1. Максимум энергии излучения абсолютно черного тела приходится на длину волны 450 нм. Определить температуру и энергетическую светимость тела.
Дано: λmaх = 450 нм = 4,5·10-7 м; b = 2,89·10-3 м·К; σ = 5,67·10-8 Вт/(м2·К4).
Найти: Т, R.
Решение. Длина волны λmax, на которую приходится максимум энергии излучения черного тела, по закону Вина равна: λmax =
.
Отсюда: 
В соответствии с законом Стефана – Больцмана энергетическая светимость R абсолютно черного тела равна: R = σT4. В результате вычислений имеем: 
2. Красная граница фотоэффекта для никеля равна 0,257 мкм. Найти длину волны света, падающего на никелевый электрод, если фототок прекращается при задерживающей разности потенциалов, равной 1,5 В.
Дано: λк= 
Найти: λ.
Решение. Согласно уравнению Эйнштейна для внешнего фотоэффекта:
Екmax. (1)
Красная граница фотоэффекта определяется из условия равенства энергии фотона
работе выхода электронов АВ, т. е.
. (2)
Максимальная кинетическая энергия фотоэлектронов может быть определена через задерживающую разность потенциалов Uз:
|
|
|
Екmax= eU3, (3)
где е – заряд электрона.
Подставляя выражения (2) и (3) в (1), получим:
(4)
Из уравнения (4) найдем длину волны света:
(5)
Подставляя в (5) числовые значения, получим:

3. Определить максимальную скорость электрона, вырванного с поверхности металла γ – квантом с энергией 1,53 МэВ.
Дано: Е = 1,53 МэВ; Е0 = 0,511 МэВ (энергия покоя электрона).
Найти: vmax,
Решение: По формуле Эйнштейна для фотоэффекта: Е = Авых+Ек.max.. Энергия кванта излучения расходуется на работу вырывания электрона Авых и сообщение ему кинетической энергии Ек.max.. Так как Авых<< Е, то электрон будет релятивистским и Е
Ек, а кинетическая энергия будет выражаться формулой:

где Е0 – энергия покоя электрона.


4. Гамма-фотон с длиной волны 1,2 пм в результате комптоновского рассеяния на свободном электроне отклонился от первоначального направления на угол 600. Определить кинетическую энергию и импульс электрона отдачи. До столкновения электрон покоился.
Дано: 
Найти: Ек, р.
Решение. Изменение длины волны фотона при комптоновском рассеянии на неподвижном свободном электроне равно:
(1)
где λ1 и λ2 – длины волн падающего и рассеянного фотона, θ – угол рассеяния фотона,
- комптоновская длина волны электрона.
Из выражения (1) найдем:
(2)
Выразим энергию падающего и рассеянного фотона через его длину волны:
(3)
Кинетическая энергия электрона отдачи согласно закону сохранения энергии равна:
(4)
Подставляя выражения (3) в (4), найдем:
(5)
Сделав вычисления, получим:
Зная кинетическую энергию электрона, найдем его импульс. Поскольку кинетическая энергия электрона сравнима с его энергией покоя, то импульс и кинетическая энергия связаны соотношением:
|
|
|
(6)
Подставляя в (6) числовые данные, получим:

5. Сколько линий спектра атома водорода попадает в видимую область света
Вычислить длину волн этих линий. Каким цветам они соответствуют?
Дано:

Найти: λ.
Решение: Длины волн спектра атома водорода определяются по формуле:
где n = 1, 2, 3,...,k = n + 1; n + 2;....
Квантом излучения в видимой области спектра соответствуют переходы электронов на второй энергетический уровень (n = 2). Перебирая возможные варианты, находим, что в видимой области спектра находятся первые четыре линии серии Бальмера (n = 2; k = 3, 4, 5, 6). Длины волн этих линий будут равны:
красная линия;
голубая линия;
фиолетовая линия;
фиолетовая линия.
6. Определить кинетическую энергию протона и электрона, для которых длина волны де Бройля равна 0,06 нм.
