Критерий Михайлова относится к группе частотных критериев устойчивости. Он был сформулирован и обоснован в 1936 г. советским ученым А. В. Михайловым в работе «Гармонический метод в теории регулирования», которая получила высокую оценку и послужила началом широкого применения частотных методов в теории автоматического управления.
Критерий Михайлова так же, как критерии Гурвица и Рауса, основан на анализе характеристического уравнения системы, поэтому с его помощью можно судить об устойчивости замкнутых и разомкнутых систем.
Пусть левая часть характеристического уравнения, называемая характеристическим полиномом, имеет вид
F(p) = a 0 p n + a n-1 p n-1 +…+ a n-1 p+ a n. (4.11)
Подставим в этот полином вместо переменного р чисто мнимый корень, который в дальнейшем будем обозначать j w. Тогда получим функцию комплексного переменного
F(j w ) = a 0 (j w ) n + a n-1 (j w ) n-1 +…+ a n-1 j w + a n, (4.12)
которую можно так же, как амплитудно-фазовую характеристику, представить в виде суммы действительной и мнимой частей:
|
|
|
F(j w ) = P( w ) + jQ( w ). (4.13)
Действительная часть P( w ) содержит только четные степени переменного w:
P( w ) = a n - a n - 2w2 + a n - 4w4 -..., (4.14)
а мнимая часть Q( w ) — только нечетные:
Q( w ) = a n-1w - a n - 3w3 + a n - 5w5 -.... (4.15)
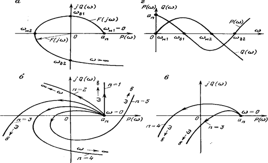
Каждому фиксированному значению переменного w соответствует комплексное число, которое можно изобразить в виде вектора на комплексной плоскости. Если теперь изменять параметр w от 0 до ¥, то конец вектора F(j w ) опишет некоторую линию (рис. 4.2, a), которая называется характеристической кривой или годографом Михайлова. По виду этой кривой можно судить об устойчивости системы.
Формулировка критерия Михайлова:
автоматическая система управления, описываемая уравнением п-го порядка, устойчива, если при изменении w от 0 до ¥ характеристический вектор системы F(jw) повернется против часовой стрелки на угол п p/2, не обращаясь при этом в нуль.
Это означает, что характеристическая кривая устойчивой системы должна при изменении w от 0 до ¥ пройти последовательно через п квадрантов. Из выражений (4.14) и (4.15) следует, что кривая F (j w ) всегда начинается в точке на действительной оси, удаленной от начала координат на величину а n.
Характеристические кривые, соответствующие устойчивым системам (рис. 4.2, б), имеют плавную спиралеобразную форму и уходят в бесконечность в том квадранте, номер которого равен порядку уравнения. Если характеристическая кривая проходит п квадрантов не последовательно или проходит меньшее число квадрантов, то система неустойчива (рис. 4.2, в).

Рис. 4.2. Характеристические кривые (годографы) Михайлова
Если кривая F(j w ) проходит через начало координат, то система находится на границе устойчивости. Действительно, если характеристическое уравнение имеет один нулевой корень p k = 0 (апериодическая граница устойчивости) или одну пару чисто мнимых корней p k = ± jb k (колебательная граница устойчивости), то функция F(j w ) при w = 0 или w = b k обратится в нуль.
|
|
|
В практических расчетах удобно применять следствие из критерия Михайлова: система устойчива, если действительная и мнимая части характеристической функции F(jw) обращаются в нуль поочередно (рис. 8.2, г), т. е. если корни уравнений P(w) = 0 и Q(w) = 0 перемежаются.
Это утверждение вытекает непосредственно из формулировки критерия Михайлова — из условия последовательного прохождения кривой F(j w ) через п квадрантов.
Критерий Михайлова удобно применять для анализа устойчивости систем высокого порядка (п > 5).