотрим подробнее отдельные типовые звенья и их различные динамические характеристики.
3.1. ТИПОВЫЕ ДИНАМИЧЕСКИЕ ЗВЕНЬЯ
3.1.1. Пропорциональное (усилительное) звено
Пропорциональным называется звено, поведение которого описывает алгебраическое уравнение
y =ku,
где k - коэффициент усиления. Строго говоря, это звено не является динамическим, но относится к типовым.
Примерами таких звеньев могут служить безынерционные усилители. механические редукторы, многие датчики сигналов и т. д. передаточная функция звена следующая:

Переходная характеристика (реакция звена на скачкообразное входное воздействие 1(t)) имеет вид

Импульсная переходная функция пропорционального звена определяется выражением

Модальные характеристики (собственные значения и собственные векторы) для него отсутствуют.
Заменив в передаточной функции р на jω, получим выражения
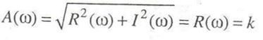
для частотных характеристик. Амплитудно-фазовая характеристика представляет собой точку на комплексной плоскости в соответствии с формулой

Вещественная частотная характеристика определяется соотношением (рис. 3.1)


а мнимая частотная характеристика отсутствует (I(ω)=0).
Амплитудная частотная характеристика может быть построена по соотношению

и имеет тот же вид, что и ВЧХ. Выражение для ФЧХ следующее:

Таким образом, при прохождении через пропорциональное звено амплитуда периодического входного сигнала изменяется в k раз, а базовый сдвиг отсутствует.
|
|
|
Амплитудно-фазовая характеристика звена имеет вид точки на комплексной плоскости (рис. 3.2).

Логарифмическая АЧХ звена представляет собой прямую, параллельную оси абсцисс:

Как следует из выражений (3.3, 3.4) и рис. 3.3, пропорциональное звено пропускает входные сигналы без искажений.
3.1.2. Дифференцирующее звено
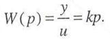
Дифференцирующим называется звено, которое описывается дифференциальным уравнением
y =ku.
Его передаточная функция имеет вид

Примером дифференцирующего звена часто может служить тахогенератор постоянного тока. Переходная характеристика дифференцирующего звена определяется выражением

и имеет вид 5 -функции (рис. 3.4).
Импульсная переходная функция (рис. 3.5) представляет собой «дуплет» δ –функций



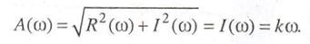
Рассмотрим теперь частотные характеристики звена. Амплитудно-фазовая характеристика

совпадает с положительной мнимой полуосью комплексной плоскости; вещественная частотная характеристика равна нулю, Л(ц>) = 0; мнимая частотная характеристика соответствует выражжению

т. е. представляет собой линейно нарастающую функцию. С ней совпадает амплитудная частотная характеристика, которая имеет вид

Фазовую частотную характеристику можно определить по соотношению

Следовательно, на всех частотах имеется постоянный фазовый сдвиг.
![]() |
![]() | |||
![]() |
![]() | |||
![]() |



Причем се можно получить, исследуя отдельно области низких и высоких частот или суммируя ЛАЧХ пропорционального и дифференцирующего звеньев.
Нетрудно убедиться, сравнивая выражения (3.28) и (3.29) с выражениями (3.37) и (3.38), в том, что логарифмические амплитудная и фазовая частотные характеристики форсирующего звена представляют собой зеркальное отображение относительно оси абсцисс соответствующих логарифмических характеристик апериодического звена.

|
| |||
![]() |

![]() | ||||
![]() | ||||
![]() |
