Дано: 
Найти: Ее, Ер.
Решение. Длина волны де Бройля
. Из уравнения кинетической энергии движущейся частицы следует:
.
Тогда импульс частицы равен:
, а
.
Подставив эти выражения в формулу для энергии, получим:
.
Тогда для электрона:
(Дж) = 419 (эВ).
Для протона:
(Дж) ≈ 0,23(эВ).
7. В атоме среднее время жизни электронов в возбужденном состоянии составляет 10 нс. Вычислить естественную ширину спектральной линии
(λ = 0,7 мкм), соответствующей переходу между возбужденными уровнями атома.
Дано: τ = 10-8 с; λ = 7·10-7 м.
Найти: Δλmin.
Решение. При переходе электрона из одного стационарного состояния в другое излучается (или поглощается) квант энергии, равный:
(1)
Из (1) следует, что неопределенность длины волны Δλ излучения, определяющая естественную ширину спектральной линии, связана с неопределенностью энергии уровней электронов в атоме ΔΕn и ΔΕk соотношением:
(2)
Согласно соотношению неопределенностей Гейзенберга:
(3)
где Δt – неопределенность времени перехода атома из одного стационарного состояния в другое.
Поскольку Δt не превышает среднее время жизни τ возбужденного состояния атома, то минимальная неопределенность энергии возбужденных уровней, согласно (3), равна:
(4)
Из (2) с учетом (4) найдем минимальную неопределенность длины волны излучения, которая называется естественной шириной спектральной линии:
(5)
Если одно из состояний, между которыми совершается переход, является основным, то
(6)
поскольку для основного состояния tn = ¥. Для возбужденных состояний с одинаковым временем жизни τn = τk = τ имеем:
. (7)
Подставляя в (7) числовые значения, получим:
(м).
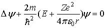
8. Кинетическая энергия электрона в атоме водорода порядка 10 эВ. Используя соотношение неопределенностей, оценить минимальные линейные размеры атома.
Дано: Е = 10 эВ = 1,6·10-18 Дж; m = 9,1·10-31 кг.
Найти: r.
Решение. Минимальные размеры атома можно оценить, исходя из соотношения неопределенностей Гейзенберга: Δх×Δpх ≥ ћ, где Δх – неопределенность координаты, Δрх – неопределенность импульса, ћ = h/2p – постоянная Планка.
Предполагая, что Δх ≈ r – соответствует линейному размеру атома, получим
Импульс электрона, обладающего кинетической энергией Е, равен:

Предполагая, что по порядку величина Δр ≈ р, оценим r:
;
(м).
9. Электрон находится в одномерной потенциальной яме с бесконечно высокими стенками. Ширина ямы l = 1 нм. Определить наименьшую разность энергетических уровней электрона.
Дано: l = 10-9 м, m = 9,1×10-31 кг, h = 6,64×10-34 Дж×с.
Найти: ΔЕmin.
Решение. Энергия электрона Еn, находящегося в потенциальной яме шириной l, на n-м энергетическом уровне определяется по формуле:

Разность ΔΕn,n+1 энергий электрона на соседних n и (n+1)-м уровнях равна:

Очевидно, что ΔΕ будет минимальна при n = 1. Тогда:
(Дж) ≈ 1,1 (эВ).
10. Вычислить дефект массы, энергию связи и удельную энергию связи ядра 
Дано: m
= 1.00783 а.е.м.; mn = 1,00867 а.е.м.; m
= 15,99492 а.е.м.;
Z = 8; А = 16.
|
|
|
Найти: Δm, Есв, εсв.
Решение. Дефект массы Δm ядра определяется по формуле:
Δm = Zmp + (A-Z)mn - mя. (1)
В таблицах чаще всего приводят массу атомов (изотопов), т.е. суммарную массу ядра вместе с электронами, то формулу (1) можно записать также в виде:
Δm = Zm
+ (А-Z)mn - ma, (2)
где ma-масса изотопа, дефект массы ядра которого необходимо определить.
Подставляя в (2) числовые данные, получим:
Δm = 0,13708 а.е.м.
