Защитные свойства бронхиальной слизи обусловлены ее барьерной функцией, способностью связывать и транспортировать микроорганизмы. Кроме того, антибактериальная и антивирусная активность слизи связана с содержащимися в ней компонентами комплемента, лизоцимом, лактоферрином, так называемыми неиммунными опсонинами типа фиб- ронектина и сурфактанта.
В функционировании мукоцилиарного эскалатора большое значение имеют вязкоэластические свойства гель-слоя слизи, которые зависят от ее состава и соотношения составляющих компонентов. Структурной основой гель-слоя являются кислые и нейтральные гликопротеины с большой молекулярной массой (муцины). Они имеют длинную центральную белковую часть и боковые углеводные цепи, которые связывают молекулы гликопротеинов с образованием ячеистой сети. В гликопротеиновую основу бронхиальной слизи встроены также молекулы иммуноглобулинов, что обеспечивает стабильность гель-слоя и его способность фиксировать микроорганизмы.
Кетозы
Кетозы
Альдозы


Приведенные выше линейные структурные формулы альдоз и 2-кетоз называются формулами в проекции Фишера.
Выделенные звездочкой атомы углерода являются асимметрическими. Асимметрическим называется атом углерода, соединенный с четырьмя разными заместителями (атомами или группами атомов). Вещества, в составе которых есть асимметрические атомы углерода, обладают особым видом пространственной изомерии - стереоизомерией или оптической изомерией. Стереоизомеры отличаются пространственной конфигурацией атомов водорода и гидроксильной группы при асимметрическом атоме углерода.
Число стереоизомеров равно 2n, где п - число асимметрических атомов углерода.
Например, альдогексоза общей формулы С6Н12О6 с четырьмя асимметрическими атомами может быть представлена любым из 16 возможных стереоизомеров, восемь из которых относятся к D -ряду, а восемь - к L -ряду.
Родоначальниками D- и L-ряда можно условно считать D- и L- глицериновые альдегиды. Принадлежность моносахарида к D- и L-ряду определяется положением водорода и гидроксила у наиболее удаленного от альдегидной или кетонной группы асимметрического углеродного атома (по сравнению с их положением у единственного асимметрического атома углерода D- или L -глицеринового альдегида).


1. D-глицериновый альдегид
2. L-глицериновый альдегид
Стереоизомеры отличаются физико-химическими свойствами и биологической активностью.

Глюкоза является альдогексозой. Она может существовать в линейной и циклической формах. Циклическая форма глюкозы, предпочтительная в термодинамическом отношении, обусловливает химические свойства глюкозы. Возможно образование 16 стереоизомеров, наиболее важные из которых D- и L-глюкоза.
В организме млекопитающих моносахариды находятся в D-конфигурации, так как к этой форме глюкозы специфичны ферменты, катализирующие её превращения.

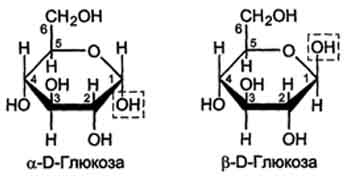
В растворе при образовании циклической формы моносахарида образуются ещё 2 изомера (α- и β-изомеры), называемые аномерами, обозначающие определённую конформацию Н- и ОН-групп относительно С.
У α-D-глюкозы ОН-группа располагается ниже плоскости кольца,
а у β-D-глюкозы, наоборот, над плоскостью кольца.
α - и β -аномеры D-глюкозы:

α - и β -аномеры D-фруктозы:

Наиболее важными являются следующие моносахариды:
Альдозы




D-галактоза D-манноза D-глюкоза



Дигидроксиацетон D-ксилулоза D-рибулоза


D-фруктоза D-седогептулоза
Монозы с пятью и более углеродными атомами могут существовать не только в линейной, но и в циклической форме. Циклизация происходит за счет разрыва двойной связи в карбонильной группе, перемещения атома водорода к освободившейся валентности карбонильного кислорода и замыканию кольца углеродных атомов с образованием внутренних циклических α- или β -полуацеталей:

Штриховая линия - связь за плоскостью рисунка.
|
|
Гликопротеины составляют большую группу сложных белков, содержащих в качестве простетической части углеводы и/или их производные, ковалентно-связанные с белком. При гидролизе гликопротеинов в углеводном компоненте обнаруживаются такие моносахариды, как D-галактоза, D-манноза, D-глюкоза, N-ацетилгалактозамин, N-ацетилглюкозамин и др.
Небольшие олигосахаридные группы могут присоединяться к белкам через O-гликозидную связь к гидроксилам остатков серина и треонина.
В ряде белков встречаются N-гликозидные связи с амидными группами Asn, реже Gln или NH2 группами Lys и Arg.
По соотношению белковой и углеводной частей гликопротеины подразделяются на нейтральные и кислые.
В нейтральных гликопротеинах углеводная часть может составлять от 3% до 15%, а у некоторых гликопротеинов 40%. К нейтральным гликопротеинам относятся яичный белок (овальбумин), гликопротеины плазмы крови (трансферрин, церуллоплазмин), белок щитовидной железы (тиреоглобулин).
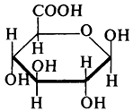
В состав кислых гликопротеинов помимо амино и моносахаров входит уроновая кислота, которая имеет большое биологическое значение, принимая участие в обезвреживании билирубина и ряда ксенобиотиков, в том числе лекарственных средств. Важнейшими кислыми гликопротеинами являются гликопротеины, содержащие в составе гиалуроновые кислоты. Повторяющейся структурной единицей гиалуроновой кислоты служит дисахарид, состоящий из ацетилглюкозамина и глюкуроновой кислоты, соединенных β(1→3)-глюкозидной связью:
Отдельные дисахаридные остатки соединяются в цепь β(1→4)-глюкозидными связями. В глюкуроновой кислоте карбоксильная группа находится в ионизированном состоянии, поэтому гиалуроновая кислота является чрезвычайно гидрофильным соединением, удерживающим большое количество воды. Её растворы обладают высокой вязкостью.
Важным углеводным компонентом гликопротеинов является также хондроитинсерная кислота или хондроитинсульфат-полимер, состоящий из ацетилгалактозамина, этерифицированного серной кислотой и глюкуроновой кислоты. Ацетилгалактозамин и глюкуроновая кислота соединяются между собой β(1→3) глюкозидной связью.
Хондроитинсульфаты составляют целые семейства (А, В, С), содержащиеся в качестве компонентов соединительной ткани. Их структуры различаются по положению сульфатных остатков, соотношению глюкуроновой кислоты, N-ацетил-D-галактозамина и сульфата. В хрящевой ткани хондроитинсульфаты связываются с особым белком в виде хондромукоида; в костной ткани образуют осцемукоид. Хондроитинсульфаты относятся к мукополисахаридам с молекулярной массой в пределах от 50 до 100 кДа.
Муцины продуцируются бокаловидными клетками, слизистыми и серозными клетками бронхиальных желез. Слизистые клетки выделяют секрет с высокой концентрацией кислых гликопротеинов; они стимулируются агонистами бета-адренорецепторов. Серозные клетки выделяют жидкий секрет, содержащий лизоцим, лактоферрин и нейтральные глико- протеины; они стимулируются агонистами альфа-адренорецепторов.
В бронхиальной слизи здоровых детей преобладают кислые сиаломуци- ны, а содержание кислых сульфомуцинов и нейтральных муцинов невелико. Кроме муцинов и иммуноглобулинов в состав бронхиальной слизи входят сывороточные белки, фосфолипиды сурфактанта, нуклеиновые кислоты, ферменты, электролиты, остатки клеток (спущенный эпителий, альвеолярные макрофаги, полиморфно-нуклеарные лейкоциты).
Гликозаминогликаны соединительной ткани – это линейные неразветвлен-ные полимеры, построенные из повторяющихся дисахаридных единиц. В организме гликозаминогликаны не встречаются в свободном состоянии, т.е. в виде «чистых» углеводов. Они всегда связаны с большим или меньшим количеством белка. В их состав обязательно входят остатки мономера либо глюкозамина, либо галактозамина. Второй главный мономер дисахаридных единиц также представлен двумя разновидностями: D-глюкуроновой и L-идуроновой кислотами. В настоящее время четко расшифрована структура шести основных классов гликозаминогликанов.
Гиалуроновая кислота впервые была обнаружена в стекловидном теле глаза. Из всех гликозаминогликанов гиалуроновая кислота имеет большую мол. массу (100000–10000000). Доля связанного с гиалуроновой кислотой белка в молекуле (частице) протеогликана составляет не более 1–2% от его общей массы. Считают, что основная функция гиалуроновой кислоты в соединительной ткани – связывание воды.
В результате такого связывания межклеточное вещество приобретает характер желеобразного матрикса, способного «поддерживать» клетки. Важна также роль гиалуроновой кислоты в регуляции проницаемости тканей. Приводим структуру повторяющейся дисахаридной единицы в молекуле гиалуроновой кислоты:

Хондроитин-4-сульфат и хондроитин-6-сульфат построены по одному плану. Отличие между ними заключается в локализации сульфатной группы. Несмотря на минимальные различия в химической структуре, физико-химические свойства хондроитин-4-сульфата и хондроитин-6-сульфата су-

щественно различаются; последние различаются также распределением в разных видах соединительной ткани 

Дерматансульфат особенно характерен для дермы (кожи). Он резистентен к действию гиалуронидаз (тестикулярной и бактериальной). В этом одно из отличий дерматансульфата от хондроитинсульфатов. Кроме того, в состав дисахаридной единицы дерматансульфата входит L-идуроновая, а не D-глюкуроновая кислота (в малом количестве D-глюкуроновую кислоту можно обнаружить в повторяющихся единицах дерматансульфата):

О биологической роли дерматансульфата почти ничего неизвестно. Роль этого гликозаминогликана не может быть сведена только к стабилизации коллагеновых пучков, так как дерматансульфат обнаруживается и в тканях эктодермального происхождения, не содержащих коллагена.
Гепарин известен прежде всего как антикоагулянт. Однако его следует относить к гликозаминогликанам, так как он синтезируется тучными клетками, которые являются разновидностью клеточных элементов соединительной ткани. Он может входить в состав протеогликанов; с гликоз-аминогликанами его объединяет и химическая структура.