Энергия связи ядра Есв определяется по формуле:
Есв = с2Δm. (3)
Если дефект массы Δm выражать в а.е.м., а энергию связи Есв в МэВ, то формула (3) примет вид:
Есв = 931 Δm (МэВ). (4)
Подставляя в (4) числовые значения, получим:
Есв = 931·0,13708 ≈ 128 (МэВ).
Удельная энергия связи εсв вычисляется по формуле:
εсв=
. (5)
Проведя вычисления, получим: εсв =
= 8 (МэВ).
11. За год распалось 60% атомов некоторого радиоактивного элемента. Определить период полураспада этого элемента.
Дано: t = 1 год;
= 0,6.
Найти: T1/2.
Решение. Закон радиоактивного распада имеет вид:
N = N0·e-λt,
где N0 – исходное число радиоактивных ядер, N - число не распавшихся ядер через время t, λ - постоянная радиоактивного распада, которая связана с периодом полураспада T1/2 соотношением: T1/2 =
. По условию задачи:
;
е-λt = 0,4; еλt =
= 2,5; λt = ln 2,5; λ =
.
Тогда: T1/2 = 
12. Вычислить энергию ядерной реакции:
Выделяется или поглощается энергия при этой реакции?
Решение. Энергия ядерной реакции определяется по формуле:
Q = c2(m1 + m2 - ∑mi), (1)
где m1 и m2 - массы ядер и частиц, вступающих в ядерную реакцию, ∑mi - сумма масс ядер и частиц, образовавшихся в результате реакции. Если массу частиц выражать в а.е.м., а энергию реакции в МэВ, то формула (1) примет вид:
Q = 931(m1 + m2 - ∑mi). (2)
При вычислении энергии ядерной реакции можно использовать массы атомов вместо масс их ядер. Из справочных данных находим:
а.е.м.,
а.е.м.,
а.е.м.
Дефект массы реакции равен: Dm = (2
= - 0,01864 а.е.м.
Подставляя значение дефекта массы реакции в (2), получим:
Q = 931(-0,01864) ≈ -17,4 (МэВ).
Задачи для решения в аудитории
1. Определить силу электрического взаимодействия электрона с ядром в атоме водорода. Среднее расстояние электрона от ядра считать равным
.
|
|
|
2. Электрон движется вокруг ядра водорода по круговой орбите радиусом
5,29 · 10-9 см. Определить скорость электрона на этой орбите.
3. На каждом метре равномерно заряженной нити распределен заряд 2 · 10-7 Кл. Около нити находится пылинка с зарядом -1,65 · 10-16 Кл, которая притягивается нитью с силой 10-10 Н, на каком расстоянии от нити находится пылинка?
4. Изолированный шарик радиусом 0,04 м заряжен отрицательно до потенциала 400 В. Найти массу электронов, составляющих заряд шарика.
5. Расстояние между точечными зарядами -5 · 10-8 Кл и +8 · 10-8 Кл равно 40 см. Найти напряженность поля в точке, находящейся посередине между зарядами.
6. Установить, на каком расстоянии от заряженного цилиндра напряженность поля равна 4 · 105 В/м. Диаметр цилиндра 4 см, поверхностная плотность заряда 8,85 · 10-6 Кл/м2.
7. Определить потенциал поля, образованного диполем, в точках плоскости, перпендикулярной его оси и проходящей через середину отрезка, соединяющего заряды диполя.
8. В центре куба помещен заряд 10,6 нКл. Определить поток напряженности электрического поля, проходящего через грань куба.
9. Обкладки плоского конденсатора помещены в керосин (ε =2). Какую работу надо совершить, чтобы раздвинуть обкладки конденсатора на расстояние от 2 до 11 см, если они заряжены до напряжения 600 В и отключены от источника? Площадь каждой обкладки 628 см2.
10. Электрическое поле образовано бесконечно длинной нитью, заряженной с линейной плотностью 10 нКл/м. Определить разность потенциалов U двух точек поля, отстоящих от нити на r1 = 5 см и r2 = 10 см.
11. Расстояние между обкладками плоского конденсатора равно 8 мм, площадь обкладок 62,8 см2. Какую работу нужно совершить, чтобы вдвинуть между обкладками конденсатора стеклянную пластинку той же площади и толщиной 6 мм, если конденсатор присоединен к источнику напряжения 600 В?
12. Пластины плоского слюдяного (ε = 6) конденсатора площадью 0,01 м2 притягиваются с силой 30 мН. Найти заряд пластины, напряженность и объемную плотность энергии поля.
13. Найти объемную плотность энергии электрического поля в точке, находящейся на расстоянии 2 см от поверхности шара радиусом 1 см, заряженного с поверхностной плотностью заряда 16,7 мкКл/м2.
14. Сила тока в проводнике равномерно возрастает от 0 до 2 А в течение 5 с. Определить заряд, прошедший по проводнику за это время.
15. Определить плотность тока, если за 2 с через проводник сечением 1,6 мм2 прошло 2 ∙ 1019 электронов.
16. Сила тока в проводнике сопротивлением 100 Ом равномерно убывает с 10 А до 0 за 30 с. Определить количество теплоты, выделившееся в проводнике за это время.
17. Плотность тока в медном проводнике равна 0,1 МА/м2. Определить удельную тепловую мощность тока.
18. К элементу с э.д.с. 1,5 В присоединили катушку с сопротивлением 0,1 Ом. Амперметр показал силу тока, равную 0,5 А. Когда к элементу присоединили последовательно еще один элемент с такой же э.д.с., то сила тока в той же катушке оказалась 0,4 А. Определить внутреннее сопротивление первого и второго элементов.
19. Три батареи э.д.с. 12 В, 5В и 10 В с одинаковыми внутренними сопротивлениями, равными 1 Ом, соединены между собой одноименными полюсами. Сопротивление соединительных проводов равно 0,2 Ом. Какова сила токов, идущих через батареи?
20. Три источника тока с э.д.с. 11 В, 4В и 6 В и три реостата соединены, как показано на рис. 11. Определить силу тока в реостатах. Внутреннее сопротивление источника тока пренебрежимо мало. (R1 = 5 Ом, R2 = 1 Ом,
R3 = 2 Ом).
ε1 R1
ε2 R2
ε3 R3
Рис.11
21. Определить к.п.д. электрической цепи изображенной на рис.12. Сопротивление R1=2 Ом, R2 = 5 Ом. Внутреннее сопротивление 0,5 Ом.
R1
R2
r
Рис.12
22. Батарея состоит из параллельно соединенных элементов с внутренним сопротивлением 5 Ом и э.д.с. 5,5 В каждый. При токе во внешней цепи 2 А полезная мощность 2 Вт. Сколько в батарее элементов?
23. Определить ток короткого замыкания Iкз для аккумуляторной батареи, если при токе нагрузки 5 А она отдает во внешнюю цепь мощность 9,5 Вт, а при нагрузке в 8 А - 14,4 Bт.
24. К двум батареям, соединенным параллельно, подключают электролампу. Каким сопротивлением должна она обладать, чтобы мощность ее была максимальной, если э.д.с. батарей 12 В, 10 В и их внутренние сопротивления равны 1 Ом?
25. В прямоугольной рамке со сторонами 4 и 6 см сила тока 5 А. Определить индукцию магнитного поля в центре рамки.
26. Витки двухслойного длинного соленоида намотаны проводом радиусом 0,2 мм. В первом слое сила тока 3 А, во втором — 1 А. Определить напряженность магнитного поля внутри соленоида. Рассмотреть два случая: токи текут в одном направлении и в противоположных направлениях.
27. По кольцу радиусом 15 см течет ток силой 10 А. В одной плоскости с кольцом находится длинный прямой изолированный проводник, сила тока в котором 10 А. Проводник совпадает с касательной к окружности кольцевого тока. Найти индукцию магнитного поля в центре кольца при различных направлениях токов.