Биосинтез гликозаминогликанов. Известно, что синтез глюкозамина и глюкуроновой кислоты, входящих в состав гиалуроновой кислоты, происходит из D-глюкозы. Непосредственные предшественники гиалуро-новой кислоты – нуклеотидные (уридиндифосфонуклеотидные) производные N-ацетилглюкозамина и глюкуроновой кислоты.
Предшественником углеводных остатков сульфатированных гликоза-миногликанов, как и у гиалуроновой кислоты, является молекула D-глю-козы. Далее происходит эпимеризация глюкозамина в галактозамин, а глюкуроновой кислоты при синтезе дерматансульфата – в идуроновую кислоту. Нуклеотидные производные этих соединений утилизируются при биосинтезе сульфатированных гликозаминогликанов, при этом сульфат включается в биосинтез гликозаминогликанов в виде 3'-фосфоаденозин-5'-фосфосульфата (ФАФС). В процессе биосинтеза гликозаминогликанов принимает участие большое количество различных ферментов, в том числе трансфераз.
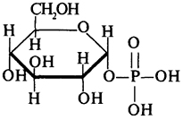
В растворе линейные и циклические формы моносахаридов существуют одновременно и способны самопроизвольно превращаться друг в друга. Такие изомерные формы называются кольчато-цепными таутомерами. Преобладают, как правило, циклические изомеры полисахаридов; они используются организмами для построения олиго- и полисахаридов, мононуклеотидов и других биологических молекул. Через линейную форму происходит переход α -формы в β -форму.
Глицеральдегид-3-фосфат
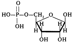
β-D -Рибозо-5-фосфат
α-D -Рибозо-1-фосфат
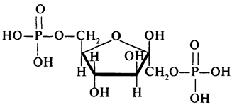
β-D -Фруктозо-1,6-дифосфат В природе широко распространены два аминопроизводных моносахарида: глюкозамин и галактозамин. Как и соответствующие гексозы, гексозамины могут существовать как в линейной, так и в циклической форме. Глюкозамин входит в состав многих полисахаридов, содержащихся в тканях животных и человека; галактозамин является компонентом гликопротеинов и гликолипидов.
Глюкозамин
Галактозамин
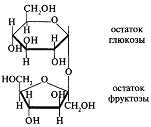
β -Мальтоза Лактоза содержится в молоке животных и человека. В состав лактозы входит остаток галактозы и глюкозы; эти монозы связаны между собой β -1,4-гликозидной связью.
α -Лактоза Сахароза - наиболее распространенный и важный дисахарид, встречающийся в растительном мире. Сахароза является ценным питательным веществом для человека. Сахароза состоит из остатков α - D -глюкозы и β - D -фруктозы, связанных α, α -1,2-гликозидной связью.
Сахароза Изомальтоза - промежуточный продукт, образующийся при расщеплении крахмала в кишечнике. Состоит из двух остатков D-глюкозы, но соединены эти моносахариды α-1,6-гликозидной связью. Полисахариды Структурные различия между полисахаридами определяются:
Амилоза Глюкозные остатки образуют неразветвленную цепь с молекулярной массой от 16 до 160 кДа. Эта цепь в пространстве закручивается в спирально молекула в целом имеет нитевидную форму. Амилопектин имеет молекулы с разветвленной цепью остатков глюкозы, образованной за счет связи между шестым атомом углерода одного остатка и первым углеродным атомом другого:
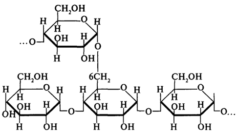
Амилопектин Гликоген - резервное питательное вещество организма человека и животных. Иначе его называют "животным крахмалом". В организме человека он накапливается в печени (-20%) и в мышцах (-2%). Гликоген по структуре близок к амилопектину, однако степень ветвления у него больше, чем у амилопектина, поэтому молекула гликогена более компактна. Гликоген - не однородное вещество, а представляет собой смесь полисахаридов разной молекулярной массы. Часть его находится в соединении с белками.
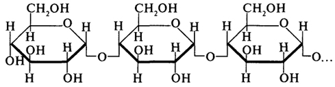
Спиральная конформация молекулы амилозы Целлюлоза - наиболее распространенное органическое соединение. Она встречается в растительном мире в качестве структурного компонента клеточной стенки. Особенно богаты целлюлозой волокна хлопка (98 - 99%). Целлюлоза состоит из остатков глюкозы, связанных между собой β -1,4-гликозидньши связями.
Хондроитинсульфат Гепарин - гетерополисахарид, препятствующий свертыванию крови у животных и человека. Гепарин содержится в крови, печени, легких, селезенке, щитовидной железе и в других тканях и органах. Молекула гепарина состоит из глюкуроновой кислоты и α -глюкозамина в виде двойного сульфопроизводного, соединенных между собой α -1,4-гликозидными связями.
ГЛИКОПРОТЕИНЫ 