28. По прямому проводнику течет ток силой 50 А. В плоскости проводника расположена прямоугольная рамка, длинные стороны которой параллельны проводнику. Площадь поперечного сечения рамки 0,5 см2, расстояние от центра до проводника 1 м. Определить магнитный поток, пронизывающий рамку.
29. Соленоид имеет длину 1 м, площадь поперечного сечения 25 см2 и число витков 1000. Энергия поля соленоида при силе тока 1 А равна 1,9 Дж. Определить магнитную проницаемость сердечника.
30. В плоскости, перпендикулярной магнитному полю напряженностью 100 А/м, вращается прямолинейный проводник длиной 1 м относительно оси, проходящей через конец проводника. По проводнику пропускают ток силой 10 А, угловая скорость вращения проводника 50 с-1. Определить работу вращения проводника за 10 мин.
31. С какой скоростью движется перпендикулярно однородному магнитному полю напряженностью 500 А/м прямой проводник длиной 30 см и сопротивлением 0,1 Ом? При замыкании проводника по нему пошел бы ток силой 0,01 А. Влияние замыкающего провода не учитывать.
32. Какой длины надо взять провод диаметром 0,1 мм, чтобы изготовить однослойный соленоид с индуктивностью 1 мГн? Площадь поперечного сечения соленоида 7,5 см2. Сердечник отсутствует.
33. Электрон влетает в однородное магнитное поле, индукция которого 0,01 Тл, и начинает двигаться по окружности. Определить период вращения электрона.
34. Однородное электрическое поле напряженностью 20 кВ/м и однородное магнитное поле напряженностью 3200 А/м взаимно перпендикулярны. В этих полях прямолинейно движется электрон. Определить скорость электрона.
35. Два иона, имеющего одинаковый заряд, но разные массы, влетели в однородное магнитное поле. Первый ион начал двигаться по окружности радиусом 5,0 см. Найти отношение m1/m2 масс ионов, если они прошли одинаковую ускоряющую разность потенциалов, радиус окружности второго иона – 2,5 см.
36. Электрон движется в однородном магнитном поле с индукцией 9 мТл по винтовой линии, радиус которой 1 см и шаг 7,8 см. Определить период обращения электрона и его скорость.
37. Момент импульса протона в однородном магнитном поле напряженностью 20 кА/м равен 6,6 · 10-23 кг м2/с. Найти кинетическую энергию протона, если он двигается перпендикулярно линиями магнитной индукции поля.
38. В однородном магнитном поле с индукцией 0,35 Тл, равномерно с частотой 480 об/мин. вращается рамка 1500 витков площадью 50 см2. Ось вращения лежит в плоскости рамки и перпендикулярна линиям индукции. Определить максимальную э.д.с. индукции, возникающую в рамке.
39. Индуктивность катушки 2 мГн. Ток с частотой 50 Гц, протекающий по катушке, изменяется по синусоидальному закону. Чему равно среднее значение э.д.с. самоиндукции, возникающей за интервал времени ∆t, в течение которого ток в катушке изменяется от минимального значения? Амплитудное значение силы тока 10 А.
40. Квадратная рамка со стороной 20 см расположена в магнитном поле так, что нормаль к рамке образует угол 60° с направлением поля. Магнитное поле изменяется с течением времени по закону В = Во соs wt, где Во = 0,2 Тл и
w = 314 1/мин. Определить э.д.с. индукции в рамке в момент времени 4 с.
41. Круговой контур радиусом 2 см помещен в однородное поле, индукция которого 0,2 Тл, плоскость контура перпендикулярна направлению магнитного поля, сопротивление контура 1 Ом. Какое количество электричества протечёт через контур при повороте его на 90°?
42. Обмотка тороида с немагнитным сердечником имеет 251 витков. Средний диаметр тороида 8 см, диаметр витков 2 см. На тороид намотана вторичная обмотка, имеющая 100 витков. При замыкании первичной обмотки в ней в течение 0,001 с устанавливается ток 3 А. Найти эдс, которая возникает во вторичной обмотке.
43. Индуктивность колебательного контура 500 мкГн. Требуется настроить этот контур на частоту 1 МГц. Какую ёмкость следует выбрать?
44. Мгновенное значение силы тока для фазы π/6 равно 6 А. Определите амплитудное и действующее значения силы токов.
45. Ток в первичной обмотке трансформатора 0,5 А. Напряжение на клеммах 220 В. Коэффициент трансформации равен 22. Определить напряжение на вторичной цепи.
46. На какой длине волны работает радиопередатчик, если его колебательный контур имеет ёмкость 2,6 пФ и индуктивность 0,012 мГн?
Вариант тренировочного теста по разделу «Электромагнетизм»
1. Точечный заряд +q находится в центре сферической поверхности. Если добавить заряд –q внутрь сферы, то поток вектора напряженности электростатического поля
через поверхность сферы…
| 1) уменьшится | 2) увеличится | 3) не изменится |

2. Поле создано равномерно заряженной сферической поверхностью с зарядом +q. Укажите направление вектора градиента потенциала в точке А.
| 1) А – 4 | 2) А – 2 | 3) А – 3 | 4) А – 1 |
3. Два конденсатора, один из которых имеет емкость, в два раза большую другого, соединены параллельно, а затем последовательно. Каково отношение полных ёмкостей системы в первом и во втором случае?
| 1) 0,222 | 2) 1 | 3) 2 | 4) 4,5 |
4. К батарее с ЭДС 9 В и внутренним сопротивлением 3 Ом подключена внешняя цепь. При этом батарея может дать наибольшую мощность, равную:
| 1) 3 Вт | 2) 6 Вт | 3) 7 Вт | 4) 8 Вт |
5. На рисунке изображены сечения двух параллельных прямолинейных длинных проводников с противоположно направленными токами, причем I2 больше I1 (например, I2 = 2I1). Индукция
результирующего магнитного поля равна нулю в некоторой точке интервала…
| 1) a | 2) b | 3) c | 4) d |
6. На рисунке представлена зависимость магнитного потока, пронизывающего некоторый замкнутый контур, от времени. ЭДС индукции в контуре по модулю максимальна на интервале…
| 1) Е | 2) А | 3) В | 4) С | 5) D |
7. На рисунке показана зависимость силы тока от времени в электрической цепи с индуктивностью 1 мГн. Модуль среднего значения ЭДС самоиндукции (в мкВ) на интервале от 0 до 5 с. равен…
| 1) 6 | 2) 30 | 3) 0 | 4) 15 |
8. Относительно статических электрических полей справедливы утверждения:
1) электрическое поле является потенциальным;
2) электрическое поле действует как на неподвижные, так и на движущиеся электрические заряды;
3) поток вектора напряженности электрического поля сквозь произвольную замкнутую поверхность всегда равен нулю.
9. Полная система уравнений Максвелла для электромагнитного поля имеет вид:
;
;
;
. Эта система справедлива для переменного электромагнитного поля…
1) при наличии заряженных тел и токов проводимости;
2) в отсутствие заряженных тел и токов проводимости;
3) в отсутствие заряженных тел;
4) в отсутствие токов проводимости.
10. Колебательный контур имеет частоту 50 Гц. Чтобы частота контура стала равной 70 Гц, надо увеличить расстояние между пластинами конденсатора в … раз
| 1) 1,20 | 2) 1,40 | 3) 1,65 | 4) 1,96 |
Вариант тренировочного теста по разделу «Оптика и физика вещества»
1. Имеются 4 решетки с различными постоянными d, освещаемые одним и тем же монохроматическим излучением различной интенсивности. Какой рисунок иллюстрирует положение главных максимумов, создаваемых дифракционной решеткой с наибольшей постоянной решетки? (J – интенсивность света,
- угол дифракции).
1. 2.

3. 4.

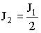
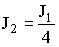
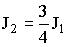
2. На пути естественного света помещены две пластинки турмалина. После прохождения пластинки 1 свет полностью поляризован. Если J1 и J2 – интенсивности света, прошедшего пластинки 1 и 2 соответственно, и угол между направлениями OO и O’O’ j = 60°, то J 1 и J 2 связаны соотношением:
1)
2) 
3)
4) 
3. На рисунке показана кривая зависимости спектральной плотности энергетической светимости абсолютно черного тела от длины волны при T = 6000K. Если температуру тела уменьшить в 2 раза, то энергетическая светимость абсолютно черного тела уменьшится …
1) в 2 раз 2) в 8 раз 3) в 16 раз 4) в 4 раза
4. На рисунке показаны направления падающего фотона (+g), рассеянного фотона (g’) и электрона отдачи (e). Угол рассеяния 90°, направление движения электрона отдачи составляет с направлением падающего фотона угол
. Если импульс падающего фотона Pф, то импульс электрона отдачи равен…
1)
2) 1,5 Pф 3)
Pф 4)
Pф
5. Если увеличить в 2 раза объёмную плотность световой энергии, то давление света …
1) увеличится в 4 раза 2) увеличится в 2 раза 3) останется неизменным
6. При переходах электрона в атоме с одного уровня на другой закон сохранения момента импульса накладывает определенные ограничения (правило отбора). В энергетическом спектре атома водорода (рис.) запрещенным переходом является…
1) 2s – 1s 2) 4f – 3d 3) 3d – 2p 4) 2p – 1s
7. На рисунке изображены стационарные орбиты атома водорода согласно модели Бора, а также условно изображены переходы электрона с одной стационарной орбиты на другую, сопровождающиеся излучением кванта энергии. В ультрафиолетовой области спектра эти переходы дают серию Лаймана, в видимой – серию Бальмера, в инфракрасной – серию Пашена. Наибольшей частоте кванта в серии Лаймана соответствует переход…
1)
2)
3)
4) 
8. Положение пылинки массой m = 10-9 кг можно установить с неопределенностью
. Учитывая, что постоянная Планка
, неопределенность скорости
(в м/с) будет не менее…
1)
2)
3)
4) 
9. Стационарным уравнением Шредингера для частицы в трехмерном ящике с бесконечно высокими стенками является уравнение…
1)
2) 
3)
4) 
10. На рисунке показана кварковая диаграмма захвата нуклоном
– мезона.
Эта диаграмма соответствует реакции …
1)
2)
3) 
4) 
11. На рисунке показана фотография взаимодействия неизвестной частицы Х с протоном в водородной пузырьковой камере, которое идет по схеме
. Если спин π-мезона S = 0, то спин налетающей частицы X будет...
1)
2)
3) 
12. В процессе электромагнитного взаимодействия принимают участие …
1. протоны 2. нейтроны 3. нейтрино
Список рекомендуемой литературы
1. Трофимова, Т.И. Курс физики / Т.И.Трофимова. - М.: Высшая школа, 1998. - 542 с.
2. Грабовский, Р.И. Курс физики / Р.И. Грабовский. - М.: Высшая школа, 1970. -615 с.
3. Волькенштейн, В.С. Сборник задач по общему курсу физики / В.С.Волькенштейн. - М.: Наука, 1985. - 383 с.
4. Трофимова, Т.И. Сборник задач по курсу физики / Т.И.Трофимова. - М.: Высшая школа, 1996. - 304 с.
5. Русских, И.Т. Методические указания по электромагнетизму / И.Т. Русских. – Ижевск: ФГОУ ВПО Ижевская ГСХА, 2006. – 70 с.
6. Чертов, А.Г. Задачник по физике / А.Г. Чертов, А.А. Воробьёв. - М.: Высшая школа, 1981. - 495 с.
Учебное издание
Физика
Учебно - методическое пособие
Составитель
Русских Ирина Таировна
Редактор И.М. Мерзлякова
Технический редактор М.Ю. Соловьева
Подписано в печать ______________2009 г.
Усл. печ. л. 3,6. Уч. – изд. л. 2,69. Тираж______ экз. Заказ №______
ФГОУ ВПО Ижевская ГСХА
426069, г. Ижевск, ул. Студенческая, 11.